Глутамат в нервной ткани
Энергетическая. Глутаминовая кислота связана большим числом реакций с промежуточными метаболитами цикла трикарбоновых кислот.
Глутамат (вместе с аспартатом) принимает участие в реакциях дезаминирования других аминокислот и временном обезвреживании аммиака.
Из глутамата образуется нейромедиатор ГАМК.
Глутамат принимает участие в синтезе глутатиона - одного из компонентов антиоксидантной системы организма.
Глутаминовая кислота по праву занимает центральное место в обмене аминокислот мозга. Она используется для образования глутатиона, глутамина и гамма-аминомасляной кислоты. Образуется глутамат из своего кетоаналога -a -кетоглутаровой кислоты в ходе реакции трансаминирования. Реакция превращения a-КГ в глутамат протекает в ткани мозга с большой скоростью. Образующийся при этом глутамат являетя для цикла трикарбоновых кислот побочным продуктом. Большое расходование a-КГ восполняется за счет превращения аспарагиновой кислоты в метаболит цикла трикарбоновых кислот - щавелевоуксусную кислоту.
Образующаяся из глутамата ГАМК в результате нескольких реакций может быть превращена снова в щавелевоуксусную кислоту. Так образуется ГАМК-шунт, имеющийся в тканях головного и спинного мозга. Поэтому в этих тканях содержание ГАМК, как промежуточного метаболита циклического процесса, значительно выше, чем в остальных. На образование ГАМК здесь используется до 20 % от общего количества глутамата.
Остальные пути метаболизма аминокислот сходны с имеющимися в других тканях.
До сих пор непонятным остается наличие в мозге почти полного набора ферментов орнитинового цикла, не содержащего карбамоилфосфатсинтазы, из-за чего мочевина здесь не образуется.
Ткань мозга способна синтезировать заменимые аминокислоты, как и другие ткани.
Нейромедиаторы - это вещества, которые характеризуются следующими признаками.
Накапливаются в пресинаптической структуре в достаточной концентрации.
Освобождаются при передаче импульса.
Вызывают после связывания с постсинаптической мембраной изменение скорости метаболических процессов и возникновение электрического импульса.
Имеют систему для инактивации или транпортную систему для удаления из синапса, обладающие к ним высоким сродством.
Таким образом, нейромедиаторы играют важную роль в функционировании нервной ткани, обеспечивая синаптическую передачу нервного импульса. Их синтез происходит в теле нейронов, а накопление - в особых везикулах, которые постепенно перемещаются с участием систем нейрофиламентов и нейротрубочек к кончикам аксонов.
Химическая классификация нейромедиаторов. Аминокислоты (и их производные)
К ним относят таурин, норадреналин, ДОФАминГАМК, глицин, ацетилхолин, гомоцистеин и некоторые другие (адреналин, серотонин, гистамин, серотонин).
Таурин образуется из аминокислоты цистеина. Сначала происходит окисление серы в SH-группе до остатка серной кислоты (процесс идет в несколько стадий), а затем происходит декарбоксилирование. Таурин - это необычная кислота, в которой нет карбоксильной группы, а имеется остаток серной кислоты.
Таурин принимает участие в проведении нервного импульса в процессе зрительного восприятия.
Для синтеза холина требуются аминокислоты серин, метионин. Этаноламин может быть использован и в готовом виде. Но, как правило, из крови в нервную ткань пступает уже готовый холин. Второй же предшественник этого нейромедиатора - Ацетил-КоА, синтезируется в нервных окончаниях.
Продукт этой реакции ацетилхолин участвует в синаптической передаче нервного импульса. Он накапливается в синаптических пузырьках, образуя комплексы с отрицательно заряженным белком везикулином. Передача возбуждения с одной клетки на другую осуществляется с помощью специального синаптического механизма.
Синапс - это функциональный контакт специализированных участков плазматических мембран двух возбудимых клеток. Синапс состоит из пресинаптической мембраны, синаптической щели и постинаптической мембраны. Мембраны клеток в месте контакта имеют утолщения в виде бляшек - нервных окончаний. Нервный импульс, достигший нервного окончания, не в состоянии преодолеть возникшее перед ним препятствие - синаптическую щель. После этого электрический сигнал преобразуется в химический. Пресинаптическая мембрана содержит специальные канальные белки, подобные белкам, формирующим натриевый канал в мембране аксона. Они тоже реагируют на мембранный потенциал, изменяя свою конформацию и формируют канал. В результате ионы Са2+ проходят через пресинаптическую мембрану по градиенту концентраций в нервное окончание. Градиент концентраций Са2+ создается работой Са2+-зависимой.
АТФазы - кальциевым насосом. Повышение концентрации Са2+ внутри нервного окончания вызывает слияние 200-300 имеющихся там везикул, заполненных ацетилхолином, с плазматической мембраной. Далее ацетилхолин секретируется в синаптическую щель путем экзоцитоза, и присоединяется к рецепторным белкам, расположенным на поверхности постсинаптической мембраны.
Ацетилхолиновый рецептор представляет собой трансмембранный олигомерный гликопротеиновый комплекс, состоящий из 6 субъединиц: 2-, 2-бета, 1-гамма и 1-дельта. Плотность расположения белков-рецепторов в постсинаптической мембране очень велика - около 20000 молекул на 1 мкм2. Пространственная структура рецептора строго сооответствует конформации медиатора.
При взаимодействии с ацетилхолином белок-рецептор так изменяет свою конформацию, что внутри него формируется натриевый канал. Катионная селективость канала обеспечивается тем, что ворота канала сформированы отрицательно заряженными аминокислотами. Таким образом повышается проницаемость постсинаптической мембраны для натрия и возникает новый импульс (или сокращение мышечного волокна). Деполяризация постсинаптической мембраны выеывает диссоциацию комплекса "ацетилхолин-белок-рецептор" и ацетилхолин освобождается в синаптическую щель. Как только ацетилхолин оказывается в синаптической щели, он за 40 мкс подвергается быстрому гидролизу под действием фермента ацетилхолинэстеразы.
Во время гидролиза ацетилхолина образуется промежуточный фермент-субстратный комплекс, в котором ацетилхолин связан с активным центром фермента через серин.
Необратимое ингибирование холинэстеразы вызывает смерть. Ингибиторами холинэстеразы являются фосфорорганические соединения (хлорофос, дихлофос, табун, зарин, зоман, бинарные яды). Эти вещества связываются ковалентно с серином в активном центре фермента. Некоторые из них синтезированы в качестве инсектицидов, а некоторые - в качестве боевых отравляющих веществ (нервно-паралитические яды). Смерть наступает в результате остановки дыхания.
Обратимые ингибиторы холинэстеразы используются как лечебные препараты. Например, при лечении глаукомы и атонии кишечника.
Катехоламины: норадреналин и дофамин. Адренэргические синапсы встречаются в постганглионарных волокнах, в волокнах симпатической нервной системы, в различных отделах головного мозга. Катехоламины в нервной ткани синтезируются по общему механизму из тирозина. Ключевой фермент синтеза - тирозингидроксилаза, ингибируемая конечными продуктами.
Норадреналин - медиатор в постганглионарных волокнах симпатической и в различных отделах ЦНС.
Дофамин- медиатор проводящих путей, тела нейронов которого расположены в отделе мозга, который отвечает за контроль произвольных движений. Поэтому при нарушении дофаминэргической передачи возникает заболевание паркинсонизм.
Катехоламины, как и ацетилхолин, накапливаются в синаптических пузырьках и тоже выделяется в синаптическую щель при поступлении нервного импульса. Но регуляция в адренэргическом рецепторе происходит иначе. В пресинаптической мембране здесь имеется специальный регуляторный белок - -ахромогранин (Мм = 77 кДа), который в ответ на повышение концентрации медиатора в синаптической щели связывает уже выделившийся медиатор и прекращает его дальнейший экзоцитоз. Фермента, разрушающего медиатор, в адренэргических синапсах нет. После передачи импульса молекулы медиатора перекачивается специальной транспортной системой путем активного транспорта с участием АТФ обратно через пресинаптическую мембрану и включается вновь в везикулы. В пресинаптическом нервном окончании излишек медиатора может быть инактивирован моноаминоксидазой, а также катехоламин-О-метилтрансферазой путем метилирования по оксигруппе. Кокаин тормозит активный транспорт катехоламинов.
Передача сигнала в адренэргических синапсах протекает по механизму, известному Вам из лекций по теме "Биохимия гормонов" с участием аденилатциклазной системы. Связывание медиатора с постсинаптическим рецептором почти мгновенно вызывает повышение концентрации ц-АМФ, что приводит к быстрому фосфорилированию белков постсинаптической мембраны. В результате изменяется генерация нервных импульсов постсинаптической мембраной (тормозится). В некторых случаях непосредственной причиной этого является повышение проницаемости постсинаптической мембраны для калия, либо снижением проводимости для натрия (эти события приводят к гиперполяризации).
ГАМК - тормозной медиатор. Повышает проницаемость постсинаптических мембран для ионов калия. Это ведет к изменению мембранного потенциала.
Глицин - тормозной медиатор, по вызываемым эффектам подобен гамк.
Имеют в своем составе от трех до нескольких десятков аминокислотных остатков. Функциониуют только в высших отделах нервной системы. нервный ткань метаболизм пептид
Эти пептиды, как и катехоламины, выполняют функцию не только нейромедиаторов, но и гормонов. Передают информацию от клетки к клетке по системе циркуляции.
- Энергетическая: глутаминовая кислота связана большим числом реакций с промежуточными метаболитами цикла трикарбоновых кислот;
- участие (вместе с аспартатом) в реакциях дезаминирования других аминокислот и временном обезвреживании аммиака;
- образование из глутамата нейромедиатора ГАМК;
- участие в синтезе глутатиона — одного из компонентов антиоксидантной системы организма.
Глутамат с большой скоростью образуется из своего кетоаналога — -кетоглутаровой кислоты в ходе реакции трансаминирования и используется для образования глутатиона, глутамина и -аминомасляной кислоты.
Ткань мозга способна синтезировать заменимые аминокислоты.
Образование аммиака происходит в пуриновом цикле: путем гидролитического дезаминирования АМФ образуется ИМФ и аммиак. ИМФ, далее конденсируясь с аспарагиновой кислотой, образует аденилсукцинат, который, расщепляясь, образует вновь АМФ (и фумарат). Фумарат в ЦТК образует ОАА, который поддерживает уровень аспарагиновой кислоты, вступая в реакцию переаминирования с глутаминовой кислотой.
Биохимические основы возникновения и проведения нервного импульса
В норме в состоянии покоя мембрана аксона поляризована: внутри аксона ионов калия в 30 раз больше, чем ионов натрия. Концентрация анионов также различна. Катионы внутри клетки нейтрализуются в основном белками и фосфатами, которые не могут выходить наружу; внеклеточные катионы (в основном Na + ) уравновешиваются Cl – , проницаемость которого выше, чем белков. Это во-первых. Во-вторых проницаемость Na + составляет 1/20 проницаемости К + . В третьих, К + , Na + АТФ-аза выкачивает 3 Na + в обмен на 2 К + . При таких условиях внутренняя сторона клеточной мембраны заряжена электроотрицательно по отношению к наружной поверхности и электродвижущий трансмембранный потенциал Е=-70 мВ. При действии медиатора происходит активация аденилатциклазы мембран, под влиянием которой из АТФ образуется ц-АМФ, включающий каскадный механизм активации (фосфорилированием белков) натрий-калиевой АТФ-азы (ионного насоса). Таким образом, с участием АТФ происходит вначале открытие каналов для прохождения ионов натрия внутрь аксона, а затем открытие каналов для выхода ионов калия наружу. В этом состоянии разность потенциалов достигает +40мВ, положительный заряд внутри аксона. Это потенциал действия и, возникнув в одном участке, вследствие диффузии ионов вдоль волокна, снижает потенциал покоя и вызывает здесь тоже развитие потенциала действия. Возникает волна деполяризации — нервный импульс; затем происходит распространение волны деполяризации. Восстановление мембраны в поляризованном виде происходит также с участием ионных насосов с затратой АТФ. Следовательно, для функционирования нервной системы необходима выработка и затрата значительных количеств АТФ.
Понятие о синапсах. Нейромедиаторы. Пептиды
Синапс - функциональный контакт специализированных участков плазматических мембран двух возбудимых клеток. Состоит из пресинаптической мембраны, синаптической щели и постсинаптической мембраны. Мембраны клеток в месте контакта имеют утолщения в виде бляшек — нервных окончаний. Нервный импульс, достигший нервного окончания, не в состоянии преодолеть возникшее перед ним препятствие — синаптическую щель. Здесь электрический сигнал преобразуется в химический. Пресинаптическая мембрана содержит специальные канальные белки, которые реагируют на мембранный потенциал, изменяя свою конформацию, и формируют канал. В результате ионы Са 2+ проходят через пресинаптическую мембрану по градиенту концентраций в нервное окончание. Градиент концентраций Са 2+ создается работой Са 2 + -зависимой АТФазы — кальциевым насосом. Повышение концентрации Са 2+ внутри нервного окончания вызывает слияние 200-300 имеющихся там везикул, заполненных ацетилхолином, с плазматической мембраной. Далее ацетилхолин секретируется в синаптическую щель путем экзоцитоза и присоединяется к рецепторным белкам, расположенным на поверхности постсинаптической мембраны.
Нейромедиаторы - вещества, характеризующиеся следующими признаками:
- накапливаются в пресинаптической структуре в достаточной концентрации;
- освобождаются при передаче импульса;
-вызывают после связывания с постсинаптической мембраной изменение скорости метаболических процессов и возникновение электрического импульса;
-имеют систему для инактивации или транспортную систему для удаления из синапса, обладающие к ним высоким сродством.
Нейромедиаторы обеспечивают синаптическую передачу нервного импульса. Их синтез происходит в теле нейронов, а накопление — в особых везикулах, которые постепенно перемещаются с участием систем нейрофиламентов и нейротрубочек к кончикам аксонов.
К нейромедиаторам относят аминокислоты (и их производные): таурин, норадреналин, дофамин, ГАМК, глицин, ацетилхолин, гомоцистеин, адреналин, серотонин, гистамин.
Таурин. Образуется из аминокислоты цистеина. Сначала происходит окисление серы в SН-группе до остатка серной кислоты (процесс идет в несколько стадий), затем декарбоксилирование. Таурин не имеет карбоксильной группы, но содержит остаток серной кислоты. Участвует в проведении нервного импульса в процессе зрительного восприятия.
Ацетилхолин. Синтезируется из холина и Ацетил-КоА. Участвует в синаптической передаче нервного импульса. Накапливаясь в синаптических пузырьках, образует комплексы с отрицательно заряженным белком везикулином. Передача возбуждения с одной клетки на другую осуществляется с помощью специального синаптического механизма.
Катехоламины: норадреналин и дофамин. Синтезируются по общему механизму из тирозина. Ключевой фермент синтеза — тирозингидроксилаза, ингибируемая конечными продуктами. Норадреналин — медиатор в постганглионарных волокнах симпатической и в различных отделах ЦНС.
Биосинтез катехоламинов

Дофамин — медиатор проводящих путей, тела нейронов которого расположены в отделе мозга, отвечающем за контроль произвольных движений.
Катехоламины, как и ацетилхолин, накапливаются в синаптических пузырьках и выделяются в синаптическую щель при поступлении нервного импульса. В пресинаптической мембране имеется специальный регуляторный белок —-ахромогранин, который в ответ на повышение концентрации медиатора в синаптической щели связывает уже выделившийся медиатор и прекращает его дальнейший экзоцитоз. Фермента, разрушающего медиатор, в адренэргических синапсах нет. После передачи импульса молекулы медиатора перекачиваются специальной транспортной системой путем активного транспорта с участием АТФ обратно через пресинаптическую мембрану и включаются вновь в везикулы. В пресинаптическом нервном окончании излишек медиатора может быть инактивирован моноаминоксидазой или катехоламин-О-метилтрансферазой путем метилирования по оксигруппе. Передача сигнала в адренэргических синапсах происходит с участием аденилатциклазной системы. Связывание медиатора с постсинаптическим рецептором почти мгновенно вызывает повышение концентрации ц-АМФ, что приводит к быстрому фосфорилированию белков постсинаптической мембраны. В результате тормозится генерация нервных импульсов постсинаптической мембраной. МАО (моноаминоксидазы).
ГАМК — тормозной медиатор. Повышает проницаемость постсинаптических мембран для ионов калия, вызывая изменение мембранного потенциала.
Глицин — тормозной медиатор, по вызываемым эффектам подобен ГАМК.


Нейромедиаторы и нейрогормоны

Пептиды выполняют функцию как нейромедиаторов, так и гормонов. Имеют в своем составе от 3 до нескольких десятков аминокислотных остатков. Функционируют только в высших отделах нервной системы.
- Энергетическая: глутаминовая кислота связана большим числом реакций с промежуточными метаболитами цикла трикарбоновых кислот;
- участие (вместе с аспартатом) в реакциях дезаминирования других аминокислот и временном обезвреживании аммиака;
- образование из глутамата нейромедиатора ГАМК;
- участие в синтезе глутатиона — одного из компонентов антиоксидантной системы организма.
Глутамат с большой скоростью образуется из своего кетоаналога — -кетоглутаровой кислоты в ходе реакции трансаминирования и используется для образования глутатиона, глутамина и -аминомасляной кислоты.
Ткань мозга способна синтезировать заменимые аминокислоты.
Образование аммиака происходит в пуриновом цикле: путем гидролитического дезаминирования АМФ образуется ИМФ и аммиак. ИМФ, далее конденсируясь с аспарагиновой кислотой, образует аденилсукцинат, который, расщепляясь, образует вновь АМФ (и фумарат). Фумарат в ЦТК образует ОАА, который поддерживает уровень аспарагиновой кислоты, вступая в реакцию переаминирования с глутаминовой кислотой.
Биохимические основы возникновения и проведения нервного импульса
В норме в состоянии покоя мембрана аксона поляризована: внутри аксона ионов калия в 30 раз больше, чем ионов натрия. Концентрация анионов также различна. Катионы внутри клетки нейтрализуются в основном белками и фосфатами, которые не могут выходить наружу; внеклеточные катионы (в основном Na + ) уравновешиваются Cl – , проницаемость которого выше, чем белков. Это во-первых. Во-вторых проницаемость Na + составляет 1/20 проницаемости К + . В третьих, К + , Na + АТФ-аза выкачивает 3 Na + в обмен на 2 К + . При таких условиях внутренняя сторона клеточной мембраны заряжена электроотрицательно по отношению к наружной поверхности и электродвижущий трансмембранный потенциал Е=-70 мВ. При действии медиатора происходит активация аденилатциклазы мембран, под влиянием которой из АТФ образуется ц-АМФ, включающий каскадный механизм активации (фосфорилированием белков) натрий-калиевой АТФ-азы (ионного насоса). Таким образом, с участием АТФ происходит вначале открытие каналов для прохождения ионов натрия внутрь аксона, а затем открытие каналов для выхода ионов калия наружу. В этом состоянии разность потенциалов достигает +40мВ, положительный заряд внутри аксона. Это потенциал действия и, возникнув в одном участке, вследствие диффузии ионов вдоль волокна, снижает потенциал покоя и вызывает здесь тоже развитие потенциала действия. Возникает волна деполяризации — нервный импульс; затем происходит распространение волны деполяризации. Восстановление мембраны в поляризованном виде происходит также с участием ионных насосов с затратой АТФ. Следовательно, для функционирования нервной системы необходима выработка и затрата значительных количеств АТФ.
Понятие о синапсах. Нейромедиаторы. Пептиды
Синапс - функциональный контакт специализированных участков плазматических мембран двух возбудимых клеток. Состоит из пресинаптической мембраны, синаптической щели и постсинаптической мембраны. Мембраны клеток в месте контакта имеют утолщения в виде бляшек — нервных окончаний. Нервный импульс, достигший нервного окончания, не в состоянии преодолеть возникшее перед ним препятствие — синаптическую щель. Здесь электрический сигнал преобразуется в химический. Пресинаптическая мембрана содержит специальные канальные белки, которые реагируют на мембранный потенциал, изменяя свою конформацию, и формируют канал. В результате ионы Са 2+ проходят через пресинаптическую мембрану по градиенту концентраций в нервное окончание. Градиент концентраций Са 2+ создается работой Са 2 + -зависимой АТФазы — кальциевым насосом. Повышение концентрации Са 2+ внутри нервного окончания вызывает слияние 200-300 имеющихся там везикул, заполненных ацетилхолином, с плазматической мембраной. Далее ацетилхолин секретируется в синаптическую щель путем экзоцитоза и присоединяется к рецепторным белкам, расположенным на поверхности постсинаптической мембраны.
Нейромедиаторы - вещества, характеризующиеся следующими признаками:
- накапливаются в пресинаптической структуре в достаточной концентрации;
- освобождаются при передаче импульса;
-вызывают после связывания с постсинаптической мембраной изменение скорости метаболических процессов и возникновение электрического импульса;
-имеют систему для инактивации или транспортную систему для удаления из синапса, обладающие к ним высоким сродством.
Нейромедиаторы обеспечивают синаптическую передачу нервного импульса. Их синтез происходит в теле нейронов, а накопление — в особых везикулах, которые постепенно перемещаются с участием систем нейрофиламентов и нейротрубочек к кончикам аксонов.
К нейромедиаторам относят аминокислоты (и их производные): таурин, норадреналин, дофамин, ГАМК, глицин, ацетилхолин, гомоцистеин, адреналин, серотонин, гистамин.
Таурин. Образуется из аминокислоты цистеина. Сначала происходит окисление серы в SН-группе до остатка серной кислоты (процесс идет в несколько стадий), затем декарбоксилирование. Таурин не имеет карбоксильной группы, но содержит остаток серной кислоты. Участвует в проведении нервного импульса в процессе зрительного восприятия.
Ацетилхолин. Синтезируется из холина и Ацетил-КоА. Участвует в синаптической передаче нервного импульса. Накапливаясь в синаптических пузырьках, образует комплексы с отрицательно заряженным белком везикулином. Передача возбуждения с одной клетки на другую осуществляется с помощью специального синаптического механизма.
Катехоламины: норадреналин и дофамин. Синтезируются по общему механизму из тирозина. Ключевой фермент синтеза — тирозингидроксилаза, ингибируемая конечными продуктами. Норадреналин — медиатор в постганглионарных волокнах симпатической и в различных отделах ЦНС.

Мнимая аллергия
Общественное мнение, подогреваемое телевидением и прессой, давно записало Е621 в аллергены. Однако, чтобы вещество было аллергеном, оно как минимум должно быть чужеродным организму. Это теоретически возможно, если речь идет о белках арахиса, рыбе или лекарствах. Но у нас никогда не бывает аллергии на воду, поваренную соль или глюкозу. Не может быть и аллергии на глутамат. Как может стать чужеродной аминокислота, составляющая большую часть наших собственных белков? Как может быть чужеродным нейротрансмиттер, который обусловливает прохождение сигнала по нервной системе?
Исследования способности глутамата провоцировать аллергию или приступы астмы проводились неоднократно. Ни разу правильно поставленный эксперимент не обнаружил у глутамата таких способностей. Если людям, которые считали себя чувствительными к глутамату, давали под видом этой добавки плацебо, развивалась картина аллергической реакции. Если же им давали настоящую добавку, но не говорили об этом, реакции не наблюдалось. Ничем, кроме самовнушения, чувствительность к глутамату объяснить не удается.
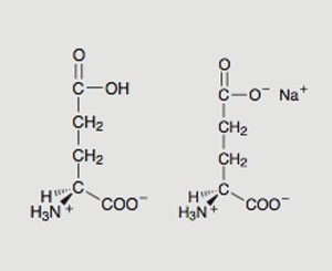
Кислота или соль
Глутаминовая кислота присутствует в пище либо в свободном виде, либо в связанном (в составе молекул белка).

Богатые от природы: содержание глутамата в продуктах

Синдром китайского ресторана
Началом борьбы с глутаматом стала публикация в 1968 году американцем китайского происхождения Квоком небольшого, всего в три абзаца, письма в The New England Journal of Medicine. Многие ссылающиеся на этот документ ни разу его не читали. Зря, потому что ничего особенного он не содержит.
В письме Квок описывает свои ощущения, которые иногда появлялись у него после посещения китайского ресторана: онемение шеи, учащенное сердцебиение, которые начинаются спустя 15 — 20 минут после еды и проходят в течение двух часов без всяких последствий. Квок указывал, что этот эффект настигает его только в некоторых ресторанах (дело происходило в США) и под подозрением у него несколько компонентов: соевый соус, соль, вино, глутамат натрия. С соевого соуса (в составе которого очень много глутамата) подозрения в этом же письме снимаются.
После публикации посыпались жалобы от граждан, в красках описывающих последствия употребления глутамата натрия. Это вынудило правительство США дать старт широкомасштабному исследованию подозрительной пищевой добавки. Оно выдало очевидный и ожидаемый результат: глутаминовая кислота и ее соли не проявляют никаких вредных воздействий на организм.
На сегодняшний день причины синдрома китайского ресторана точно не установлены, так как симптомы проявляются у весьма ограниченного количества людей и носят случайный характер. Ни разу этот синдром не причинял вреда больше, чем онемение шеи и спины, проходящее без последствий. Проведено множество экспериментов с участием людей, заявляющих наличие у себя такого синдрома. Ни один из участников в условиях слепых испытаний вообще не проявил какой-либо чувствительности к Е621. Полученные данные говорят о том, что этот синдром, по-видимому, имеет психосоматическую природу. Во всяком случае, если он и существует, научных доказательств причастности глутамата к нему нет.
глутамат является нейротрансмиттером с наиболее распространенной возбуждающей функцией в нервной системе позвоночных организмов. Он играет фундаментальную роль во всех возбуждающих функциях, что означает, что он связан с более чем 90% всех синаптических связей в мозге человека..
Биохимические рецепторы глутамата можно разделить на три класса: AMPA-рецепторы, NMDA-рецепторы и метаботропные глутаматные рецепторы. Некоторые эксперты идентифицируют четвертый тип, известный как рецепторы каината. Они встречаются во всех областях мозга, но особенно распространены в некоторых областях..

Глутамат играет фундаментальную роль в синаптической пластичности. Из-за этого это особенно связано с некоторыми продвинутыми когнитивными функциями, такими как память и обучение. Специфическая форма пластичности, известная как длительное потенцирование, возникает при глутаматергических синапсах в таких областях, как гиппокамп или кора..
В дополнение ко всему этому, глутамат также имеет ряд преимуществ для здоровья при употреблении в пищу при умеренном питании. Тем не менее, он может также вызвать некоторые негативные последствия, если чрезмерно сконцентрирован, как в мозге, так и в пище. В этой статье мы расскажем вам все о нем.
- 1 Резюме
 - 2 Механизм действия 
- 2.1 Ионотропные рецепторы
 - 2.2 Метаботропные рецепторы
 - 2.3 Рецепторы вне центральной нервной системы
 
 - 3 функции 
- 3.1 Помощь для нормальной работы мозга
 - 3.2 Это предшественник ГАМК
 - 3.3 Улучшает функционирование пищеварительной системы
 - 3.4 Регулирует цикл аппетита и сытости
 - 3.5 Улучшает иммунную систему
 - 3.6 Улучшает функцию мышц и костей
 - 3.7 Может увеличить продолжительность жизни
 
 - 4 опасности
 - 5 Заключение
 - 6 Ссылки
 
синтез

Глутамат является одним из основных компонентов большого количества белков. Из-за этого, это одна из самых распространенных аминокислот во всем организме человека. При нормальных обстоятельствах можно получить достаточное количество этого нейротрансмиттера через кормление таким образом, что нет необходимости синтезировать его.
Однако глутамат считается незаменимой аминокислотой. Это означает, что в чрезвычайных ситуациях организм может перерабатывать его из других веществ. В частности, он может быть синтезирован из альфа-кетоглутаровой кислоты, которая образуется в цикле лимонной кислоты из цитрата..
На уровне мозга глутамат не способен самостоятельно преодолевать гематоэнцефалический барьер. Однако он движется через центральную нервную систему через транспортную систему с высоким сродством. Это служит для регулирования вашей концентрации и поддержания постоянного количества этого вещества, которое содержится в мозговых жидкостях.
С другой стороны, глутамат сам по себе является предшественником другого важного нейротрансмиттера, ГАМК. Процесс трансформации осуществляется посредством действия фермента глутамат декарбоксилазы.
Механизм действия

Глутамат оказывает свое влияние на организм, связываясь с четырьмя различными типами биохимических рецепторов: AMPA-рецепторы, NMDA-рецепторы, метаботропные глутаматные рецепторы и каинатные рецепторы. Большинство из них расположены в центральной нервной системе.
На самом деле, подавляющее большинство глутаматных рецепторов находится в дендритах постсинаптических клеток; и они связаны с молекулами, выделяемыми во внутрисинаптическом пространстве пресинаптическими клетками. С другой стороны, они также присутствуют в клетках, таких как астроциты и олигодендроциты.
Глутаминергические рецепторы можно разделить на два подтипа: ионотропный и метаботропный. Далее мы увидим, как каждый из них работает более подробно.

Ионотропные глутаматные рецепторы выполняют основную функцию, обеспечивая возможность прохождения ионов натрия, калия и иногда кальция в мозг в ответ на глутаматную связь. Когда образуется связь, антагонист стимулирует прямое действие центральной поры рецептора, ионного канала, который, таким образом, позволяет прохождение этих веществ.
Прохождение ионов натрия, калия и кальция вызывает постсинаптический возбуждающий ток. Этот ток деполяризует; и если активировано достаточное количество глутаматных рецепторов, потенциал действия в постсинаптическом нейроне может быть достигнут.
Все типы рецепторов глутамата способны продуцировать постсинаптический возбуждающий ток. Однако скорость и длительность этого тока различны для каждого из них. Таким образом, каждый из них по-разному влияет на нервную систему.
Метаботропные глутаматные рецепторы относятся к подсемейству C белковых рецепторов G. Они делятся на три группы, которые, в свою очередь, делятся на восемь подтипов в случае млекопитающих.
Эти рецепторы состоят из трех отдельных частей: внеклеточной области, трансмембранной области и внутриклеточной области. В зависимости от того, где происходит связь с молекулами глутамата, может происходить различное воздействие на организм или нервную систему..
Внеклеточная область состоит из модуля, известного как мухоловка Венеры, который отвечает за связывание глютамата. Он также содержит часть, богатую цистеином, которая играет фундаментальную роль в передаче изменения тока в сторону трансмембранной части..
Трансмембранная область состоит из семи областей, и ее основной функцией является соединение внеклеточной зоны с внутриклеточной зоной, где обычно происходит связывание белка..
Связывание глутаматных молекул во внеклеточной области вызывает фосфорилирование белков, которые достигают внутриклеточного пространства. Это влияет на большое количество биохимических путей и ионных каналов в клетке. Из-за этого метаботропные рецепторы могут вызывать очень широкий спектр физиологических эффектов.
Считается, что глутаматные рецепторы играют фундаментальную роль в получении стимулов, провоцирующих вкус "умами", одного из пяти основных ароматов, согласно последним исследованиям в этой области. В связи с этим известно, что такие рецепторы присутствуют в языке, особенно в вкусовых рецепторах..
С другой стороны, также возможно обнаружить небольшое количество этих рецепторов в определенных областях поджелудочной железы. Его основной функцией здесь является регулирование секреции таких веществ, как инсулин и глюкагон. Это открыло двери для исследований возможности регулирования диабета с помощью антагонистов глутамата..
Сегодня мы также знаем, что в коже есть определенное количество NMDA-рецепторов, которые можно стимулировать для получения обезболивающего эффекта. Короче говоря, глутамат оказывает очень разнообразное воздействие на весь организм, а его рецепторы расположены по всему организму..
функции
Мы уже видели, что глутамат является наиболее распространенным нейромедиатором в мозге млекопитающих. Это связано главным образом с тем, что он выполняет большое количество функций в нашем организме. Далее мы расскажем вам, какие из них являются основными.
Глутамат является нейротрансмиттером, который играет важнейшую роль в регуляции нормальных функций мозга. Практически все возбуждающие нейроны в головном и спинном мозге являются глутаматергическими.
Глутамат посылает сигналы в мозг, а также по всему телу. Эти сообщения помогают выполнять такие функции, как память, обучение или рассуждение, а также играют второстепенную роль во многих других аспектах функционирования нашего мозга..
Например, в настоящее время мы знаем, что с низким уровнем глутамата невозможно сформировать новые воспоминания. Кроме того, аномально низкое количество этого нейротрансмиттера может вызвать приступы шизофрении, эпилепсии или психические проблемы, такие как депрессия и тревога.
Даже исследования на мышах показывают, что ненормально низкий уровень глутамата в мозге может быть связан с расстройствами аутистического спектра..
Глутамат также является основой, используемой организмом для формирования другого важного нейромедиатора, гамма-аминомасляной кислоты (ГАМК). Это вещество играет очень важную роль в обучении, помимо сокращения мышц. Это также связано с такими функциями, как сон или расслабление.
Глутамат может поглощаться из пищи, этот нейротрансмиттер является основным источником энергии для клеток пищеварительной системы, а также важным субстратом для синтеза аминокислот в этой части тела..
Глутамат, присутствующий в пище, вызывает несколько фундаментальных реакций по всему организму. Например, он активирует блуждающий нерв таким образом, что он способствует выработке серотонина в пищеварительной системе. Это способствует испражнениям в дополнение к повышению температуры тела и выработке энергии..
Некоторые исследования показывают, что применение пероральных добавок глутамата может улучшить пищеварение у пациентов с проблемами в этом отношении. Кроме того, это вещество может также защитить стенку желудка от вредного воздействия на нее определенных лекарств..
Хотя мы не знаем точно, как происходит этот эффект, глутамат оказывает очень важное регулирующее влияние на контур аппетита и сытости..
Таким образом, их присутствие в еде заставляет нас чувствовать себя более голодными и мы хотим есть больше; но это также заставляет нас чувствовать себя более сытым после принятия его.
Некоторые из клеток иммунной системы также имеют глутаматные рецепторы; например, Т-клетки, В-клетки, макрофаги и дендритные клетки. Это говорит о том, что этот нейромедиатор играет важную роль как в врожденной, так и в адаптивной иммунной системе..
Некоторые исследования с использованием этого вещества в качестве лекарственного средства показали, что оно может оказывать очень благоприятное воздействие при таких заболеваниях, как рак или бактериальные инфекции. Кроме того, он также, по-видимому, в определенной степени защищает от нейродегенеративных заболеваний, таких как болезнь Альцгеймера..
Сегодня мы знаем, что глутамат играет ключевую роль в росте и развитии костей, а также в поддержании вашего здоровья.
Это вещество предотвращает появление клеток, разрушающих кости, таких как остеокласты; и может быть использован для лечения таких заболеваний, как остеопороз у людей.
С другой стороны, мы также знаем, что глутамат играет фундаментальную роль в мышечной функции. Например, во время тренировки этот нейротрансмиттер отвечает за выработку энергии для мышечных волокон и выработку глутатиона..
Наконец, некоторые недавние исследования показывают, что глутамат может оказывать очень благоприятное влияние на процесс старения клеток. Хотя эксперименты на животных еще не были проведены на людях, эксперименты на животных показывают, что увеличение содержания этого вещества в рационе может снизить уровень смертности..
Считается, что этот эффект обусловлен тем, что глутамат задерживает появление признаков старения клеток, что является одной из основных причин смерти, связанной с возрастом..
опасность
Когда естественные уровни глутамата изменяются в мозге или в организме, можно страдать от всевозможных проблем. Это происходит, если в организме содержится меньше вещества, чем нам нужно, как если бы уровень повышался чрезмерно.
Так, например, изменение уровня глутамата в организме было связано с психическими расстройствами, такими как депрессия, беспокойство и шизофрения. Кроме того, это также, по-видимому, связано с аутизмом, болезнью Альцгеймера и всеми типами нейродегенеративных заболеваний..
С другой стороны, на физическом уровне кажется, что избыток этого вещества будет связан с такими проблемами, как ожирение, рак, диабет или боковой амиотрофический склероз. Это также может оказать очень пагубное влияние на здоровье определенных компонентов тела, таких как мышцы и кости..
Все эти опасности связаны, с одной стороны, с избытком чистого глютамата в рационе (в форме глутамата натрия, который, по-видимому, способен преодолевать гематоэнцефалический барьер). Кроме того, они также должны были бы иметь дело с избытком пористости в этом же барьере.
заключение
Глутамат является одним из наиболее важных веществ, вырабатываемых нашим организмом, и играет фундаментальную роль во всех видах функций и процессов. Е
В этой статье вы узнали, как это работает и каковы его основные преимущества; но также и опасности, которые он имеет, когда он обнаружен в слишком большом количестве в нашем организме.
Читайте также:


