Промышленное применение микроорганизмов. Производство продуктов микробного синтеза. Производство антибиотиков. Производство вакцин.
Добавил пользователь Владимир З. Обновлено: 21.01.2026
Микробиологический синтез - синтез структурных элементов или продуктов обмена веществ микроорганизмов за счёт присущих микробной клетке ферментных систем. При микробиологическом синтезе, как и любом органическом синтезе, сложные вещества образуются из более простых соединений. Микробиологический синтез следует отличать от брожения, в результате которого тоже получаются различные продукты микробного обмена (например, спирты, органические кислоты), но преимущественно за счёт распада органического вещества. Значительная часть продуктов, образующихся в ходе микробиологического синтеза обладает физиологической активностью и представляет практическую ценность для народного хозяйства.
К микробиологическому синтезу относят широкий круг процессов.
1. Накопление микробной массы для использования её: а) в качестве белково-витаминных добавок к кормам; б) как источника получения белков, липидов, ферментов, токсинов , витаминов, антибиотиков; в) для борьбы с паразитами животных и растений; г) в качестве носителя ферментативной активности в реакциях микробиологической (энзиматической) трансформации органических соединений.
2. Получение накапливающихся вне микробной клетки метаболитов, в том числе ферментов, токсинов, антибиотиков, аминокислот, витаминов, нуклеотидов и т.п.
Микробиологический синтез осуществляется внутри клетки при активации низкомолекулярных компонентов (например, коферментом А и участии нуклеотид фосфатов, чаще всего адениловых производных). Затем многие метаболиты выводятся из клетки в среду. Характерная особенность микроорганизмов — их способность к сверхсинтезу, т. е. избыточному образованию некоторых продуктов обмена веществ (многих аминокислот, нуклеотидов, витаминов), превышающему потребность микробной клетки. Так, глутаминовая кислота при сверхсинтезе может накапливаться в количестве свыше 10 мг/мл среды (культура Micrococcus glutamicus), витамин B2 — до 1—2 мг/мл (грибы Eremothecium ashbyii u Ashbya gossipii), вместо обычных сотых и даже тысячных долей мг. Способность к сверхсинтезу того или иного соединения свойственна определённым видам микроорганизмов, которыми, как правило, и пользуются в качестве продуцентов при производстве соответстветствующих метаболитов путём микробиологического синтеза. При этом применяют не только культуры, отобранные из природных источников, но и специально выведенные искусственным путём Мутанты — штаммы, у которых сверхсинтез — следствие нарушений обмена веществ под воздействием мутагенов. Применение мутантов позволяет значительно увеличить выход ряда продуктов. Например, выведены культуры с высоким уровнем сверхсинтеза лизина, инозиновой кислоты, некоторых витаминов. При помощи мутантов удалось в 100—150 раз поднять активность биосинтеза пенициллина; мутантные штаммы используются при производстве как этого, так и др. антибиотиков.
В процессе микробиологического синтеза получают ряд продуктов, причём за счёт самых разных соединений углерода и азота. Это обусловливается большим разнообразием ферментных систем микроорганизмов. Так, для синтеза белков, нуклеиновых кислот и др. метаболитов клетки могут использовать в зависимости от особенностей культуры разные неорганические источники азота, а из соединений углерода — различные углеводы, органические кислоты (в т. ч. уксусную кислоту), жидкие, твёрдые или газообразные углеводороды и др. Определённые виды, способные к Хемосинтезу или Фотосинтезу, в качестве источника углерода могут усваивать углекислый газ. Таким образом, подбор соответствующих культур даёт возможность получать путём микробиологического синтеза, желаемые вещества из дешёвого и доступного сырья. Эти особенности делают микробиологический синтез весьма эффективным способом производства многих соединений; часть из них (например, многие антибиотики) экономически выгодно получать ныне только таким путём.
Некоторые продукты микробиологического синтеза давно использовались человеком (например, пекарские дрожжи), но широкое промышленное применение микробиологического синтеза получил начиная с 40—50-х гг. 20 в. Прогресс в этой области связан прежде всего с открытием пенициллина, что побудило начать детальные исследования у микроорганизмов продуктов обмена веществ, обладающих физиологической активностью. Освоение в промышленных масштабах производства пенициллина привело к решению многих микробиологических, технологических и инженерных задач. Это, наряду с расширением производства дрожжей как белково-витаминных добавок к кормам, послужило основой для развития промышленного микробиологического синтеза. Так, в частности, были созданы специальные аппараты — ферментёры, с помощью которых можно вести технологический процесс биосинтеза без доступа посторонних микроорганизмов, снабжённые устройствами для перемешивания среды и для подачи стерильного воздуха.
Технологически современный процесс микробиологического синтеза состоит из ряда последовательных этапов (операций). Главные из них: подготовка необходимой культуры микроорганизма-продуцента; подготовка питательной среды; выращивание посевного материала; культивирование продуцента в заданных условиях, в ходе которого и осуществляется микробиологический синтез, часто называемый ферментацией (например, ферментация антибиотиков); фильтрация и отделение биомассы; выделение и очистка требуемого продукта, когда это необходимо; сушка. Процессы выделения и очистки, часто занимающие важное место среди др. технологических операций, определяются химической природой получаемого вещества и могут включать экстракционные и хроматографические методы, кристаллизацию, осаждение и др. Наиболее прогрессивным способом культивирования считается непрерывный — с непрерывными подачей питательной среды и выводом продуктов микробиологического синтеза. Так производят, например, микробную биомассу (кормовые дрожжи). Однако непрерывный способ разработан далеко ещё не для всех процессов микробиологического синтеза, и большинство метаболитов (аминокислоты, антибиотики, витамины) получают периодическим способом — с выводом продукта в конце процесса. В некоторых случаях (например, при производстве ряда ферментов) продуценты выращивают не в ферментёрах с аэрацией и перемешиванием (глубинный способ), а на поверхности питательной среды — т. н. поверхностным способом. Для производства разнообразных продуктов микробиологического синтеза. в СССР создана Микробиологическая промышленность, уже выпускающая большой ассортимент соединений разных классов. Работы в области М. с. проводятся почти во всех промышленно развитых странах. Во многих из них продукты М. с. являются важной составляющей экономики страны, например производство ферментов и аминокислот — в Японии, лекарственных препаратов — в Венгрии.
Антибиотики — один из первых продуктов микробиологического синтеза, которые широко производят для медицины и сельского хозяйства. Большинство антибиотиков накапливается вне клеток микроорганизма-продуцента, которыми в основном являются Актиномицеты, некоторые грибы и бактерии, главным образом их мутантные формы. Антибиотические препараты, употребляемые преимущественно в медицине, отличаются высокой степенью чистоты. На корм животным чаще идёт концентрат среды после выращивания в ней продуцента, иногда вместе с биомассой, содержащий значительное количество др. продуктов обмена веществ продуцента, в том числе витамины, аминокислоты, нуклеотиды и т.п. Некоторые антибиотики (фитобактериомицин, трихотецин, полимиксин) используются как средства защиты растений от фитопатогенных микроорганизмов.
Витамины, провитамины, коферменты.Методом микробиологического синтеза производят в основном витамин B12, а частично и витамин B2 и его коферментную форму — флавинадениндинуклеотид (ФАД), каротиноиды, эргостерин. Кроме того, развивается производство разных др. соединений этого типа (никотинамидные коферменты и др.). Витамин B12 получают практически только путём микробиологического синтеза. Основными продуцентами при этом служат пропионовокислые бактерии, актиномицеты, а также комплекс метанобразующих бактерий, использующих отходы бродильной промышленности (послеспиртовые, ацетоно-бутиловые барды и др.) и применяемых в основном для получения кормового концентрата (высушенная среда с биомассой продуцента). Многие микроорганизмы способны к сверхсинтезу витамина B2 с активным выделением его в среду, но в качестве промышленных продуцентов употребляют наиболее активные культуры, главным образом грибы Eremothecium ashbyii и Ashbya gossipii. Помимо свободного витамина, при помощи Е. ashbyii получают также ФАД. β-каротин — провитамин витамина А, получаемый также др. способами (извлечение из моркови и др. объектов, химический синтез), образуется наряду с др. каротиноидами (См. Каротиноиды) мн. микроорганизмами и содержится в клетках, придавая биомассе характерную окраску от жёлтой до красных тонов; однако наибольший практический интерес представляет культура Blakeslea trispora — самый активный синтетик, которым и пользуются в основном в качестве продуцента при промышленном биосинтезе. Эргостерин — провитамин витамина D2 — содержится в клетках многих дрожжей; основным источником его промышленного получения служат пекарские дрожжи. Однако уже имеются дрожжевые культуры со значительно более высоким уровнем накопления эргостерина. Комплекс витаминов и коферментов синтезируется, кроме того, в процессе развития дрожжей и накапливается в дрожжевой биомассе, которая привлекает всё более пристальное внимание как источник этих соединений.
Ферменты, синтезируемые микроорганизмами, и создаваемые на их основе ферментные препараты приобрели большое значение в народном хозяйстве, особенно в пищевой промышленности. Продуцентами ферментов — протеаз, амилаз, фосфатаз, целлюлаз, пектиназ, глюкозооксидазы, липаз, каталазы — служат многие мицелиальные грибы, некоторые актиномицеты и бактерии. В зависимости от локализации фермента подвергают обработке микробную массу или фильтрат, свободный от микробных клеток. Получение чистых ферментных препаратов связано со значительными технологическими трудностями. Такие препараты обычно очень дороги; поэтому в промышленности используют комплексные препараты, содержащие, например, протеазы и липазы, протеазы и амилазы.
Аминокислоты. Наблюдаемый во многих странах недостаток ряда аминокислот в рационах человека и кормах животных вызвал промышленное их получение, в том числе и методом микробиологического синтеза. Существенное преимущество микробиологического синтеза аминокислот перед химическим методом заключается в получении их непосредственно в виде природных изомеров (L-формы). Из аминокислот, вырабатываемых микробиологическим синтезом, наиболее важны Лизин и Глутаминовая кислота. Продуцентами аминокислот обычно служат культуры бактерий, относящихся к родам Brevibacterium и Micrococcus; для производства используются преимущественно мутанты-ауксотрофы, осуществляющие сверхсинтез соответствующей аминокислоты с выделением её в среду.
Нуклеотиды. Широкое развитие микробиологического синтеза нуклеотидов, в частности инозиновой, гуаниловой и др. кислот, получил в Японии, где они используются главным образом как добавки к специфическим продуктам восточной кухни. В будущем нуклеотиды приобретут, вероятно, более важное значение в качестве регуляторов многих энзиматических и гормональных процессов в животном организме. Накопление нуклеотидов происходит преимущественно в культуральной жидкости, т. е. вне клеток продуцентов. Для микробиологического синтеза нуклеотидов, как и аминокислот, используются биохимические мутанты с выраженным сверхсинтезом нужного соединения.
Белок и белково-витаминные препараты. Особое значение как источник белка имеет микробная биомасса. Производство такой биомассы на дешёвом сырье рассматривают как одно из средств устранения растущего белкового дефицита в питании человека и животных. Наиболее интенсивное развитие получили промышленные методы микробиологического синтеза так называемых кормовых дрожжей, применяемых в виде сухой биомассы как источник белка и витаминов в животноводстве. Кормовые дрожжи содержат значительном количество белка (до 50—55%), в состав которого входят незаменимые аминокислоты, например лизин, Триптофан, Метионин; они богаты витаминами, многими микроэлементами. Для выращивания кормовых дрожжей использовали преимущественно дешёвое углеводное сырьё — гидролизаты отходов деревообрабатывающей промышленности, непищевых растительных материалов (подсолнечная лузга, стержни кукурузных початков и т.п.), сульфитные щелока, различные виды барды и т.д. Ныне в крупных промышленных масштабах организуется производство дрожжей на углеводородах (н-алканах, газойле, различных фракциях нефти). Большие запасы этого сырья позволяют планировать крупнотоннажное производство микробной биомассы. Для получения белково-витаминной биомассы изучается также возможность применения бактерий. Многие бактерии хорошо растут на углеводородах, в частности газообразных (например, на метане), а также на др. источниках углерода (например, на метаноле и уксусной кислоте). Углеводороды и их производные привлекают внимание и как сырьё для микробиологического синтеза отдельных физиологически активных соединений (аминокислот, витаминов, нуклеотидов и т.д.).
К числу продуктов микробиологического синтеза следует отнести и некоторые средства защиты растений: бактериальные энтомопатогенные препараты (например, энтобактерин, инсектин, дендробациллин), вызывающие гибель вредных насекомых и предотвращающие их массовое размножение. Указанное действие вызывают своеобразные «белковые кристаллы» — носители токсичности, расположенные в микробных клетках.
Методом микробиологического синтеза получают также многие Бактериальные удобрения.
К частному случаю микробиологического синтеза относится микробиологическая трансформация органических соединений. За счёт высокой активности специфических энзиматических систем микроорганизмы оказываются способными осуществлять ряд реакций на молекуле органического соединения, не меняя его основной структуры. Наиболее изучены реакции на молекулах стероидных соединений. В строго определённых положениях осуществляются реакции дегидрирования, дезацетилирования и гидроксилирования, в результате чего меняется физиологическая активность исходного стероидного соединения. Благодаря подбору соответствующих микроорганизмов — носителей специфических ферментных систем — метод микробиологической трансформации получает всё большее распространение.
Биотехнология получения антибиотиков и стероидов
Принципы получения вторичных метаболитов основаны на особенностях их образования клетками микроорганизмов. Биосинтез вторичных метаболитов фазоспецифичен и происходит по завершении стадии роста, в идиофазе, благодаря чему их еще называют идиолитами (см. с. 32). Среди вторичных метаболитов ведущее место по объему производства занимают антибиотики.
3.1. Получение антибиотиков
В мире ежегодно производится антибиотиков почти на 20 млрд долларов. К числу антибиотиков относятся важнейшие противомикробные и противоопухолевые препараты. Открытие антибиотиков произвело переворот в лечении инфекционных заболеваний. Ушли в прошлое представления о неизлечимости многих бактериальных инфекций (туберкулез, сепсис, сифилис и др.). Антибиотики применяют в ряде отраслей народного хозяйства (растениеводство, животноводство, ветеринария, пищевая промышленность и др.), где они используются более широко, чем в медицине. Организация крупномасштабного производства антибиотиков сыграла решающую роль в становлении промышленной биотехнологии.
К антибиотикам относятся низкомолекулярные эффекторы изначально природного происхождения, способные подавлять рост живых клеток. Антибиотики, продуцируемые растительными объектами, называют фитонцидами. Вопрос о физиологических функциях антибиотиков, их месте в метаболизме и процессах эволюции окончательно не решен. Антибиотики возникли в борьбе за существование почвенных биоценозов, поэтому многие из них служат средствами нападения и защиты, т. е. представляют собой своеобразное химическое «оружие» клетки. Однако эти функции у антибиотиков не единственны. Известно, что они могут участвовать в процессах детоксикации вредных метаболитов, контролировать некоторые стороны обмена веществ и целые процессы развития, например дифференцировку клеток, служить запасными питательными веществами. Некоторые исследователи рассматривают антибиотики как случайные вещества, обладающие полезными свойствами, другие считают их реликтовыми молекулами, вытесненными в ходе эволюции продуктами рибосомального синтеза, но и до сих пор сохранившими способность вмешиваться в биохимические процессы.
Способность нитчатого гриба зеленой плесени Penicillium notatum вызывать гибель микроорганизмов впервые была установлена в 1928 г. английским микробиологом А. Флеммингом. Однако лечебные свойства этой плесени были описаны еще в 1871 г. русским дерматологом А. Г. Полотебновым. Количество открываемых антибиотиков постоянно растет. В 1940 г. было известно всего 6 антибиотиков, а в настоящее время описано более 12 000 аналогичных соединений, из которых в клинике применяют около 200 препаратов. 97 % известных антибиотиков токсичны, поэтому в практике не используются. В химическом отношении они представляют сборную группу органических веществ.
В зависимости от химической природы и ряда других свойств известные антибиотики делят на ряд классов:
- Р-Лактамные (пенициллины, цефалоспорины) составляют более 50 % рынка антибиотиков.
- Тетрациклины (тетрациклин, морфоциклин, метациклин).
- Макролиды (эритромицин, олеандомицин).
- Аминогликозиды (гентамицин, амикацин).
- Гликопептиды (ванкомицин, ристомицин).
- Амфениколы (левомицетин).
- Линкосамиды (линкомицин).
- Полиеновые [противогрибковые (нистатин, леворин)].
- Противоопухолевые (блеомицин) и др.
Большой вклад в установление структуры ряда антибиотиков внесли М. М. Шемякин, Ю. А. Овчинников, В. Т. Иванов, А. С. Хохлов, Г.Б.Локшин, М.Н.Колосов, Ю.А.Берлин, Е.С. Есипов, А.Д. Кузовнов.
Химические формулы наиболее распространенных антибиотиков следующие:

По типу действия антибиотики делят на бактерицидные (лактамные, аминогликозиды), вызывающие гибель микроорганизмов, и бактериостатические (макролиды, тетрациклины, левомицетин), нарушающие способность микроорганизмов делиться. По спектру действия различают антибиотики узкого и широкого действия. К последним относят тетрациклины, макролиды, аминогликозиды, которые особенно полезны в случае неидентифицированных возбудителей болезни, однако при длительном применении они вызывают у пациентов дисбактериоз.
В последние годы достигнуты большие успехи в расшифровке молекулярного механизма действия антибиотиков. Наиболее яркая особеннность антибиотиков — исключительная специфичность их действия. По выражению П. Эрлиха, антибиотики — это магические пули. Специфика действия их состоит в избирательном подавлении этими эффекторами одного или нескольких процессов лишь у некоторых микроорганизмов. Таким образом, антибиотики блокируют метаболические мишени в клетках-мишенях. В зависимости от специфики действия антибиотиков на молекулярном уровне различают следующие группы соединений, вызывающие у бактерий:
- нарушение биосинтеза пептидогликанов клеточной стенки (пенициллины, ванкомицин, цефалоспорины);
- нарушение отдельных этапов процессов трансляции (амфениколы, аминогликозиды, тетрациклины, макролиды, линкосамиды);
- повреждения цитоплазматической мембраны (грамицидин, полимиксины);
- нарушение биосинтеза нуклеиновых кислот (рифамицины, актиномицин D, противоопухолевые антибиотики);
- нарушение энергетического обмена (олигомицин, хлоргексидин).
Антибиотики широко используют в качестве молекулярных инструментов при исследовании фундаментальных проблем биологии, таких, как расшифровка тончайших механизмов биосинтеза белка, нуклеиновых кислот и структуры клеточных стенок бактерий, создание моделей транспорта ионов через биологические мембраны и др.
Изыскание новых антибиотиков обусловлено как потребностями практики, так и накоплением резистентных форм микроорганизмов по отношению ко многим антибиотикам. Устойчивость бактерий к пенициллинам и цефалоспоринам создает присутствующий в их клетках энзим лактамаза (пенициллиназа). Фермент гидролизует амидную связь (3-лактамного цикла в молекуле антибиотика с образованием пенициллиновой кислоты, которая полностью лишена антимикробной активности:
Специальное изучение объема и потенциала защитных свойств микроорганизмов показало, что их резистентность к антибиотикам имеет глобальный характер и обеспечивается как разнообразием фенотипов резистентности, так и разнообразием и стабильностью систем горизонтального генного транспорта. Поэтому главное направление получения новых антибиотиков состоит не в открытии новых соединений, а в химической трансформации природных молекул для создания полусинтетических антибиотиков, характеризующихся значительно меньшей резистентностью и токсичностью, но более широким спектром действия, большим временем жизни, химической и биологической устойчивостью. Важный подход на пути получения устойчивых аналогов антибиотиков — использование природных ингибиторов (3-лактамаз — клавулановой и оливановой кислот.
Методы получения антибиотиков путем химического синтеза чрезвычайно сложны и не могут конкурировать с их биосинтезом методами биотехнологии. Существует несколько способов получения как природных, так и полусинтетических антибиотиков. Направленный биосинтез антибиотиков осуществляется путем прямой ферментации микроорганизма — продуцента с подходящим предшественником, что индуцирует синтез ферментов вторичного метаболизма в идиофазе. Точный механизм индуцирования первичными метаболитами генов, кодирующих синтез ферментов вторичного метаболизма, не расшифрован, однако выявлено, что молекулы предшественника необходимо добавлять в среду в период фазы роста микроорганизма. Установлено, что вводимый предшественник должен лимитировать скорость биосинтеза антибиотика. Например, производство бензилпенициллина в значительной степени стимулируется добавками его метаболического предшественника — фенилуксусной кислоты; пропионовая кислота и пропиловый спирт инициируют биосинтез макролидов через метилмалонилКоА; L-фенилаланин — предшественник фенилаланина — ускоряет образование грамицидина S. Аналогичный эффект вызывает использование ингибиторов метаболизма. Так, при подавлении процесса введения хлора микроорганизм S. аигеоfaciens образует тетрациклин, а не хлортетрациклин, а при ингибировании реакции метилирования им синтезируется деметилированное производное хлортетрациклина.
Другой способ получения антибиотиков состоит в использовании для их биосинтеза блокированных мутантов, у которых отсутствует (блокировано) определенное звено в цепи реакций, ведущих к синтезу антибиотика. Блокированные мутанты не способны образовывать нужный антибиотик. Используя низкую субстратную специфичность ферментов вторичного метаболизма и вводя аналоги предшественников антибиотика, последние переводят в аналоги самого антибиотика в ходе процесса, известного как мутационный биосинтез, или мутасинтез:
Так, мутанты Nocardia mediterranei, у которых нарушена способность к ацилированию, образуют аналог предшественника рифамицина В-рифамицин SV, который служит исходным веществом для получения многих синтетических рифамицинов (препараты для лечения туберкулеза и проказы).
Особенно успешны разработки в области биосинтеза полусинтетических пенициллинов и цефалоспоринов. Получение новых более эффективных аналогов пенициллина основано на изменении природы его ацильнои группировки при сохранении в неизменном виде ядра пенициллина — 6-аминопенициллановой кислоты (6-АПК). В промышленности 6-АПК получают путем гидролиза природных пенициллинов с помощью специфического фермента — пенициллинацилазы, образующейся с высоким выходом в процессе ферментации ряда штаммов микроорганизмов. Ацилазы различают по их субстратной специфичности. Некоторые из ацилаз способны катализировать и обратные реакции — процессы ацилирования аминогруппы 6-АПК с образованием модифицированного пенициллина. Таким путем было получено более 40 ООО полусинтетических пенициллинов. Существенно, что во многих случаях 6-АПК не выделяют из культуральной жидкости, например при превращении бензилпенициллина в ампициллин:
Бензилпенициллин гидролизуют ацилазой мутанта Kluyvera citrophi- laпри рН 7,8 — 8,0 и температуре 40—50 «С. Затем в ферментер вносят мутант Pseudomonas melanogenumи фенилглицин. Условия ферментации изменяют таким образом (рН 5,0 — 5,5), чтобы ацилаза второго мутантного организма осуществляла синтез ампициллина:

Антибиотики продуцируются плесневыми грибами, актиномицетами, эубактериями и другими микроорганизмами. Некоторые из этих организмов способны продуцировать большое количество антибиотиков. Так, 6 родов филаментозных грибов производят около 1000 различных антибиотиков, в том числе пенициллин и цефалоспорин, а три рода актиномицетов — 3000 антибиотиков. Среди актиномицетов наибольший вклад вносит род Streptomyces, один из видов которого — S. griseus синтезирует более 50 антибиотиков. В процессе образования антибиотиков задействовано значительное число генов. Массовая расшифровка первичной структуры геномов микроорганизмов показала, что эта величина равна 1 — 2%. Так, у Bacillus subtilis число таких генов достигает 2 %, что обеспечивает микроорганизму большие возможности для защиты и адаптации. С другой стороны, это обстоятельство затрудняет анализ путей биосинтеза антибиотиков и идентификацию отдельных мутаций, способных увеличить выход продукта. Тем не менее большинство известных в настоящее время высокопродуктивных штаммов продуцентов антибиотиков получено традиционными методами мутагенеза и селекции.
Биосинтез антибиотиков, как и любых других вторичных метаболитов, возрастает в фазе замедленного роста клеточной популяции (конец трофофазы) и достигает максимума в стационарной фазе (идиофазе). Считают, что в конце трофофазы изменяется энзиматический статус клеток, появляются индукторы вторичного метаболизма, освобождающие гены вторичного метаболизма из-под влияния катаболитной репрессии. Поэтому любые механизмы, тормозящие клеточную пролиферацию и активный рост, стрессовые ситуации, активируют процесс образования антибиотиков.
Процесс культивирования идиолитов проходит две фазы (двустепенчатое культивирование). На первой фазе происходит накопление достаточного количества биомассы, которая выращивается на среде для роста микроорганизма. Эта фаза должна быть быстрой, а питательная среда дешевой. На второй фазе осуществляются запуск и активный синтез антибиотика. На этой фазе ферментацию ведут на продуктивной среде.
Образование антибиотиков регулируется условиями культивирования микроорганизмов. Поэтому оптимизация питательной среды является главным фактором в повышении выхода продукта. Специальные опыты показали, что выход цефалоспорина С уменьшается при переходе от использования в качестве источника углерода сахарозы к быстро усваиваемому углеводу глюкозе. Наиболее оптимальной средой для образования антибиотика культурой Streptomyces antibioticus оказалась смесь 0,1 % глюкозы и 1 % галактозы. При таком соотношении моносахаридов глюкоза быстро утилизируется и микроорганизм переключается на усвоение галактозы, что и инициирует идиофазу.
Многие антибиотики берут свое начало от промежуточных соединений обмена первичных метаболитов, поэтому их биосинтез, регулируется путем ретроингибирования. Так, биосинтез пенициллина культурой гриба Penicillium chrysogenum контролируется по принципу обратной связи L-лизином. Этот эффект объясняется тем, что биосинтез как пенициллина, так и лизина осуществляется через общий предшественник — а-аминоадипиновую кислот (см. схему ниже). Торможение лизином первого фермента биосинтеза — гомоцитратсинтазы — приводит к недостатку а-аминоади пиновой кислоты, что снижает выход антибиотика.

Добавление в питательную среду а-аминоадипиновой кислоты предотвращает ингибирующий эффект лизина и активирует биосинтез пенициллина в отсутствие лизина. Кроме ретроингибирования биосинтез многих антибиотиков тормозится высокими концентрациями своих же антибиотиков. Следует отметить, что в процессе эволюции микроорганизмы выработали механизмы защиты от действия собственных антибиотиков. Эта проблема успешно решается, в результате использования иммобилизованных ферментов.
Большинство антибиотиков получают при глубинной аэробной ферментации периодического действия в асептически условиях. Период ферментации длится 7—10 суток. В последние годы внедряются полунепрерывные и непрерывные процессы ферментации. Технология завершающих стадии- процесса определяется природой антибиотика, характерол производства и целями дальнейшего использования антибиотиков. Для медицинских целей технология выделения и очистки имеет особое значение. Обычно она включает сложные многоступенчатые комбинации различных операций: экстракцию антибиотиков подходящими растворителями, осаждение и перекристаллизацию их из разных сред, фракционирование на ионообменных смолах, лиофильную и распылительную сушку готовых препаратов (рис. 3.6). Антибиотики выделяют или в виде сравнительно неочищенных препаратов (натриевая соль пенициллина), или в виде высокоочищенных веществ (прокаиновая соль пенициллина), предназначенных для клинического использования. Выход антибиотиков обычно составляет несколько десятков граммов на 1 л.

Рис. 3.6. Технологическая схема производства пенициллина (по B.Atkinson, F.Mavituna, 1983)
3.2. Получение промышленно важных стероидов
Способность клеток микроорганизмов к сложнейшим процессам биотрансформации наиболее полно реализовалась при получении промышленно важных стероидов. Использование абсолютной субстратной специфичности и стереоспецифичности биологических катализаторов, присущих целым клеткам микроорганизмов, позволило разработать условия осуществления множества химических реакций для структурных перестроек стероидов. В результате были получены новые соединения с лучшими фармакологическими свойствами. Биотрансформация стероидов обычно заключается в селективном воздействии на одно из положений стероидного скелета. Первый промышленный процесс микробной биотрансформации стероидов основывался на технологии направленного гидроксилирования (11-а-гидроксилирование) прогестерона:
Значимость разработанной микробной трансформации определяется тем, что процессы гидроксилирования кортикостерона и его производных лежат в основе промышленного получения многих ценных продуктов: противовоспалительных и противоопухолевых препаратов, трансквилизаторов, анестезирующих средств, половых гормонов и пр.
Так, производство в промышленном масштабе важнейшего противовоспалительного препарата — преднизолона — осуществляется путем микробного гидроксилирования кортикостерона (см. схему ниже).
Правильность преобразования стероидного субстрата контролируют, сочетая химический подход со специфичностью биологической системы. Например, образование уксуснокислого эфира по С-17-субстрата стереохимически препятствует другим побочным реакциям.
Важнейший источник стероидных гормонов — культура клеток растений. Так, культура клеток диоскореи дельтовидной (Dioscorea deltoidea) корневого происхождения продуцирует фи- тостерин диосгенин и его гликозидные производиые (сапонины). Существенно, что способность к сверхсинтезу фуростаноловых гликозидов ряда штаммов диоскореи, например штамма ДМ-ОГ, стабильно поддерживалась в течение 27 лет (Р. Г. Бутенко, 1999). Таким образом, культивирование клеток растений in vitro представляет собой новое решение проблемы промышленного получения вторичных метаболитов.
Дальнейшие успехи в производстве стероидных препаратов связывают с применением иммобилизованных клеток, использованием оптимального сочетания биологических и химических превращений, а также с совершенствованием технологии очистки получаемых соединений. Среды для биотрансформации имеют достаточно сложный состав, а реакция требует строгого контроля за каждым ее параметром (рН, время и т.д.). Так, среда для осуществления реакции окисления кортизола в пред-низолон культурой клеток Arthrobacter simplex включает пептон, глюкозу и кукурузный экстракт. Через сутки к смеси добавляют вещество S Рейхштейна. Процесс ведут строго в нейтральной среде при температуре 28 °С в течение 120 ч. Выход преднизолона составляет 93 %.
Разработка крупномасштабного производства преднизолона путем биотрансформации стероидов позволила снизить стоимость этого препарата в 200 раз.
ФАРМАЦЕВТИЧЕСКАЯ МИКРОБИОЛОГИЯ - В. А. Галынкин - 2015
ГЛАВА 9. ПРОИЗВОДСТВО ХИМИОТЕРАПЕВТИЧЕСКИХ ПРЕПАРАТОВ
9.1 Общие представления о промышленном производстве лекарственных препаратов
Промышленное производство лекарственных препаратов включает широкое использование машин, аппаратов, поточных механизированных и автоматизированных линий. Оно предусматривает массовый, серийный выпуск препаратов по стандартным прописям, рассчитанным на среднего потребителя.
Укрупненное фармацевтическое производство состоит из комплекса специализированных цехов. Цех — основное производственное подразделение, специализированное для выполнения однородных процессов (дробильный, экстракционный, фасовочный и т. д.) или для выпуска однотипной продукции (таблеточный, ампульный, аэрозольный и др.). Каждый цех имеет несколько участков, где осуществляются однотипные
операции, составляющие технологический процесс. Например, таблеточный цех имеет участки смешивания ингредиентов, гранулирования, сушки гранулята, прессования и др.
Работа промышленных предприятий характеризуется строгой регламентацией и планированием производства. Производственный процесс проводится в определенных стандартных условиях, предусмотренных точными инструкциями, объединенными в одни сводный документ — регламент. Регламент представляет собой совокупность правил, определяющих порядок деятельности фармацевтического предприятия по выпуску готовой продукции. В нем дается характеристика исходных продуктов, полуфабрикатов и готового продукта, указаны последовательность стадий технологического процесса, режим обработки материалов по стадиям, аппаратурная схема, методы анализа, правила по технике безопасности, производственной гигиене и другие условия производства. Регламент является законом производства, отступление от него недопустимо. За соблюдением регламента следит отдел технического контроля.
В фармацевтическом производстве технологические процессы подразделяются на химические, связанные с химическим синтезом лекарственных веществ и физические. К последним относятся механические, связанные с обработкой твердых материалов (измельчение, просеивание, смешивание, дозирование, прессование), гидромеханические (перемешивание жидкостей, эмульгирование, фильтрование), тепловые (испарение, конденсация, плавление), массообменные (растворение, кристаллизация, сушка, экстракция, ректификация). Все эти процессы требуют соответствующего аппаратурного оформления, т. е. выполняются с использованием специальных машин и аппаратов.
Основным исходным материалом для изготовления лекарственных препаратов являются активные фармацевтические субстанции, которые могут быть получены путем химического или биологического синтеза, а также путем переработки лекарственного растительного сырья или тканей и органов животных.
Лекарственные препараты имеют определенную лекарственную форму, т. е. удобное для применения состояние. Существуют твердые (порошки, таблетки, гранулы), жидкие (растворы, суспензии, эмульсии) и мягкие (мази, суппозитории) лекарственные формы. Этапы химического синтеза определенного лекарственного вещества могут включать процессы смешивания ингредиентов реакции, их термической обработки, экстракционного или хроматографического разделения продуктов реакции, упаривания, кристаллизации, сушки и т. п.
Основные этапы микробиологического синтеза антибиотиков, ферментов, органических кислот и т. п. показаны на схеме (рис. 59).
Рис. 59. Этапы получения продуктов микробиологического синтеза.

Из лекарственного растительного сырья готовят сборы, порошки, настойки, экстракты, а также получают максимально очищенные экстракционные препараты или препараты индивидуальных веществ.
Из животного сырья получают гормоны, ферменты и препараты неспецифического действия. Они могут представлять собой высушенные, обезжиренные и измельченные ткани или экстракты (максимально очищенные или препараты индивидуальных веществ).
В основу гомеопатической фармации положен принцип потенцирования (динамизации) — особая технология приготовления гомеопатических лекарств. Сущность этого принципа состоит в том, что процесс включает в себя поэтапное снижение концентрации исходного гомеопатического вещества в носителе (растворе или порошке) в 10 или 100 раз на каждом этапе путем интенсивного встряхивания, растирания и перемешивания. В результате получают препараты, в которых содержание исходной субстанции снижено до ничтожных значений.
Для современной фармацевтической промышленности характерно непрерывное совершенствование и комплексное применение новых технологических подходов, основанных на понимании механизма действия и фармакологического эффекта лекарственного вещества и направленных к общей цели — созданию более эффективных и безопасных медицинских препаратов.
Современное фармацевтическое производство требует от персонала понимания смысла и значения каждой ступени технологического процесса и строгого контроля выполнения требований регламента. В связи с этим центральное место в общем направлении развития фармацевтической технологии наряду с химией и биотехнологией принадлежит микробиологии, научный поиск и развитие этих направлений определяют успех развития всей отрасли.
Существенная часть требований к качеству фармацевтической продукции и к условиям производства контролируется микробиологом: стерильность, микробная контаминация сырья и нестерильных лекарственных средств, соблюдение правил производственной гигиены, предусмотренных GМР. Эти требования должны быть хорошо известны всем участникам производственного процесса и неукоснительно соблюдаться с сознанием важности тщательного выполнения каждого из них.
С появлением фармацевтических препаратов, получаемых с использованием методов генетической инженерии, более 80% стерильных лекарственных форм готовят асептично, поскольку эти вещества лабильны и не могут быть простерилизованы в готовом виде. Лекарственные препараты, приготовленные с использованием асептичной технологии, превосходят по своему качеству препараты, производимые ранее.
Техникой работы в асептичных условиях должны владеть не только микробиологи, но и химики, а также весь персонал, от которого зависит выпуск микробиологически безопасной продукции.
9.2 Производство антибиотиков
Получение препаратов антибиотиков - сложный и многоступенчатый процесс. Он слагается из комплекса последовательных исследований, которые можно свести в основном к следующим этапам:
1) изыскание микроорганизмов-антагонистов в природе и выделение их в чистую культуру;
2) изучение спектра действия и определение антибиотической активности выделенных культур антагонистов;
3) подбор условий культивирования продуцентов антибиотиков;
4) первичная идентификация антибиотика на ранних этапах изучения;
5) выделение и химическая очистка активно действующего начала из культуральной жидкости и клеток, а также сравнение полученного антибиотика по биологическим и химическим показателям с уже известными препаратами для выявления новых свойств полученных веществ;
6) изучение механизма действия и испытание токсических и лечебных качеств антибиотиков на животных;
7) разработка технологии получения антибиотика в лаборатории и внедрение ее в промышленное производство;
8) получение из исходных штаммов новых генотипов микроорганизмов, обладающих повышенной активностью, путем мутаций и рекомбинаций методами генетической и клеточной инженерии (рис. 60).
Для получения новых антибиотиков помимо изыскания новых или генетически измененных продуцентов используют следующие методические подходы:
1) получение из исходного антибиотика препарата с новыми свойствами путем химической или биохимической модификации его молекулы;
2) направленный биосинтез путем биохимической модификации структуры, полученной химическим методом;
3) химический синтез с использованием природных структур в качестве шаблонов;
4) мутасинтез. Этот метод включает следующие этапы:
а) получение мутантов — идиотрофов, требующих для образования антибиотика определенный фрагмент его молекулы (предшественник);
б) получение химическими методами аналога этого предшественника (мутасинтона);
в) культивирование идиотрофа на среде, содержащей мутасинтон. При этом идиотроф включает мутасинтон в молекулу продуцируемого им антибиотика. В результате получаются новые (мутасинтетические) структуры.
5) Получение гибридных антибиотиков, т. е. веществ, продуцируемых генетическими гибридами; гибридный антибиотик может содержать структуры двух различных метаболитов. От антибиотиков, получаемых перечисленными выше методами, они отличаются тем, что представляют собой продукт комбинации генов.
Основные этапы получения гибридных антибиотиков:
а) выбор продуцента, образующего известный антибиотик;
б) изыскание нового микроорганизма для гибридизации;
в) исследование биохимических путей синтеза антибиотика, интермедиатов и ферментов;
г) определение генов, контролирующих образование ферментов биосинтеза и его регуляторов;
д) получение рекомбинантной ДНК, содержащей комбинацию генов, благоприятную для процесса биосинтеза;
е) клонирование новой генетической структуры в культуре реципиента;
ж) химическое, микробиологическое и фармакологическое исследование нового антибиотика.
Природные антибиотики получают путем культивирования микроорганизма — продуцента с использованием методов биотехнологии. По объему выпускаемых антибиотиков антибиотическая промышленность является самым крупным биотехнологическим производством.
Цель любой биотехнологии — на базе понимания физиологических и генетических свойств продуцента
получить максимальный выход конечного продукта. Необходимые для этого биотехнологические манипуляции реализуются в соответствующей аппаратуре (рис. 60).
Рис. 60. Аппаратно-технологическая схема периодического культивирования микроорганизмов в стерильных условиях: 1 — реактор для приготовления питательной среды; 2 — насос; 3 — нагреватель среды — стерилизационная колонка; 4 — выдерживатель; 5 — охладитель среды; 6 — индивидуальный фильтр воздуха; 7 — посевной ферментатор; 8 — рабочий ферментатор; 9 — мерник. вода; . пар; воздух

Управление процессами метаболизма продуцента может осуществляться следующими способами:
1) изменением состава питательной среды;
2) изменением условий внешней среды (температура, рН, аэрация);
3) конструкцией биореактора (ферментера);
4) регламентированием введения дополнительного субстрата;
5) фиксацией физиологического состояния культуры применением метода непрерывного культивирования;
6) использованием генетически модифицированных штаммов продуцента.
Реализация этих способов требует специальных инженерно-технологических подходов, обеспечивающих биохимическую регуляцию биосинтеза при сохранении свойств популяции продуцента (отсутствие повреждений клеток, автолиза, инфекции и др.).
Ферментация антибиотиков (рис. 61), как правило, аэробный процесс, требующий подачи воздуха в ферментационную среду и перемешивания.
Рис. 61. Ферментатор. 1 — мешалка одноярусная; 2 — отражательная перегородка; 3 — рубашка; 4 — привод мешалки; 5 — крышка; 6 — труба для подачи воздуха (барботер); 7 — корпус.

В антибиотической промышленности преимущественно применяют биореакторы объемом от 30 до 200 м 3 с механической мешалкой, снабженные системой автоматического контроля и управления процессом ферментации. Температуру ферментации (обычно 24-26°С) обеспечивает система охлаждения. После ферментации биомассу отделяют, антибиотик выделяют из фильтрата (для некоторых антибиотиков — из клеток продуцента) путем экстракции, ионообмена, ультрафильтрации, осаждения и кристаллизации. Процесс подготовки посевного материала, ферментации и многие из дальнейших операций проводят в асептических условиях.
Культура продуцента. Исходный штамм микроорганизма, продуцирующего антибиотик или другие БАВ, выделяют из природных источников (почва, растительные субстраты и др.) специальными методами скрининга; природный (дикий) штамм обладает низкой активностью, поэтому требуется длительная генетико-селекционная работа, обычно с применением мутагенов для повышения его активности. Полученный производственный штамм хранится в состоянии анабиоза (например, при низкой температуре в лиофилизированном состоянии). Такая культура может быть возвращена в активное состояние путем посева на соответствующую питательную среду и использована для приготовления посевного материала.
Приготовление посевного материала. Культуру с поверхности скошенного агара асептично переносят в колбу с посевной средой. При работе с грибами и актиномицетами используют споровый посевной материал (500-5000 спор на 1 л среды). Колбы инкубируют в термостате на качалке. Материал из колб переносят в инокулятор объемом 0,5-1 м 3 (0,1% посевного материала от объема среды) и выращивают 1-4 суток. Далее посевной материал асептично переносят в посевной ферментатор объемом 5-20 м 3 (1012% инокулята от объема питательной среды, время культивирования от 1 суток.). Постоянно отбирают пробы для микробиологического и биохимического анализов. Посевной материал для главной ферментации готовят в количестве 5-10% от объема питательной среды. Ступенчатая подготовка посевного материала позволяет получить его в количестве, необходимом для обеспечения быстрого и продуктивного роста в биореакторе, и поддерживает культуру в фазе логарифмического роста.
Питательная среда конструируется, таким образом, чтобы обеспечить быстрый рост микроорганизма в начальной стадии и максимальный выход продукта в конце ферментации. Среду стерилизуют паром под давлением при 120-140°С непосредственно в ферментаторе или в специальной установке непрерывной стерилизации.
Ферментация. Схема промышленного периодического процесса показана на рис. 61. Ферментер и систему трубопроводов перед заполнением средой моют, проверяют на герметичность и стерилизуют острым паром. Для обеспечения стерильности часто применяют предварительную обработку ферментера химическими дезинфицирующими веществами.
Количество стерильной охлажденной питательной среды в ферментере не должно превышать 70% от его объема. Через линию посевного материала с помощью стерильного воздуха в ферментатор вводят посевной материал. Температура и рН питательной среды до подачи посевного материала должны быть доведены до оптимальных значений для данной культуры.
Ферментацию проводят при аэрации (аэробный процесс) путем подачи стерильного воздуха или без подачи воздуха (анаэробный процесс) и перемешивании, которое способствует растворению кислорода в жидкой среде и полному контакту клеток с питательными веществами. Для предотвращения попадания нестерильного атмосферного воздуха в аппарат давление воздуха над поверхностью жидкости повышают до 20-30 кПа (0,2-0,3 кгс/см 3 ). При необходимости вводят химические пеногасители.
Во время ферментации автоматически регулируются температура и рН среды, по специальной программе вводятся добавочные компоненты питательной среды. Систематически берут контрольные пробы жидкости из ферментатора, в которых определяют необходимые физико-химические показатели, активность и отсутствие посторонних микроорганизмов.
Ферментацию прекращают, когда в среде накапливается максимальное количество полезного продукта. По окончании ферментации культуральную жидкость охлаждают до 10-25°С и перекачивают в резервуары, из которых она подается на дальнейшую обработку.
Способы выделения и очистки антибиотиков индивидуальны и определяются его физико-химическими характеристиками. Например, пенициллин выделяют из культуральной жидкости экстракционным методом (бутилацетатная экстракция), стрептомицин и тетрациклин — методом ионообменной хроматографии.
Биологическая библиотека - материалы для студентов, учителей, учеников и их родителей.
Наш сайт не претендует на авторство размещенных материалов. Мы только конвертируем в удобный формат материалы, которые находятся в открытом доступе и присланные нашими посетителями.
Если вы являетесь обладателем авторского права на любой размещенный у нас материал и намерены удалить его или получить ссылки на место коммерческого размещения материалов, обратитесь для согласования к администратору сайта.
Разрешается копировать материалы с обязательной гипертекстовой ссылкой на сайт, будьте благодарными мы затратили много усилий чтобы привести информацию в удобный вид.
ГЛАВА 11. ИСПОЛЬЗОВАНИЕ МИКРООРГАНИЗМОВ В ПРОИЗВОДСТВЕ МЕДИЦИНСКИХ ПРЕПАРАТОВ И В ЛАБОРАТОРНЫХ ИССЛЕДОВАНИЯХ
Микроорганизмы и продукты их жизнедеятельности широко используются для диагностики, лечения и предупреждения заболеваний. Помимо вакцин, иммунных сывороток и антибиотиков многие другие препараты давно вошли в медицинскую практику. Производятся и разрабатываются новые биологически активные вещества с использованием рекомбинантных штаммов микроорганизмов, полученных методами гентической инженерии (гл. 8, 9). Микроорганизмы используют в аналитических целях при определении мутагенной активности химических веществ, витаминов, аминокислот и т. п. Они служат моделью для испытания влияния на метаболизм некоторых фармацевтических продуктов.
11.1 Медицинские препараты, производимые микроорганизмами
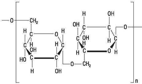
Декстраны вырабатываются молочнокислыми бактериями рода Leuconostoc (L. dextranicum и L. mesenteroides) при росте на сахарозе в качестве источника углерода. Это полимеры, содержащие остатки глюкозы, соединенные α-1,6-связями с вариабельной молекулярной массой от 15000 до 20000000 Да (рис. 64).
Рис. 64. Структура декстрана.

В медицинских целях может быть использован декстран с определенной молекулярной массой. Его получают путем кислотного гидролиза высокополимеризованного декстрана или используя низкомолекулярные декстраны — предшественники, которые добавляют в культуральную среду. Они служат центрами полимеризации, позволяя получить декстран с низкой молекулярной массой.
Декстраны выпускают в промышленных масштабах и используют как заменители плазмы. Они могут вводиться внутривенно, а также применяться местно при лечении язв и ожогов. В последнем случае они образуют гидрофильную пленку, которая абсорбирует эксудаты. Комплекс железа гидроксида с декстраном с молекулярной массой 5000-7000 Да используют внутривенно при лечении железодефицитной анемии в случаях, когда оральная терапия неэффективна или не может быть применена. Натриевая соль сернокислых эфиров декстрана (натрия декстрансульфат) обладает свойствами антикоагулянта подобно гепарину и применяется внутривенно [11, 13].
Декстраны как плазмозаменители должны иметь молекулярную массу от 40.000 до 300.000 Да. Полимеры с меньшей молекулярной массой быстро выводятся из организма, с большей — потенциально опасны, поскольку могут накапливаться в организме. На практике выпускают инфузионные растворы со средней молекулярной массой 40000, 70000 и 110000 Да.
Растворы содержат 6-10% декстрана, 0,9% натрия хлорида и 5% глюкозы в воде. Их стерилизуют автоклавированием и испытывают на пирогенность, токсичность и стерильность.
Из декстранов готовят сефадексы, которые широко используют в хроматографической практике.
11.2 Витамины, аминокислоты и органические кислоты
Данные соединения, продуцируемые микроорганизмами и применяющиеся в производстве фармацевтических препаратов, представлены в таблице 22. Они получаются методами биотехнологии, развитие которой позволяет постоянно расширять этот ассортимент и делать его более доступным для практики.
Таблица 22. Некоторые БАВ, продуцируемые микроорганизмами
Eremothecium ashbyii Aschbya gossypii
Bacillus subtilis (мутантный штамм)
Propionibacterium freudenreichii P shermanii Brevibacterium flavum Pseudomonas denitrificans
Streptomyces olivaceus Micromonospora spp.
Аскорбиновая кислота (С)
Acetobacter xylinum A. suboxydans (превращение D- сорбита в L-сорбозу)
Blakeslea trispora Choanephora cucurbitarum
Глутаминовая кислота Глутамин, пролин L-аланин, L-валин
Corynebacterium spp. Brevibacterium spp.
Arthrobacter spp. Brevibacterium spp. Corynebacterium spp.
мутанты C. glutamicum
B. flavum, Bacillus subtilis
рекомбинантные штаммы Escherichia coli
Ауксотрофные мутанты C. glutamicum, Bacillus subtilis
Органические кислоты Молочная
Lactobacillus delbrueckii L. bulgaricum, L. brevis Rhizopus oryzae
Gluconobacter suboxydans Aspergillus niger
Propionibacterium shermanii P freudenreichii
11.3 Железохелирующие агенты
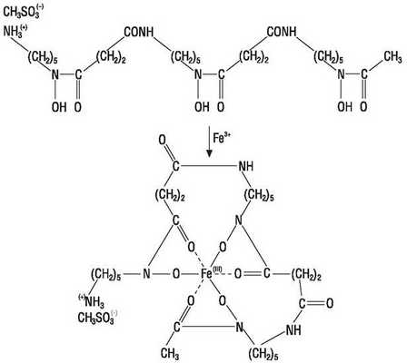
При росте на среде с дефицитом железа многие микроорганизмы продуцируют вещества, способные связывать железо, обычно это феноляты или гидроксаматы, которые называют сидерофорами. Активный продуцент сидерофора десферроксамина (рис. 65) — Streptomyces pilosus.
Рис. 65. Структура десферроксамина и его хелатного комплекса.

Десферроксамин (десферол) — активный антидот, который применяется при остром отравлении железом. Последнее может возникать, например, у детей при использовании железа сульфата для лечения неосложненного дефицита этого элемента. Десферол имеет высокое сродство к железу (константа связывания порядка 10 30 ), его комплекс с металлом водорастворим и хорошо выводится из организма. При гемолитической анемии, например, талассемии десферол используют совместно с переливанием крови, чтобы поддержать нормальный уровень железа и гемоглобина в крови. Десферол выпускают в форме стерильного порошка, вводят путем инъекций или орально при остром отравлении железом, чтобы удалить его из кишечника.
Сидерофоры перспективны при лечении злокачественных и вирусных заболеваний. Рaracoccus denitrificans продуцирует сидерофоры, угнетающие рост опухолевых клеток и репликацию РНК вирусов. Это действие связано с тем, что в среде создается дефицит железа, необходимого для этих процессов.
11.4 Ферменты
Микроорганизмы продуцируют ферменты, которые используются как терапевтические вещества или в диагностических целях. Последние будут рассмотрены ниже.
Стрептокиназа, продуцируемая стрептококками, способна трансформировать плазминоген в плазмин - протеазу, вызывающую растворение сгустков крови. Ее применяют при лечении глубоких венозных острых артериальных тромбозов и острой легочной эмболии. Возможно применение этого фермента при инфаркте миокарда.
Стрептодорназа, также вырабатываемая стрептококками, способствует разжижению гноя. Это дезоксирибонуклеаза, гидролизующая дезоксирибонуклеопротеин и ДНК, обусловливающие вязкость гноя. Совместное применение стрептокиназы и стрептодорназы эффективно при заболеваниях грудной полости, сопровождающихся образованием сгустков крови и гноя, и при лечении гнойных ран.
Оба фермента получают при культивировании непатогенных штаммов стрептококков на среде с избытком глюкозы. Ферменты выделяют из культуральной жидкости и выпускают в инъекционной форме.
L-аспарагиназу продуцируют E. coli и Erwinia carotovora. Фермент используют при химиотерапии некоторых форм лейкемии. L-аспарагиназа отщепляет одну аминогруппу от аспарагина, превращая его в аспарагиновую кислоту. Избирательность действия фермента определяется потребностью некоторых форм опухолевых клеток в аспарагине, тогда как нормальные клетки в аспарагине не нуждаются.
Нейраминидазу получают при культивировании Vibrio cholera. Фермент отщепляет остатки N-ацетилнейраминовой кислоты, входящей в мембрану некоторых опухолевых клеток, повышая таким образом их антигенную активность. Может быть использован при лечении некоторых форм лейкемии.
β-лактамазы, инактивирующие пенициллины и цефалоспорины, используются при определении стерильности этих антибиотиков (см. ниже) или при микробиологическом анализе клинического материала от больных, получающих эти антибиотики. В терапевтических целях их используют в случае тяжелой аллергической реакции на β-лактамные антибиотики. Фермент вводят внутримышечно или внутривенно совместно с другими препаратами (адреналин, антигистаминные средства).
11.5 Микробная трансформация лекарственных веществ.
11.5.1 Микробная трансформация
Ферментные системы микроорганизмов позволяют осуществлять химические превращения биологически активных веществ с целью получения лекарственных препаратов. Подобные реакции в условиях химического синтеза проходят обычно в жестких условиях температуры и рН и являются многостадийными. Микробная трансформация осуществляется в физиологических условиях, что позволяет сохранить активность продукта, и обычно проходит в одну стадию.
Впервые преимущества микробной трансформации были обнаружены при получении стероидных препаратов. Одной из необходимых стадий этого процесса является гидроксилирование молекулы предшественника в определенном положении. Этой способностью обладают многие микроорганизмы. На рис. 66 показан пример биологической трансформации с участием Rhizopus nigricans. Иммобилизованные клетки используют для биотрансформации стероидов, антибиотиков, для получения антивирусного препарата аденинарабинозида. Процесс включает трансгликолизирования.
Рис. 66. Трансформация прогестерона ферментной системой Rhizopus nigricans

Найдены штаммы микроорганизмов, способные превращать гидрокортизон и кортизон соответственно в преднизолон и преднизон путем дегидрогенирования и т. д.
В процессах биотрансформации могут быть использованы иммобилизованные в полимерном гелевом матриксе клетки, а также мембранные системы, которые позволяют вести процесс непрерывно и упрощают очистку продукта. Иммобилизованные клетки используют для биотрансформации стероидов, антибиотиков, для получения антивирусного препарата аденинарабинозида. Процесс получения последнего вещества включает реакцию трансгликозилирования (урациларабинозид + аденин ^ аденинарабинозид), которую осуществляют клетки Enterobacter aerogenes, иммобилизованные в полиуретане.
В производстве антибиотиков необходимой стадией получения некоторых пенициллинов является гидролиз бензилпенициллина до 6-аминопеницил- лановой кислоты с помощью микробной пеницил- линацилазы. При этом хорошие результаты дает использование рекомбинантных штаммов с высокой ферментативной активностью. Иммобилизация клеток увеличивает их стабильность и повышает выход продукта.
Энтомопатогенные бактерии, вирусы и грибы могут быть использованы для борьбы с вредными насекомыми. Методы биологической защиты от насекомых экологически более безопасны, чем методы химической защиты. Однако, к микроорганизмам, предлагаемым для этой цели предъявляются строгие требования их безопасности для млекопитающих и растений.
Наиболее изучены токсины Bacillus thuringiensis. Токсин δ — это протеин, который содержится в спорах в форме кристаллических включений, активен против личинок Lepidopterae(молей, бабочек). Активация токсина происходит при его ограниченном гидролизе в кишечнике личинок, после чего стенки кишечника разрушаются, что сопровождается гибелью насекомых. Инсектицидный препарат выпускают в форме порошка, содержащего споры и кристаллы токсина. Он не токсичен для человека и животных и применяется для защиты урожая от гусениц. Найден новый штамм B. thuringiensis, 5-токсин которого имеет более широкий спектр действия и активен против Coleoptera (жуков) в большей степени, чем Lepidoptera и Díptera (мух и комаров).
Второй токсин B. thuringiensis — β-токсин действует на все перечисленные семейства насекомых, это адениннуклеотид, возможно, аналог АТФ, который конкурентно ингибирует ферменты, участвующие в гидролизе АТФ. Он токсичен для млекопитающих, поэтому в производстве инсектицида используют штамм B. thuringiensis, который продуцирует только 5-токсин.
11.6 Использование микроорганизмов и их продуктов в лабораторных исследованиях
11.6.1 Определение витаминов и аминокислот
В качестве тест-культур используют ауксотрофные штаммы микроорганизмов, т. е. такие, для которых определяемое вещество является необходимым фактором роста. Питательная среда должна содержать все необходимые для тест-организма вещества, помимо определяемого. Последнее вносят в лунки агаризованной среды в чашках Петри. В определенных границах диаметр зоны роста культуры вокруг лунки будет пропроционален концентрации фактора роста, которую определяют с помощью стандартной кривой. Этот метод в основном используют при анализе витаминов т. к. аминокислоты обычно определяют химическими методами.
Это врожденное нарушение метаболизма, при котором организм не способен к конверсии избытка фенилаланина (ФА) в тирозин, необходимый для биосинтеза тироксина, адреналина и норадреналина. Диагностическим признаком заболевания является присутствие фенилпировиноградной кислоты (ФПВК) в моче и повышенный уровень ФА и ФПВК в крови. Больному назначают диету с низким содержанием ФА. Без принятия необходимых мер развивается слабоумие. Для диагностики фенилкетонурии предложено использовать Bacillussubtilis, рост которой на минимальной среде подавляется β-2-тиенилаланином (thyenil), но восстанавливается в присутствии ФА или ФПВК. Исследуемые образцы крови или мочи наносят на диски фильтровальной бумаги, которые помещают на засеянную среду в чашках Петри. При положительном результате отмечают зоны роста микроорганизма вокруг дисков. Диаметр зон пропорционален содержанию исследуемых веществ, количество которых определяют по стандартной кривой.
11.6.3 Определение канцерогенов и мутагенов
Все химиотерапевтические препараты должны проходить проверку на мутагенную, потенциально канцерогенную активность. Для этой цели предложен быстрый метод с использованием мутантных штаммов Salmonella typhimurium. Эти штаммы имеют мутации в гистидиновом опероне и не могут синтезировать гистидин. Две дополнительные мутации увеличивают чувствительность тест-системы. Первая определяет нарушение структуры липополисахарида клеточной стенки, в результате которого повышается ее проницаемость для больших гидрофобных молекул. Вторая мутация нарушает систему репарации ДНК, в результате чего невозможно восстановление структуры ДНК после воздействия мутагена.
11.6.4 Использование микробных ферментов при определении стерильности
При испытании эффективности стерилизации в составе тест-систем используют спорообразующие микроорганизмы. При определении стерильности препаратов антибиотиков применяют микробные ферменты, инактивирующие эти вещества. Мембранная фильтрация, которую также используют для этой цели, имеет такие недостатки, как возможность случайного микробного загрязнения фильтров и адсорбция антибиотика на фильтре с последующим попаданием его в питательную среду. Применение инактивирующих ферментов является более надежным методом. Для инактивации пенициллинов и цефалоспоринов предложено использовать соответствующие β-лактамазы. Хлорамфеникол возможно инактивировать ацетил- трансферазой. Аминогликозиды — путем ферментного фосфорилирования, ацетилирования или аденилирования. Фармакопея рекомендует использовать только β-лактамазы, остальные методы пока не нашли широкого применения.
11.6.5 Применение иммобилизованных ферментов
Применение иммобилизованных ферментов представляется перспективным для создания тест-систем для клинического анализа. Например, глюкозооксидазу, применяемую при определении глюкозы в крови, получают при культивировании Aspergillus niger. Предложен способ иммобилизации этого фермента на платиновом электроде, который может измерять потребление кислорода при окислении глюкозы. Однако, эта система имеет ряд недостатков, которые предстоит устранить до внедрения ее в практику.
11.6.6 Использование микроорганизмов как модельных систем при исследовании метаболизма лекарственных веществ
Лекарственные вещества проходят тщательные испытания их эффективности и токсичности, в том числе исследуют пути их метаболизма в организме млекопитающих: возможные химические превращения, распределение в органах и тканях, скорость выведения из организма и т. д. Эти испытания проводят на животных, в меньшей степени используют микросомальные системы, культуры тканей, перфузированные органы. Предложено использовать микробные клетки как модель метаболизма in vitro, поскольку имеется сходство между некоторыми ферментными системами микроорганизмов и печени человека. Большое преимущество таких моделей — их относительно низкая стоимость и возможность получать метаболиты в количествах, достаточных для анализа. Для создания модельных систем проводят скрининг большого количества микроорганизмов на их способность метаболизировать данное вещество. Выбранный штамм выращивают в колбах на качалках, куда вносят исследуемое вещество и через определенные промежутки времени отбирают пробы, определяя в них присутствие метаболитов лекарственного вещества. При необходимости процесс масштабируют с целью получения большого количества метаболитов для изучения их структуры и биологической активности.
Читайте также:
- Псевдоишемические проявления нейроциркуляторной дистонии. ЛФК при ВСД по кардиальному типу
- Профилактика малярии. Основные этапы профилактики малярии
- Рентгенограмма, КТ при грыже пищеводного отверстия диафрагмы (ГПОД)
- Случай перфорации роговицы у онкологического пациента после химиотерапии
- Лекарственные препараты спортсменов. Тренированность тела
