Переваривание белков. Этапы и последовательность переваривания белков
Добавил пользователь Дмитрий К. Обновлено: 28.01.2026
Белки усваиваются организмом только после гидролиза до аминокислот. Ферменты, расщепляющие белки, — протеиназы (петидгидролазы, пептидазы) — вырабатываются в неактивной форме, в виде проферментов, и поэтому не повреждают клетки, осуществляющие синтез самих протеолитических ферментов. Предварительно протеиназы должны быть активированы. Во всех случаях активная форма фермента образуется путем отщепления N-концевой последовательности от его предшественника.
Чтобы провести полный гидролиз белков до свободных аминокислот, требуется расщепить десятки, сотни и тысячи связей. Для этого необходим набор разных протеиназ: пепсина, трипсина, химотрипсина и др. (табл. 12.1). Каждый фермент гидролизует пептидные связи, образованные только определенными аминокислотами. Например, трипсин действует на связи, образованные Apr и Лиз, а химотрипсин — на связи, образованные остатками Фен, Тир и Три. Все эго объясняет, почему белки относятся к трудно усваиваемым компонентам нищи. Подсчитано, что переваривание белков увеличивает основной обмен 1 на 30—40%.
Начинается гидролиз белков в желудке иод действием пепсина, который синтезируется из пепсиногена. Пепсиноген — полипептидная цепь с ярко выраженной локализацией аминокислотных остатков. N-концевой участок содержит аминокислоты преимущественно основного характера. В остальной части молекулы пепсиногена преобладают кислые аминокислоты. Образование активного пепсина происходит при участии НС1, при этом из пепсиногена отщепляется N-концевой фрагмент длиной 42 аминокислотных остатка, который ингибировал пепсин:
Пепсиноген + НС1 —? пепсин + ингибитор (42 аминокислоты)
Оставшийся полипептид — это и есть активный пепсин. Он имеет суммарный отрицательный заряд и проявляет оптимум своего действия при pH 1,0—2,5.
Пищеварительные протеиназы, синтезирующиеся в поджелудочной железе и разных участках желудочно-кишечного канала
Таблица 12.1
Профермент и место его синтеза
Фермент и место его действия
Трипсииоген (поджелудочная железа)
Трипсин (тонкий кишечник)
Химотрипсиноген (поджелудочная железа)
Химотрипсин (тонкий кишечник)
Проэластаза (поджелудочная железа)
Эласгаза (тонкий кишечник)
Прокарбоксипептидазы А и В (поджелудочная железа)
Карбоксипептидазы А и В (тонкий кишечник)
Карбоксипептидаза А — ароматические и гидрофобные аминокислоты.
Карбоксипептидаза В — Apr, Лиз
Пептидазы кишечника вырабатываются в ак- тивной форме
Аминопептидазы (тонкий кишечник)
Дипептидазы (тонкий кишечник)
1 Основной обмен — минимальное количество энергии, необходимое для осуществления всех физиологических, биохимических процессов, на функционирование органов и систем организма в состоянии температурного комфорта (20°С), полного физического и психического покоя натощак.
Первые молекулы активного пепсина не только расщепляют пищевые белки, но и отщепляют ингибитор от пепсиногена. То есть активирование пепсина в кислой среде происходит автокаталитически.
Трипсин образуется из триисиногена под действием фермента кишечника энтеропептидазы. При этом также отщепляется ингибитор — N-конце- вой фрагмент (гексанентид):
Трипсин, подобно пепсину, не только продолжает гидролиз пищевых белков, но и активирует химотрипсин, образующийся из химотрипсиногена. Химотрипсиноген — это полипептид длиной 245 аминокислот. Трипсин расщепляет в нем две пептидные связи (Арг15-Иле1б и Арг148-Сер149) и удаляет два дипептида (Сер14-Арг15 и Тре147-Арг148). Оставшиеся три полипептида соединяются S—S-мостиками, формируя активный химотрипсин.
При переваривании белков протекают следующие превращения (табл. 12.2).
Освобождающиеся при гидролизе белков аминокислоты всасываются с помощью белков-переночиков, переносятся от слизистой оболочки и через кишечную стенку поступают в кровь.
В настоящее время известно несколько белков, связывающих аминокислоты во время всасывания в кишечнике. Определяющим при этом является структурное сходство аминокислот. Установлено, что индивидуальные переносчики есть у небольших нейтральных аминокислот (Ала, Сер, Тре), у разветвленных аминокислот (Вал, Лей, Иле), у основных — Лиз и Apr,
Таблица 12.2
Этапы расщепления белков в пищеварительном канале
Отдел желудочно-кишечного канала
Превращения
Нет протеиназ
Механическая обработка белков
pH 1,5-2,5 Соляная кислота: активирует пепсин; подавляет гнилостные процессы
Пепсин расщепляет ~20% связей; в итоге остаются часть нерасщеиленного белка, высокомолекулярные пептиды и немного свободных аминокислот
Протеиназы: трипсин, химотрипсин, карбоксипеп- тидазы панкреатического сока, амино- и депептидазы кишечного сока
Трипсин расщепляет ~30% связей; в итоге образуются высокомолекулярные пептиды, динептиды и свободные аминокислоты, химотрипсин расщепляет ~50% связей, в результате остаются немного пептидов, дипептиды и свободные аминокислоты; карбокси-, амино- и дипептидазы расщепляют остальные пептидные связи
Аэробные и анаэробные микроорганизмы, простейшие; ферменты бактериального происхождения
«Гниение» нерасщспленного белка — гидролиз белка, декарбоксилирование, дезаминирование и переаминироваиие.
Конечные продукты гниения ядовиты, обладают неприятным запахом (фенол, крезол, индол, скатол и др.)
у кислых — Асп и Глу, а также у иминокислот Про и Про-ОН. Процесс активируется ионами Na~. Считают, что переносчики Фен, Лей и Лиз независимы от Na~.
Для нейтральных аминокислот в кишечнике, ночках и, возможно, мозговом веществе существует специальная транспортная система, известная как у-глутомильный цикл. Процесс получил такое название, поскольку транспортируемая аминокислота переносится в клетку в виде дииептида с у-глу- таминовой кислотой. Донором у-глутаминовой кислоты служит глутатион (см. рис. 3.22). Поступившая в клетку в виде дииептида аминокислота освобождается из него. Образующийся при этом оксопролин используется для синтеза глутатиона, который вновь участвует в транспорте аминокислот. На транспорт одной аминокислоты расходуется три молекулы АТФ.
Возможно, что всасывание аминокислот зависит от их концентрации и соотношения в кишечнике. Известно, например, что при высокой концентрации Лей всасывание Иле и Вал уменьшается.
В некоторых случаях гидролиз белков в тонком кишечнике проходит не полностью (табл. 12.3). В результате нерасщепленные белки поступают в толстый отдел кишечника. Здесь не секретируются пищеварительные соки, но присутствуют аэробные и анаэробные микроорганизмы. Они вырабатывают различные ферменты, под влиянием которых белки подвергаются гниению.
Помимо перечисленных в табл. 12.3 причин, процессы гниения белков интенсивно развиваются при заболеваниях пищевого канала, инфекционных и инвазионных болезнях, нарушении режима питания, если рацион перегружен белковой пищей.
Таблица 123
Причины неполного расщепления белков в пищеварительном канале
Ранний (дети до года):
- • низкая активность ферментов кишечника;
- • высокая проницаемость кишечной стенки — в результате попадания чужеродных нерасщепленных белков в кровь организм дает ответную реакцию в виде аллергии.
Пожилой: с возрастом активность протеииаз снижается
Ингибиторы протеииаз в продуктах или воде
Природные ингибиторы содержатся в сыром яйце или сое. Ингибиторы экзогенного характера, например тяжелые металлы, консерванты пищевых продуктов
Различные белки отличаются разной степенью усвояемости
Белки животного происхождения усваиваются на 93—96%, белки из растительных продуктов — на 62—80%, а из грибов на 20—40%. Это объясняется тем, что набор аминокислот отличается в разных пищевых белках, и гидролиз белков различного происхождения в пищеварительном канале под действием протеииаз протекает с разной интенсивностью. Один из самых легко усваиваемых белков — белок молока. Еще И. П. Павлов 1 в своих работах показал, что переваривание и усвоение молока происходит при минимальной работе пищеварительных желез. На усвоение белка молока требуется в 3—4 раза меньше энергии, чем на усвоение белка хлеба
1 И. П. Павлов — лауреат Нобелевской премии по физиологии и медицине 1904 г. «За труды по физиологии пищеварения, расширившие и изменившие понимание жизненно важных аспектов этого вопроса».
При гниении белков образуются ядовитые продукты с неприятным запахом (фенол, крезол, индол, скатол и др.). Они всасываются через слизистую оболочку кишок и поступают в кровеносную и лимфатическую системы. Часть этих веществ инактивируется в печени при участии специфических ферментов, но это дополнительная нагрузка на печень.
Необезвреженные в печени ядовитые продукты разносятся по всему организму, тем самым отравляя его органы, ткани и клетки [23].
По данным ВОЗ, между потреблением так называемого красного мяса, включающего говядину, баранину и свинину, и некоторыми видами рака установлена положительная взаимосвязь. Белки перечисленных продуктов содержат такие сочетания аминокислот, которые плохо атакуются пищеварительными ферментами, в результате часть нсрасщепленных белков оказывается в толстом кишечнике. Поэтому при выборе белков животного происхождения следует отдавать предпочтение белкам рыбы, птицы, яйца, молока и молочных продуктов.
Переваривание белков. Этапы и последовательность переваривания белков
а) Углеводные продукты в пище. В пищевом рационе человека встречаются только три основных источника углеводов:
(1) сахароза, которая является дисахаридом и широко известна как тростниковый сахар;
(2) лактоза, являющаяся дисахаридом молока;
(3) крахмал — полисахарид, представленный практически во всей растительной пище, в особенности в картофеле и различных видах зерновых.
Другими углеводами, усваиваемыми в небольшом количестве, являются амилоза, гликоген, алкоголь, молочная кислота, пиро-виноградная кислота, пектины, декстрины и в наименьшем количестве — производные углеводов в мясе.
Пища также содержит большое количество целлюлозы, которая является углеводом. Однако в пищеварительном тракте человека не существует фермента, способного расщепить целлюлозу, поэтому целлюлоза не рассматривается как пищевой продукт, пригодный для человека.
б) Переваривание углеводов в ротовой полости и желудке. Когда пища пережевывается, она смешивается со слюной, которая содержит пищеварительный фермент птиалин (α-амилазу), секретирующийся в основном околоушными железами. Этот фермент гидролизует крахмал на дисахарид мальтозу и другие небольшие глюкозные полимеры, содержащие от 3 до 9 молекул глюкозы, как показано на рисунке ниже.

Переваривание углеводов
Однако в ротовой полости пища находится короткое время, и, вероятно, до акта глотания гидролизуется не более 5% крахмала.
Тем не менее, переваривание крахмала иногда продолжается в теле и дне желудка еще в течение 1 ч до тех пор, пока пища не начнет перемешиваться с желудочным секретом. Затем активность амилазы слюны блокируется соляной кислотой желудочного секрета, т.к. амилаза как фермент в принципе не активна при снижении рН среды ниже 4,0. Несмотря на это, в среднем до 30-40% крахмала гидролизуется в мальтозу прежде, чем пища и сопутствующая ей слюна полностью перемешаются с желудочными секретами.
в) Переваривание углеводов в тонком кишечнике. Переваривание панкреатической амилазой. Секрет поджелудочной железы, как и слюна, содержит большое количество амилазы, т.е. он почти полностью схож в своих функциях с α-амилазой слюны, но в несколько раз эффективнее. Таким образом, не более чем через 15-30 мин после того, как химус из желудка попадет в двенадцатиперстную кишку и смешается с соком поджелудочной железы, фактически все углеводы оказываются переваренными.
В результате прежде чем углеводы выйдут за пределы двенадцатиперстной кишки или верхнего отдела тощей кишки, они почти полностью превращаются в мальтозу и/или в другие очень небольшие полимеры глюкозы.
г) Гидролиз дисахаридов и небольших полимеров глюкозы в моносахариды ферментами кишечного эпителия. Энтероциты, выстилающие ворсинки тонкого кишечника, содержат четыре фермента (лактазу, сахаразу, мальтазу и α-декстриназу), способных расщеплять дисахариды лактозу, сахарозу и мальтозу, а также другие небольшие глюкозные полимеры на их конечные моносахариды. Эти ферменты локализованы в микроворсинках щеточной каемки, покрывающей энтероциты, поэтому дисахариды перевариваются сразу, как только соприкасаются с этими энтероцитами.
Лактоза расщепляется на молекулу галактозы и молекулу глюкозы. Сахароза расщепляется на молекулу фруктозы и молекулу глюкозы. Мальтоза и другие небольшие глюкозные полимеры расщепляются на многочисленные молекулы глюкозы. Таким образом, конечными продуктами переваривания углеводов являются моносахариды. Все они растворяются в воде и мгновенно всасываются в портальный кровоток.
В обычной пище, в которой из всех углеводов больше всего крахмала, более 80% конечного продукта переваривания углеводов составляет глюкоза, а галактоза и фруктоза — редко более 10%.
Основные стадии переваривания углеводов обобщены на рисунке выше.
Редактор: Искандер Милевски. Дата обновления публикации: 18.3.2021
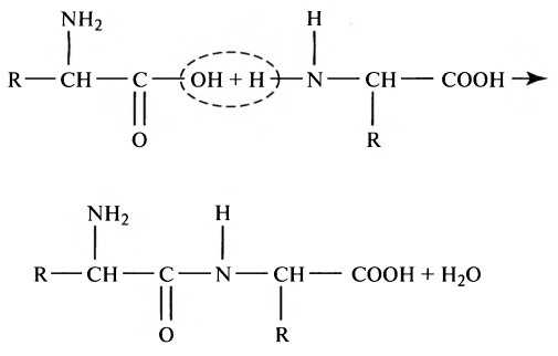
а) Пищевые белки. Пищевые белки химически представляют собой длинные цепи аминокислот, соединенных друг с другом пептидными связями. Далее представлена типичная связь:

Характеристика каждого белка определяется типом аминокислот в молекуле белка и последовательностью расположения этих аминокислот. Физические и химические характеристики различных белков, важных для человека, изложены в отдельной статье на сайте (просим вас пользоваться формой поиска выше).
б) Переваривание белков в желудке. Пепсин — важный фермент желудка, расщепляющий белки. Он наиболее активен при рН 2,0-3,0 и не активен при рН выше 5,0. Вследствие этого для проявления расщепляющего действия белка ферментом желудочный сок должен быть кислым. Как объяснено в отдельной статье на сайте (просим вас пользоваться формой поиска выше), железы желудка секретируют большое количество соляной кислоты. Эта кислота секретируется париетальными (кислотопродуцирующими) клетками желез при рН, равным приблизительно 0,8. К моменту, когда кислота смешивается с желудочным содержимым и секретом из некислотопродуцирующих железистых клеток желудка, рН уже составляет в среднем 2,0-3,0, что чрезвычайно благоприятно для активности пепсина.
Одной из важных переваривающих особенностей пепсина является его способность переваривать белок коллаген — альбуминоподобный тип белка, который лишь незначительно расщепляется под действием других пищеварительных ферментов. Коллаген — главная составляющая часть межклеточной соединительной ткани мяса; поэтому для расщепления белков мяса ферментами пищеварительного тракта прежде всего необходимо переварить коллагеновые нити. В связи с этим у индивида, у которого отмечается недостаток пепсина в желудочном соке, съеденное мясо хуже подвергается обработке другими пищеварительными ферментами и, следовательно, может хуже перевариваться.

Переваривание белков
Как показано на рисунке выше, пепсин только начинает процесс переваривания белка, обычно обеспечивая только 10-20% полного переваривания белков и превращение их в альбумозы, пептоны и мелкие полипептиды. Это расщепление белков происходит в результате гидролиза пептидной связи между аминокислотами.
в) Переваривание белков секретами поджелудочной железы. Переваривание белка преимущественно происходит в верхних отделах тонкого кишечника, в двенадцатиперстной кишке и тощей кишке под воздействием протеолитических ферментов, секретируемых поджелудочной железой. Частично расщепленные продукты белковой пищи, поступая в тонкий кишечник из желудка, подвергаются воздействию главных протеолитических панкреатических ферментов: трипсина, хемотрипсина, карбоксиполипептидазы и проэластазы (для облегчения понимания просим вас изучить рисунок выше).
Трипсин и хемотрипсин расщепляют молекулы белка на небольшие полипептиды; карбоксиполипептидаза отщепляет отдельные аминокислоты от карбоксильного конца полипептидов. Проэластаза, в свою очередь, превращается в эластазу, которая затем переваривает эластические волокна, частично содержащиеся в мясных продуктах. Под действием панкреатического сока небольшой процент белков переваривается до аминокислот. Большинство белков расщепляется до дипептидов и трипептидов.
г) Переваривание белков пептидазами энтероцитов, встроенных в ворсинки тонкого кишечника. Заключительный этап переваривания белков в просвете кишечника обеспечивается энтероцитами тонкого кишечника, которые покрыты ворсинками, преимущественно в двенадцатиперстной кишке и тощей кишке. Эти клетки имеют щеточную каемку, которая состоит из сотен микроворсинок, выступающих над поверхностью клетки. В мембране каждой из этих микроворсинок содержатся многочисленные пептидазы, которые выступают над мембраной, где они взаимодействуют с кишечной жидкостью.
Наиболее важны два типа пептидаз: аминополипептидаза и некоторые дипептидазы. Они доводят расщепление оставшихся крупных полипептидов до дипептидов, трипептидов и меньшего числа аминокислот. И аминокислоты, и дйпептиды с трипептидами свободно транспортируются сквозь мембрану микроворсинок во внутреннюю часть энтероцита.
Наконец, внутри цитозоля энтероцитов находятся другие многочисленные пептидазы, которые специфичны для оставшихся связей между аминокислотами. В течение нескольких минут практически все оставшиеся дипептиды и трипептиды перевариваются до конечной стадии в форме отдельных аминокислот; далее они выходят через другую сторону энтероцита, а отсюда — в кровь.
Более 99% конечных продуктов переваривания белков, которые всасываются, являются одиночными аминокислотами. Очень редко происходит всасывание пептидов и чрезвычайно редко всасывается целая молекула белка. Даже крайне малое число всосавшихся молекул цельного белка может иногда вызывать серьезные аллергические или иммунологические нарушения.
Секреция в толстом кишечнике. Гидролиз питательных веществ
а) Секреция в толстом кишечнике. Секреция слизи. Слизистая оболочка толстого кишечника, как и тонкого, имеет множество крипт Либеркюна, но не содержит ворсинок. Эпителиальные клетки почти не имеют ферментов, а состоят в основном из слизистых клеток, которые секретируют слизь. В толстом кишечнике значительно преобладает секреция слизи. Эта слизь содержит небольшое количество ионов бикарбоната, секретируемых несколькими эпителиальными клетками, которые не секретируют слизь. Интенсивность секреции слизи преимущественно регулируется направленной тактильной стимуляцией эпителиальных клеток слизистой толстого кишечника, а также посредством местных рефлексов.
Стимуляция тазового нерва спинного мозга, который несет парасимпатическую иннервацию к дистальной половине двух третей толстого кишечника, также может вызывать повышение секреции слизи.
Во время экстремальной парасимпатической стимуляции, обычно вызываемой эмоциональными нарушениями, в толстый кишечник может выделиться столько слизи, что человек будет ощущать движения кишечника каждые 30 мин. Эта слизь обычно не содержит фекалий либо содержит незначительное их количество.
Слизь толстого кишечника предохраняет кишечную стенку от повреждений и обеспечивает липкий субстрат для сцепления фекального материала вместе. Более того, она защищает кишечную стенку от значительной активности бактерий, которые существуют внутри фекалий. Наконец, слизь вместе со щелочным секретом (рН 8,0 создается большим количеством бикарбоната натрия) обеспечивает барьер для воздействия кислот, сформировавшихся в фекалиях, на кишечную стенку.
б) Диарея, вызываемая избыточной секрецией воды и электролитов, в ответ на раздражение. Каждый раз, когда участок толстого кишечника оказывается сильно раздраженным (это может происходить при бактериальной инфекции во время энтерита), слизистая выделяет большое количество воды и электролитов в добавление к обычной вязкой щелочной слизи. Этот процесс вызывает быстрое движение фекалий по направлению к анусу. В результате возникает диарея с потерей большого количества воды и электролитов, причем также вымываются раздражающие вещества, что обеспечивает быстрое выздоровление.

Крипты Либеркюна, обнаруженные во всех отделах тонкого кишечника между ворсинками, выделяющие преимущественно чистую внеклеточную жидкость
Гидролиз питательных веществ
Вся пища, благодаря которой существует организм (за исключением небольшого количества витаминов и минералов), состоит из белков, жиров и углеводов. Как правило, их обычные размеры не позволяют им всасываться через слизистую желудочно-кишечного тракта, поэтому без предварительного переваривания они как питательные вещества совершенно бесполезны.
а) Переваривание различной пищи с помощью гидролиза. Гидролиз углеводов. Большинство углеводов пищи являются либо крупными полисахаридами, либо дисахаридами, которые состоят из моносахаридов, соединенных друг с другом за счет конденсации. Это означает, что ион водорода (Н+) удаляется от одного моносахарида, а от следующего удаляется гидроксильная группа (-ОН). Затем два моносахарида связываются в этом месте, а ион водорода и гидроксильный ион объединяются в молекулу воды (H2O).
Во время переваривания углеводов изложенные ранее процессы протекают в обратном направлении, и углеводы превращаются в моносахариды. Специфические ферменты пищеварительных соков желудочно-кишечного тракта возвращают ион водорода и гидроксильный ион из воды в полисахарид и таким образом образуют моносахариды. Этот процесс, называемый гидролизом, заключается в следующем (где R-R — это дисахариды):
б) Гидролиз жиров. Большинство поступающих с пищей жиров содержат триглицериды (нейтральные жиры), которые являются комбинацией 3 молекул жирных кислот, связанных с простои молекулой глицерина. Во время соединения удаляются 3 молекулы воды.
Переваривание триглицеридов состоит из обратного процесса: ферменты, переваривающие жиры, возвращают 3 молекулы воды молекуле триглпцерида и, следовательно, отделяют молекулы жирных кислот от глицерина. Здесь вновь переваривающим механизмом является гидролиз.
в) Гидролиз белков. Белки формируются из многочисленных аминокислот, которые соединяются между собой пептидными связями. В каждой связи из одной аминокислоты удаляется гидроксильный ион, а из другой аминокислоты — ион водорода. Последующие аминокислоты в белковой цепи соединены вместе аналогичным образом посредством извлечения воды, а переваривание осуществляется противоположным действием — гидролизом. Таким образом, протеолитические ферменты возвращают ион водорода и гидроксильный ион из молекул воды в белковые молекулы для разделения их на составляющие аминокислоты.
Итак, химия переваривания проста, поскольку все три основных вида пищи вовлечены в один основной процесс гидролиза. Единственное различие заключается в типе ферментов, необходимых каждому виду пищи при проведении реакции. Все пищеварительные ферменты являются белками. Они секретируются различными железами желудка и кишечника.
Переваривание белков начинается в желудке
Расщепление белков до аминокислот начинается в желудке, продолжается в двенадцатиперстной кишке и заканчивается в тонком кишечнике. В некоторых случаях распад белков и превращения аминокислот могут происходить также в толстом кишечнике под влиянием микрофлоры.
Протеолитические ферменты подразделяют по особенности их действия на экзопептидазы , отщепляющие концевые аминокислоты, и эндопептидазы , действующие на внутренние пептидные связи.
В желудке пища подвергается воздействию желудочного сока, включающего соляную кислоту и ферменты. К ферментам желудка относятся две группы протеаз с разным оптимумом рН, которые упрощенно называют пепсин и гастриксин . У грудных детей основным ферментом является реннин .
Регуляция желудочного пищеварения
Регуляция осуществляется нервными (условные и безусловные рефлексы) и гуморальными механизмами. К гуморальным регуляторам желудочной секреции относятся гастрин и гистамин.
Гастрин секретируется специфичными G-клетками пилорического отдела:
- в ответ на раздражение механорецепторов,
- в ответ на раздражение хеморецепторов (продукты первичного гидролиза белков),
- под влиянием n.vagus.
Далее гастрин через системный кровоток достигает и стимулирует главные, обкладочные и добавочные клетки, что вызывает секрецию желудочного сока, в большей мере соляной кислоты. Также он обеспечивает секрецию гистамина, влияя на ECL-клетки (enterochromaffin-like cells, англ. энтерохромаффиноподобные клетки).
Гистамин , образующийся в энтерохромаффиноподобных клетках слизистой оболочки желудка (фундальные железы), выходит в кровоток, взаимодействует с Н2-рецепторами на обкладочных клетках и увеличивает в них синтез и секрецию соляной кислоты.
Закисление желудочного содержимого (pH 1,0) по механизму обратной отрицательной связи подавляет активность G-клеток, снижает секрецию гастрина и желудочного сока.
Соляная кислота
Одним из важнейших компонентов желудочного сока является соляная кислота. В образовании соляной кислоты принимают участие париетальные (обкладочные) клетки желудка, секретирующие ионы Н + . Источником ионов Н + является угольная кислота, образуемая ферментом карбоангидразой . При ее диссоциациии , кроме ионов водорода, образуются карбонат-ионы НСО3 – . Они по градиенту концентрации движутся в кровь в обмен на ионы Сl – . В полость желудка ионы Н + попадают энергозависимым антипортом с ионами К + (Н + ,К + -АТФаза), хлорид-ионы перекачиваются в просвет желудка также с затратой энергии.
Н + ,К + -АТФаза (протонная помпа) является мишенью действия лекарственных препаратов "ингибиторов протонной помпы" – омепразол, пантопразол и др., используемых для лечения заболеваний желудочно-кишечного тракта, связанных с повышенной кислотностью (гастриты, язвы желудка и 12-перстной кишки, дуоденит).
При нарушении нормальной секреции HCl возникают гипоацидный или гиперацидный гастрит, отличающиеся друг от друга по клиническим проявлениям, последствиям и требуемой схеме лечения.

Синтез соляной кислоты
Функции соляной кислоты
- белков пищи.
- Бактерицидное действие.
- Высвобождение железа из комплекса с белками, что необходимо для его всасывания. Аналогично высвобождаются и другие металлы.
- Высвобождение различных органических молекул, прочно связанных с белковой частью (гем, коферменты - тиаминдифосфат, ФАД, ФМН, пиридоксальфосфат, кобаламин, биотин), что позволяет витаминам впоследствии всасываться.
- Превращение неактивного пепсиногена в активный пепсин.
- Снижение рН желудочного содержимого до 1,5-2,5 и создание оптимума рН для работы пепсина.
- После перехода в 12-перстную кишку – стимуляция секреции кишечных гормонов и, следовательно, выделения панкреатического сока и желчи.
Кислая реакция желудочного сока обусловлена, главным образом, присутствием HCl, гораздо в меньшей степени иона H2PO4 - , при патологиях (гипо- и анацидное состояние, онкология) свой вклад может вносить молочная кислота.
Совокупность всех веществ желудочного сока, способных быть донорами протонов, составляет общую кислотность. Соляную кислоту, находящуюся в комплексе с белками, мукополисахаридами слизистой оболочки и продуктами переваривания, называют связанной соляной кислотой, оставшуюся часть - свободной соляной кислотой. Содержание свободной HCl подвержено изменениям, в то же время количество связанной HCl относительно постоянно.
Влияние гастрина и гистамина на обкладочные клетки сводится к усилению работы Н + ,К + -АТФазы. Действие гастрина заключается в активации кальций-фосфолипидного механизма передачи сигнала, гистамин действует по аденилатциклазному механизму.
Изменение кислотности в желудке
Гипоацидное состояние развивается при снижении активности и/или количества обкладочных клеток, синтезирующих HCl. В результате могут развиваться самые разнообразные последствия, прямо или косвенно связанные с невыполнением соляной кислотой ее функций:
- снижение переваривания белков как в желудке, так и в кишечнике,
- активация процессов брожения в желудке, запах изо рта,
- активация процесса гниения белков в толстой кишке, бурление в кишечнике и метеоризм,
- проникновение недопереваренных продуктов в кровь и, как следствие, аллергические реакции,
- уменьшение высвобождения от белков и возникновение дефицита минеральных веществ (железо, медь, магний, цинк, йод и др),
- снижение высвобождения от белков и всасывания ряда водорастворимых витаминов – развитие гиповитаминозов (B1, B2, B6, B12, H),
- снижение синтеза обкладочными клетками внутреннего фактора Касла и снижение всасывания витамина B12,
- снижение секреции кишечных гормонов и, как следствие, уменьшение выделения желчи и панкреатического сока,
- нарушение переваривания и всасывания липидов и, как следствие, развитие гиповитаминозов по жирорастворимым витаминам.
Гиперацидное состояние развивается при повышенной активности обкладочных клеток. Может приводить к клиническим проявлениям в виде воспаления стенки желудка, эрозии и язвенной болезни желудка и двенадцатипеперстной кишки.
Пепсин
Оптимум рН для работы пепсина 1,5-2,0.
Пепсин является эндопептидазой , то есть он расщепляет внутренние пептидные связи в молекулах белков и пептидов. Синтезируется в главных клетках желудка в виде неактивного профермента пепсиногена, в котором активный центр "прикрыт" N-концевым фрагментом. При наличии соляной кислоты конформация пепсиногена изменяется таким образом, что "раскрывается" активный центр фермента, который отщепляет остаточный пептид (N-концевой фрагмент), т.е. происходит аутокатализ . В результате образуется активный пепсин, активирующий и другие молекулы пепсиногена.

Превращение пепсиногена в пепсин
Пепсин обладает невысокой специфичностью,
- в основном он гидролизует пептидные связи, образованные аминогруппами ароматических аминокислот (тирозина, фенилаланина, триптофана),
- меньше и медленнее – аминогруппами и карбоксигруппами лейцина , глутаминовой кислоты и т.д.
Связи, расщепляемые пепсином
Гастриксин
Гастриксин по своим функциям близок к пепсину, его количество в желудочном соке составляет 20-50% от количества пепсина. Синтезируется главными клетками желудка в виде прогастриксина (профермент) и активируется соляной кислотой. Оптимум рН гастриксина соответствует 3,2-3,5 и значение этот фермент имеет при питании молочно-растительной пищей, слабее стимулирующей выделение соляной кислоты и одновременно нейтрализующей ее в просвете желудка. Гастриксин является эндопептидазой и гидролизует связи, образованные карбоксильными группами дикарбоновых аминокислот.
В течение суток синтезируется около 2 г пепсина. Объем работы пепсина составляет примерно 10% от всех пептидных связей белков, попадающих в желудок.
Наличие в желудке двух протеаз, действующих при различных pH, позволяет организму пепсином переваривать белки мясной пищи, стимулирующей секрецию HCL, а гастриксином – белки растительно-молочной пищи.
Читайте также:
