Портал Mz-Don
МЕНЮ
Контакты
Статьи
Блог
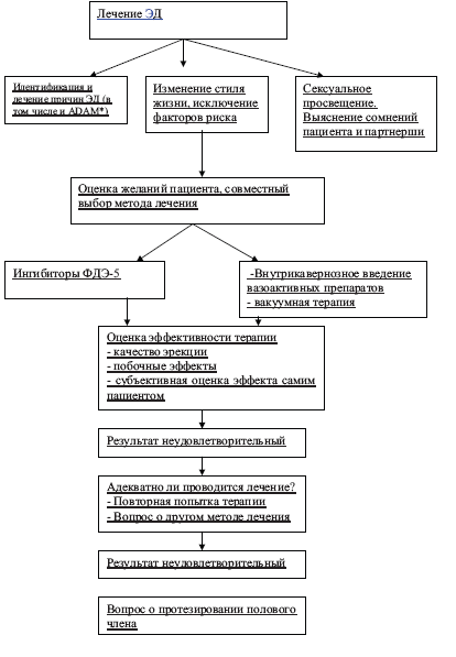
Как проводится лечение эректильной дисфункции - фото презентация
Добавил пользователь
Alex
Обновлено: 15.12.2025
Читайте также:
Чем лечить эректильную дисфункцию при простатите
Дефицит железа и бесплодие у женщин
Кто делал перманентный макияж во время месячных отзывы