Портал Mz-Don
МЕНЮ
Контакты
Статьи
Блог
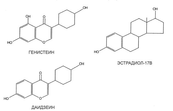
Фитоэстрогены при раке простаты - фото презентация
Добавил пользователь
Alex
Обновлено: 13.12.2025
Читайте также:
Лечение бактериального простатита таваником
Продукция тенториум при эндометриозе
Во сколько лет мужчина становится бесплодным