Цефалоспорины. Классификация цефалоспоринов. Поколения цефалоспоринов. Свойства и спектр действия цефалоспоринов.
Добавил пользователь Владимир З. Обновлено: 01.01.2026
К этой группе относятся природные антибиотики и многочисленные группы полусинтетических препаратов, полученных на основе 7-аминоцефалоспорановой кислоты, содержащей β-лактамное и дигидротиазиновое кольца.
Спектр действия у них более широкий, чем у природных пенициллинов. Они действуют на грамположительную и грамотрицательную флору, активны в отношении пенициллинорезистентных микроорганизмов, так как устойчивы ко многим β-лактамазам.
К цефалоспоринам 1 поколения более чувствительна грамположительная флора. Цефалотин, цефазолин (кефзол), цефалексин (кефлекс, цепорекс) применяются при генерализованных гнойных инфекциях, заболеваниях дыхательных и мочевыводящих путей.
Цефалоспорины II поколения (цефуроксим, цефамандол, цефаклор) действуют на грамположительные, грамотрицательные микроорганизмы и анаэробы. Применяются при инфекциях легких, кожи, соединительной ткани, при перитоните, сепсисе, менингите. Они проникают в костную ткань и синовиальную жидкость, что позволяет их использовать при лечении остеомиелитов и артритов.
Цефалоспорины III поколения (цефотаксим или клафоран, цефтриаксон, цефиксим, цефоперазон и др.) более активны в отношении грамотрицательной флоры (например, лизис гонококка они вызывают в разведении 1 : 2,5 миллиарда), действуют на синегнойную палочку, некоторые штаммы протея. Стабильны к цефалоспориназе. Применяются при тяжелых бронхолегочных и урогенитальных инфекциях, миокардите, менингите, сепсисе, заболеваниях суставов и кожи.
Цефалоспорины IV поколения (цефпиром или кейтен) обладают высокой активностью в отношение грамположительной и грамотрицательной флоры, к ним чувствительны многие штаммы протея, синегнойная палочка, псевдомонады.
Большинство цефалоспоринов плохо всасываются из желудочно- кишечного тракта и применяются инъекционно. Внутрь можно назначать цефалексин, цефаклор, цефиксим.
Цефалоспорины токсичнее пенициллинов, но аллергические реакции вызывают реже (2-4%). Иногда наблюдается перекрестная аллергия к пенициллинам и цефалоспоринам.
В процессе лечения цефалоспоринами может наблюдаться повышенная утомляемость, обратимая лейкопения, понижаться свертываемость крови (только III генерация). Они раздражают ткани. в связи с чем при инъекционном введении могут наблюдаться инфильтраты и флебиты, а при приеме внутрь - тошнота, рвота, боли в подложечной области, диарея, снижение массы тела. Возникновение стоматитов при использовании этой группы препаратов может быть обусловлено их раздражающими свойствами или аллергизирующей активностью. Цефалоспорины, как и другие химиопрепараты, являются причиной развития дисбактериоза и суперинфекции.
Цефалоспорины
Создание группы цефалоспориновых препаратов было ответом на уменьшающуюся активность препаратов пенициллинового ряда, появление пенициллин-устойчивых стафилококков и недостаточной активности против грамм (-) возбудителей, с нарастанием активности в сторону грам (-) возбудителей.
Материалы предназначены исключительно для врачей и специалистов с высшим медицинским образованием. Статьи носят информационно-образовательный характер. Самолечение и самодиагностика крайне опасны для здоровья. Автор статей не дает медицинских консультаций: клинический фармаколог — это врач только и исключительно для врачей.
- на уменьшающуюся активность препаратов пенициллинового ряда,
- появление пенициллин-устойчивых стафилококков
- недостаточной активности против грамм (-) возбудителей, с нарастанием активности в сторону грам (-) возбудителей.
- Мощное бактерицидное действие
- Широкий спектр активности (кроме I поколения)
- Устойчивость к бета-лактамазам S.aureus
- Чувствительность к БРЛС
- Отсутствие активности против энтерококков, листерий, MRSA
- Синергизм с аминогликозидами
- Широкий терапевтический диапазон
Препараты первой генерации имеют очень узкий спектр антимикробной активности и основное их клиническое значение связано с действием на грам-положительные кокки, за исключением MRSA и энтерококков. К тому же они могут разрушаться бета-лактамазами многих гр(-) бактерий.
Правда, есть один существенный момент - исследования показали, что часто истинную аллергическую реакцию на пенициллины путают с так называемой ампициллиновой сыпью, которая встречается у 5-10% пациентов, не связана с аллергией на бета-лактамы, имеет макулопапулезный характер, не сопровождается зудом и может пройти без отмены препарата.
- инфекционный мононуклеоз (встречается в 75-100% случаев),
- цитомегалия,
- хронический лимфолейкоз.
Одним из самых часто применяемых цефалоспоринов I поколения является Цефазолин и исходя из вышеуказанного, основным для него показанием является периоперационная профилактика в хирургии. Но тут стоит помнить об одном очень интересном класс-эффекте всех цефалоспоринов, а именно о лекарственной гипертермии, которая отличается от истинной тем, что протекает на фоне брадикардии и прежде чем бросаться назначать антибиотикотерапию, у больного, помимо клинических анализов стоит просто посчитать пульс.
Второе и третье поколение цефалоспоринов некоторые исследователи давно предлагают объединить в силу их очень небольших различий между собой. Они отличаются от первого поколения более широким спектром действия в сторону грам (-) флоры и снижением активности в сторону грам (+)возбудителей.
- Цефотаксим,
- Цефоперазон, в т.ч. с сульбактамом,
- Цефтриаксон,
- Цефтазидим.
Исторически эта генерация разрабатывалась для того, чтобы бороться с госпитальной грамотрицательной инфекции (энтеробактер, серрации, индолположительный протей), устойчивых к цефалоспоринам 2-го поколения.
Благодаря большей устойчивости к бета-лактамазам эта группа обладает большей активностью в отношении Гр(-) бактерий семейства Enterobacteriaceae, включая нозокомиальные полирезистентные штаммы. Но при этом у них ниже активность в отношении Гр(+) возбудителей, чем у цефазолина.
- MRSA,
- энтерококки и листерии,
- имеют низкую антианаэробную активность,
- разрушаются БЛРС.
В настоящий момент данная генерация препаратов применяется для лечения тяжелых и смешанных инфекциях и используется в сочетании с аминогликозидами II - III поколения, метронидазолом, ванкомицином.
Основные проблемы, связанные с цефтриаксоном состоят в качестве используемых препаратов. Так оригинальный роцефин в среднем стоит 500 р, но есть его копии стоимостью в 10-15 рублей (по данным портала Фарминдекс). Смоленское НИИ антимикробной химиотерапии провело в свое время сравнительное исследование различных Цефтриаксонов и выяснилось, что качество препаратов мягко сказать разное, начиная с побочных включений и микробной контаминации, заканчивая значительной разностью данных по биоэквивалентности. Таким образом, ожидать чуда излечения от препарата в 50 раз более дешевле оригинального наверное будет достаточно наивным.
Кроме того, Цефоперазон проще и быстрее разрушается бета-лактамазами не только синегнойной палочки, но и другой грам(-) флоры. Добавление к нему сульбактама ситуацию особо не изменило, в результате препарат используется только в 2-х странах мира - России и Турции. Та же FDA отменила его регистрацию на территории США.
Если результатов из лаборатории еще нет, но есть пациент уже полеченный цефтазидимом без эффекта, то не нужно выбирать ему препарат среди III генерации цефалоспоринов, потому что использование их будет бесполезным А если пациента с грамотрицательной инфекцией лечили цефалоспоринами 2-3-й генерации, то вполне допустима терапия цефтазидимом, потому что во-первых, он активен против синегнойки, а во вторых бета-лактамаза цефуроксимаза, рушит все цефалоспорины, но не цефтазидим.
Еще одной особенностью цефтазидима является его возможность создавать высокие концентрации в ликворе, проникая через гематоэнцефалический барьер, поэтому его используют для лечения менингитов, вызванных грамотрицательной микрофлорой, при условии чувствительности к нему возбудителей.
Цефалоспорины IV поколения в России представлены только Цефепимом, который отличается от 3-го поколения более высокой активностью в отношении Гр(+) кокков, за исключением MRSA и энтерококков.
Изначально препарат использовался только для лечения тяжелых нозокомиальных инфекций, вызванных полирезистентной микрофлорой (для чего он собственно и создавался):
- Инфекции нижних дыхательных путей (пневмония, абсцесс легкого, эмпиема плевры)
- Осложненные инфекции мочевыводящих путей
- Интраабдоминальные инфекции кожи и мягких тканей, костей и суставов
- Сепсис
- Инфекции на фоне нейтропений и других иммунодефицитных состояний
Но в связи с высоким распространением БЛРС в том числе и во внебольничной среде, при обнаружении данных бета-лактамаз у грам(-)флоры пациента следует рассматривать как устойчивость ко всем цефалоспоринам, в том числе и к цефипиму. Если таковых нет, то препарат будет очень эффективен для пациентов с тяжелой грамотрицательной инфекцией.
Цефалоспорины. Фармацевтический анализ цефалоспоринов
В основе строения цефалоспоринов и полусинтетических цефалоспоринов лежат 7-аминоцефалоспорановая кислота (7-АЦК) и 7-аминодсзаиетоксицефалоспорановая кислота (7-АДЦК), которые состоят из 2 конденсированных колеи: β-лактамного (В) и метадигидротиазинового (А):
Цефалоспорины являются ацильными производными 7-АЦК или 7-АДЦК.
Первые сведения о цефалоспоринах относятся к 1945 г., когда итальянский микробиолог ВгоТги при исследовании флоры морской воды близ берегов Сардинии обнаружил микроорганизмы с выраженной антибактериальной активностью. Развиваясь в питательной среде, эти организмы продуцируют вещество, ингибирующее развитие многих бактерий.
В 1948 г. было установлено, что изолированная Brotzu культура относится к виду Cephalosporium salmosynnematum и что она продуцирует 7 различных антибиотиков, одним из которых является цефалоспорин С.
Структура ядра цефалоспорина С сходна с таковой пенициллинов. Как оказалось, биогенез ядер этих типов антибиотиков идентичен; единственное исключение составляет способ замыкания серосодержащего кольца. У цефалоспорина С атом углерода, соответствующий одной из 2 метильных групп у С2-молекулы пенициллина, входит в состав шестичленного дигидротиазинового кольца.
Цефалоспорин С является трипептидом (состоит из валина, цистеина и α-аминоздипиновой кислоты):

Сам цефалоспорин С не нашел широкого применения в качестве антибактериального средства. Однако его можно подвергнуть тем же модификациям, что и пенициллин. Ферментативное удаление боковой цепи (α-аминоадипиновой кислоты) приводит к образованию 7-АЦК, из которой путем химического ацилирования хлорангидри- дами кислот (по аналогии с гюлусин готическими пенициллинами) можно получить различные полусинтетические цефалоспорины, примером которых является цефалотин (1962).
При отщеплении ацетоксигруппы в 3-м положении молекулы цефалоспорина С образуется 3-дезацетоксицефалоспорин С (имеет 20% активности цефалоспорина С), При удалении из 3-дезацеток- сицефалоспорина С остатка α-аминоадипиновой кислоты образуется 7-АДЦК, Она может быть получена и из 7-АЦК при удалении апетоксигруппы из 3-го положения.
На основе 7-АДЦК также получен ряд полусинтетических препаратов, например цефалексин.
В США в 1963 г. обнаружена химическая трансформация пени- циллинеульфоксидов в дезацетоксицефалоспорановые производные (при нагревании в присутствии катализаторов):
Рентгеноструктурный анализ позволил установить идентичность пространственной структуры β-лактамных колец в пенициллинах и цефалоспоринах. Различие — в расположении экзоциклических карбоксильных групп. Поэтому разную активность и устойчивость пенициллинов и цефалоспоринов можно объяснить только различием стереоспецифичности карбоксильных групп, а также геометрии конденсированных циклических систем.
Кроме того, микробиологическая активность отдельных цефалоспориновых антибиотиков, полученных путем химической модификации природной молекулы, определяется типом дополнительно введенных заместителей.
Общая формула цефалоспоринов:
Структура радикалов некоторых цефалоспоринов представлена в табл. 20.

Химическая структура, названия, описание и применение некоторых цефалоспоринов представлены в табл. 21

Для наименования цефалоспоринов удобно использовать номенклатурную систему «цефам»:
Ядро «цефам» представляет собой конденсированную β-лак- тамтетрагидрометадиазиновую систему. Если в цефалоспориновом ядре имеется двойная связь, окончание «ам» заменяется на «ем», при этом указывается местоположение двойной связи.
Как следует из табл. 21, эти препарата представляют собой порошок белый или белый со слегка желтоватым оттенком (за счет возможного окисления мегадитидротиа типового кольца). Кислотные формы трудно и мало растворимы в воде, натриевые соли — легко растворимы. Препараты оптически активны (асимметрические атомы углерода в 6-м и 7-м положении), правовращающие. В НД нормируется значение удельного вращения.
Водные растворы цефалоспоринов дают в УФ-области характерную полосу поглощения с максимумом при длине волны около 260 нм, что обусловлено колебанием связи
при возможном участии серы ядра. У цефалексина, кроме того, имеется дополнительный хромофор — фенильный радикал в ацильной части молекулы. В УФ-спектре цефалотина имеется один максимум при длине волны 237 нм и плечо при 265 нм. Поглощение при длине волны 237 нм обусловлено главным образом присутствием тиенильной группировки, а при 265 нм — кольцевой системы 7-АЦК.
По НД требуется определять оптическую плотность 0,002% водных растворов цефалоспоринов для идентификации и характеристики степени чистоты препаратов (табл. 22).
Химические свойства цефалоспоринов. Реакции подлинности.
Методы количественного определения. Испытания на чистоту.
Цефалоспорины являются кислотами (за счет карбоксильной группы в 4-м положении); некоторые из них применяются в виде натриевых солей (цефалотин). Цефалексин обладает амфотерными свойствами: кроме карбоксильной группы в 4-м положении, содержит основную группу — алифатическую аминогруппу в остатке D-α-аминофенилуксусной кислота.
Значения рКs структурных элементов цефалексина и цефалотина представлены в табл, 23.
Значение pH 0,5% водного раствора цефалексина составляет 3,5— 5,5; цефалотина — 4,5—7,5.
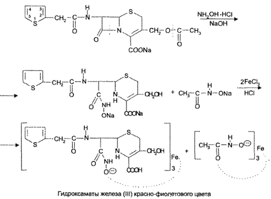
Общие химические свойства цефалексина и цефалотина обусловлены наличием в их составе молекул атома серы в дигидротиазиновом кольце (способность к окислению) и р-лактамного кольца (гидроксамовая реакция).
Реакцию окисления проводят 80% раствором Н2SО4, содержащей 1% азотной кислоты. Цефалексин образует желтое окрашивание, цефалотина натриевая соль — оливково-зеленое, переходящее в красновато-коричневое.
Гидроксамовая реакция на β-лактамное кольцо проводится по методике для пенициллинов, Цефалотин, кроме того, дает гидроксамовую реакцию и на сложно-эфирную группу:

Цефалексин (как и ампициллин, амоксициллин) содержит в ацильной части молекулы остаток а-фениламиноуксусной кислоты и поэтому дает реакцию с нингидрином (вишневое окрашивание) и сульфатом меди после нейтрализации раствором гидроксида натрия (оливково-зеленое окрашивание).
Цефалотина натриевая соль дает реакцию на натрий (окрашивание бесцветного пламени горелки в желтый цвет).
Для количественного определения цефалоспоринов используют следующие методы.
- Определение активности проводят микробиологическим метолом диффузии в агар с тест-культурой Bacillus subtilis в сравнении со стандартными образцами препаратов.
- Йодометрический метод проводится так же, как для солей бензилпенициллина, с применением ацетатного буфера pH 4,7 + 0,05. Содержание цефалексина и цефалотина должно быть не менее 95,0% в пересчете на сухое вещество.
- Для цефалексина-стандарта рекомендуется метод кислотноосновного титрования в неводной Среде: растворяют вещество в муравьиной кислоте, затем добавляют ледяную уксусную кислоту и титруют потенциометрически раствором хлорной кислоты:

Цефалоспорины по Европейской фармакопее определяют методом жидкостной хроматографии.
В испытаниях начистоту регламентируются значение pH, удельное вращение, оптическая плотность растворов, вода (для цефалотина натриевой соли — не более 1,5%, для цефалексина кристаллогидрата — не менее 4,0% и не более 8,0%). Поскольку препараты полусинтетические (7-АДЦК и 7-АЦК получают из природных цефалоспоринов), необходимо испытание на токсичность (как и для пенициллинов). Посторонние примеси определяют методом ТСХ.
Первый антибиотик этой группы был выделен из гриба цефалоспориум в 1945 году, за этим последовало создание большого числа полусинтетических производных на основе ядра молекулы природных антибиотиков - аминоцефалоспорановой кислоты (по аналогии с полусинтетическими пенициллинами). Действуют цефалоспорины так же, как и пенициллины - бактерицидно, угнетая формирование клеточной мембраны бактерий. Условно все они делятся на четыре поколения (таблица 3.11.4), отличающиеся спектром антибактериальной активности, чувствительностью к бета-лактамазам, фармакокинетическими свойствами.
Таблица 3.11.4. Различные поколения цефалоспориновых антибиотиков
| Способ введения | 1-е поколение | 2-е поколение | 3-е поколение | 4-е поколение |
|---|---|---|---|---|
| Парентерально (внутримышечно, внутривенно) | цефазолин цефалотин цефапирин цефрадин | цефуроксим цефамандол цефокситин | цефотаксим цефтриаксон цефодизим цефоперазон цефпирамид цефтазидим цефтизоксим | цефепим цефпиром |
| Энтерально (орально) | цефалексин цефадроксил цефрадин | цефаклор цефуроксим (аксетил) | цефиксим цефподоксим цефтибутен |
Представители первого поколения особенно эффективны в отношении грамположительных микроорганизмов (пневмококков, стрептококков, стафилококков), действуют против некоторых грамотрицательных бактерий (эшерихия коли, клебсиелла, протей) и практически не действуют на синегнойную палочку, энтеробактерии, бактероиды и некоторые другие бактерии. Цефалоспорины второго поколения имеют более широкий спектр активности, чем представители первого поколения, но также не действуют на синегнойную палочку и менее активны в отношении грамположительных кокков. Для препаратов третьего поколения характерен широкий спектр активности в отношении грамотрицательных бактерий, многие из них способны проникать через гематоэнцефалический барьер. Цефалоспорины четвертого поколения имеют еще более широкий противомикробный спектр, они активны и в отношении синегнойной палочки.
Большинство цефалоспоринов плохо всасываются из желудочно-кишечного тракта, поэтому применяются в виде инъекций.
Цефалоспорины применяют при многих, в том числе тяжело протекающих инфекционных заболеваниях. Некоторые из них являются препаратами выбора врача при данном заболевании, например, цефтриаксону и цефоперазону отдают предпочтение при лечении гонореи, цефуроксиму и ряду представителей третьего поколения - менингита и так далее.
Вицеф (цефтазидим) антибактериальное широкого спектра, бактерицидное пор.д/ин.в/в и в/м АБОЛмед (Россия)
Зинацеф (цефуроксим) антибактериальное (бактерицидное, широкого спектра) пор.д/ин. GlaxoSmithKline (Великобритания)
Зиннат (цефуроксим) антибактериальное (бактерицидное, широкого спектра) гран.д/сусп. для приема внутрь; табл.п.о. GlaxoSmithKline (Великобритания)
Клафобрин (цефотаксим) антибактериальное (бактерицидное) пор.д/ин.в/в; пор.д/ин.в/м Брынцалов-А (Россия)
Максипим (цефепим) антибактериальное широкого спектра, антибактериальное (бактерицидное) пор.лиоф.д/ин. Bristol-Myers Squibb
Мегион (цефтриаксон) антибактериальное широкого спектра пор.д/ин. Biochemie (Австрия), произв.: Hikma Pharmaceutica (Португалия)
Нацеф (цефазолин) антибактериальное широкого спектра, бактерицидное пор.д/ин.в/в и в/м АБОЛмед (Россия)
Суперо (цефуроксим) антибактериальное (бактерицидное) пор.д/ин. Italfarmaco S.p.A. (Италия)
Тарцефандол (цефамандол) антибактериальное широкого спектра пор.д/ин.в/в и в/м Tarchominskie Zaklady Farmaceutyczne “Polfa” (Польша)
Тарцефоксим (цефотаксим) антибактериальное широкого спектра пор.д/ин.в/в и в/м Tarchominskie Zaklady Farmaceutyczne “Polfa” (Польша)
Терцеф (цефтриаксон) антибактериальное (бактерицидное) пор.д/ин. Balkanpharma (Болгария), произв.: Balkanpharma-Razgrad AD (Болгария)
Тиротакс (цефотаксим) антибактериальное широкого спектра, бактерицидное пор.д/ин. Biochemie (Австрия), произв.: Hikma Pharmaceutica (Португалия)
Фортум (цефтазидим) антибактериальное широкого спектра, антибактериальное (бактерицидное) пор.д/ин. GlaxoSmithKline (Великобритания)
Форцеф (цефтриаксон) антибактериальное (бактерицидное) пор.д/ин.; пор.д/ин.в/в; пор.д/ин.в/в и в/м; пор.д/ин.в/м STET (Германия)
Цефабол (цефотаксим) антибактериальное широкого спектра, бактерицидное пор.д/ин.в/в и в/м АБОЛмед (Россия)
Цефамабол (цефамандол) антибактериальное широкого спектра, бактерицидное пор.д/ин.в/в и в/м АБОЛмед (Россия)
Цефезол (цефазолин) антибактериальное широкого спектра, бактерицидное пор.д/ин.в/в; пор.д/ин.в/м Брынцалов-А (Россия)
Цефоперабол (цефоперазон) антибактериальное широкого спектра, бактерицидное пор.д/ин.в/в и в/м АБОЛмед (Россия)
Цефтриабол (цефтриаксон) антибактериальное широкого спектра, бактерицидное пор.д/ин.в/в и в/м АБОЛмед (Россия)
Цефурабол (цефуроксим) антибактериальное широкого спектра, бактерицидное пор.д/ин.в/в и в/м АБОЛмед (Россия)
В зависимости от особенностей антимикробного спектра выделяют 5 поколений цефалоспоринов.
Цефалоспорины I поколения: парентеральные — цефазолин, пероральные — цефалексин.
Цефалоспорины II поколения: парентеральные — цефуроксим, пероральные — цефуроксима аксетил, цефаклор.
Цефалоспорины III поколения: парентеральные — цефотаксим, цефтриаксон, цефоперазон, цефоперазон/сульбактам, цефтазидим, пероральные — цефдиторен, цефиксим, цефподоксим, цефтибутен.
Цефалоспорины IV поколения: парентеральные — цефепим, цефпиром.
Цефалоспорины V поколения (анти-MRSA-цефемы): парентеральные — цефтаролин, цефтобипрол.
Цефалоспорины I поколения обладают преимущественной активностью в отношении грамположительных кокков — стафилококков и стрептококков. Грамотрицательные бактерии резистентны, исключение составляют некоторые внебольничные штаммы Е. coli и Р. mirabilis. Применяют при инфекциях кожи и мягких тканей, костей и суставов, для периоперационной профилактики. В качестве альтернативных средств используют при эндокардите и сепсисе, вызванных метициллиночувствительными стафилококками и зеленящими стрептококками. Цефазолин плохо проникает через ГЭБ. Выводится преимущественно с мочой, Т1/2 — 2 ч, вводят 2-3 раза в сутки. Цефалексин имеет высокую биодоступность при пероральном приеме. Основные показания к применению цефалексина: стрептококковый фарингит, стрептококковые и стафилококковые неосложненные внебольничные инфекции кожи и мягких тканей.
Цефалоспорины II поколения, обладая сходной с цефалоспоринами I поколения активностью в отношении грамположительных кокков, превосходят их по действию на грамотрицательные бактерии, прежде всего Н. influenzae. Хорошо распределяются (кроме ЦНС), выделяются преимущественно почками, имеют близкие Т1/2 (около 1 ч). Применяют для лечения внебольничных инфекций, для периоперационной профилактики.
Парентеральные цефалоспорины III поколения имеют высокую природную активность в отношении грамотрицательных бактерий (семейство Enterobacteriaceae, Н. influenzae, N. gonorrhoeae, N. meningitidis), не инактивируются многими β-лактамазами. Разрушаются β-лактамазами расширенного спектра и β-лактамазами класса С (AmpС). Цефтазидим и цефоперазон активны в отношении Р. aeruginosa. По активности в отношении стафилококков значительно уступают ЛС I и II поколений, но в отношении стрептококков и пневмококков цефотаксим и цефтриаксон превосходят другие цефалоспорины и действуют на многие пенициллинорезистентные штаммы. Цефтазидим практически неактивен против грамположительных бактерий. Все ЛС этой группы хорошо распределяются в организме, проникают (кроме цефоперазона) через ГЭБ и могут использоваться для лечения инфекций ЦНС. Цефотаксим и цефтазидим выводятся почками, цефоперазон и цефтриаксон — почками и печенью. Все цефалоспорины III поколения имеют сходные Т1/2 (1,2-2 ч), за исключением цефтриаксона (около 7 ч). Применяют для лечения тяжелых внебольничных и нозокомиальных инфекций, вызванных грамотрицательными микроорганизмами. Цефоперазон/сульбактам — комбинация цефалоспорина III поколения с ингибитором β-лактамаз сульбактамом — по сравнению с цефалоспоринами обладает расширенным спектром активности, включая анаэробы и многие нозокомиальные штаммы бактерий, в т.ч. большинство штаммов, продуцирующих β-лактамазы расширенного спектра.
Пероральные цефалоспорины III поколения цефиксим и цефтибутен активны в отношении энтеробактерий и гемофильной палочки, но в отношении грамположительных микроорганизмов, включая пневмококки, стрептококки и стафилококки, их активность невысока; поэтому их не следует применять при грамположительных инфекциях, особенно при внебольничной пневмонии. Цефдиторен, в отличие от цефиксима и цефтибутена, обладает высокой активностью против стафилококков и стрептококков (в т.ч. пневмококков), в связи с чем не имеет вышеуказанных ограничений.
Цефалоспорины IV поколения характеризуются высокой активностью в отношении грамотрицательных бактерий, включая Р. aeruginosa, и повышенной по сравнению с препаратами III поколения (цефтазидим) активностью в отношении грамположительной флоры. Активны в отношении некоторых нозокомиальных штаммов Enterobacteriaceae, резистентных к цефалоспоринам III поколения. Разрушаются β-лактамазами расширенного спектра, но устойчивы к действию β-лактамаз класса С. Применяют для лечения тяжелых нозокомиальных инфекций, в т.ч. в отделении интенсивной терапии и у пациентов с нейтропенией. Цефпиром уступает цефепиму по активности в отношении большинства возбудителей.
Цефалоспорины V поколения (анти-MRSA-цефемы) включают только препараты для парентерального введения — цефтаролин и цефтобипрол. Основной отличительной чертой цефалоспоринов V поколения является наиболее высокая среди β-лактамов in vitro активность в отношении грамположительных бактерий, включая большинство штаммов MRSA. Активность цефтаролина и цефтобипрола против грамотрицательных бактерий в целом эквивалентна таковой цефотаксима и цефтриаксона.
Наиболее частые побочные действия — аллергические реакции. Примерно у 10% больных с гиперчувствительностью к пенициллину возникают перекрестные аллергические реакции на цефалоспорины I поколения. Цефоперазон может вызывать гипопротромбинемию и дисульфирамоподобный эффект.
Читайте также:
