Нарушения, связанные с употреблением психоактивных веществ
Добавил пользователь Евгений Кузнецов Обновлено: 21.01.2026
Психоактивные вещества, такие как алкоголь, наркотики и табак, обладают свойствами влиять на функционирование нервной системы и изменять психическое состояние человека. Изменение психического состояния может носить как преходящий, так и долговременный характер. Далее мы подробнее рассмотрим какие изменения в психике и поведении вызывает употребление ПАВ.
Психоактивные вещества можно разделить на классы, в зависимости от механизма их действия и тех психофизических изменений, которые они вызывают. Вот основные из них:
- Психостимуляторы. Способны активизировать работу ЦНС, стимулировать повышение настроения.
- Депрессанты. В данную группу входят седативные, снотворные, транквилизирующие вещества, опиоиды и опиаты, алкоголь. Вызывают угнетение ЦНС.
- Антипсихотики. Другое название — нейролептики. Способны влиять на уровень дофамина и вызывают снижение психической активности.
- Галлюциногены. Вещества, вызывающие изменение состояния сознания и приводящие к восприятию зрительных, слуховых, обонятельных, тактильных образов, которых не существует в действительности.
К каким патологическим состояниям приводит употребление ПАВ?
Как видно из приведённой классификации, различные классы психоактивных веществ оказывают разнородные эффекты на психику и физическое состояние употребившего. По Международной классификации болезней (в настоящий момент действует МКБ-10, то есть 10-го пересмотра) приём ПАВ может приводить к таким заболеваниям и состояниям как:
- Острая интоксикация — тяжёлое нарушение психоэмоционального состояния, выраженное в расстройстве сознания, когнитивных функций, восприятия и поведения, вызванное отравлением от недавнего употребления психоактивным веществом.
- Употребление ПАВ с вредными последствиями — когда приём ПАВ повторяется систематически и приводит к хроническому негативному изменению соматического и психического здоровья. Вредные последствия могут выражаться в виде ограничения мыслительных функций, поведенческих отклонениях, социальной дезадаптации и инвалидизации.
- Синдром зависимости — развитие патологической потребности в приёме психоактивного вещества, с синдромом соматических и психических проявлений при отмене или отказе от него (абстинентном синдроме).
- Синдром отмены (ломка, абстинентный синдром) — проявление соматических и психических изменений состояния при отмене или отказе от ПАВ. Как правило, синдром отмены мучительно переживается зависимым.
- Психотическое расстройство (психоз) — острое расстройство психики, когда восприятие действительности не соответствует окружающей реальности. Проявляется в паранойе, зрительных и слуховых галлюцинациях, состояниях бреда, психомоторных расстройствах.
- Амнестический синдром — нарушение кратковременной и долговременной памяти.
Какие изменения в поведении вызывает приём ПАВ?
- изменение ценностных ориентиров, обеднение круга интересов: со временем все мысли зависимого сводятся к поиску новой дозы;
- утрата социальных контактов, замкнутость: круг общения постепенно сводится только к тем, кто «на одной волне» с зависимым, то есть также употребляет;
- падение моральных принципов, нарастание склонности к девиантному и криминальному поведению: ради новой дозы психоактивного вещества, человек идёт на попрание личных и общественны моральных норм и законов;
- устойчивые изменения психоэмоционального состояния: зависимый человек может становиться излишне раздражительным, агрессивным, грубым или, наоборот, депрессивным, подавленным, пассивным;
- развитие психотический состояний, дереализация: из-за токсического повреждения ЦНС со стороны ПАВ, возможно развитие таких состояний как паранойя, галлюцинации, бред, диссоциация с собственным телом и т.д.
При всех вышеописанных симптомах и состояниях оказать эффективную помощь способен только опытный врач психиатр-нарколог. Поэтому своевременное обращение к нему на ранних этапах формирования зависимости способно снизить урон для психики пациента и остановить разрушение личности.
Психические расстройства наркозависимых

Употребление наркотических веществ приводит к ухудшению физического здоровья и провоцирует формирование психических заболеваний. О том, что у человека нарушено психоэмоциональное состояние, может подсказать смена поведения, деформация характера, проявление несвойственных ему эмоций, нарушение режима дня, галлюцинации и ряд других симптомов.
Какие психические расстройства вызывают наркотики
У зависимых может развиться амнестический синдром. Больные сталкиваются с тем, что перестают понимать элементарные вещи, теряют адекватное ощущение времени, с трудом вспоминают недавние события и усваивают новую информацию.
Наиболее часто у наркоманов развивается:
- Маниакально-депрессивный психоз(биполярное расстройство). Это чередование двух аффективных состояний - мании и депрессии. Во время маниакальной фазы человек последовательно проходит через стадии повышенной бодрости, агрессивности или эйфории и снижения потребности во сне. А на этапе депрессивной фазы больной переходит от ухудшенного настроения к подавленности и повышенной тревожности, а затем к ощущению ненужности, бессмысленности своего существования и мыслям о суициде.
- Шизофрения. Ее развитие нередко провоцирует первитин, амфетамин и синтетические аналоги природных опиоидов. У зависимых наблюдаются депрессии, деформация характера, агрессивность, повышенная тревожность. Их преследуют бредовые идеи, зрительные, слуховые и тактильные галлюцинации. Люди с шизофренией потенциально опасны для себя и других людей, поскольку не отдают себе отчет во время приступов ярости и бредовых состояний.
- Невроз. Для него характерны: быстрая смена настроения, повышенная тревожность и нарушения сна. Есть и физиологические проявления этого патологического состояния - потливость, приступы аритмии, тахикардии и различные сбои гормонального фона.
Причина психических расстройств кроется в том, что ПАВы влияют на активность мозга и функционирование центральной нервной системы. Психика пытается защитить себя от отрицательного воздействия химических веществ и перманентного стресса, в котором находится зависимый человек.
Терапия психических расстройств наркоманов
Лечение психопатологий невозможно проводить без устранения причины. Для начала зависимому надо пройти процедуру детоксикации, коррекции работы внутренних органов и мотивирования на лечение заболевания. Но уже на этих этапах психотерапевты-наркологи значительно сглаживают симптомы психических отклонений, назначая снотворные и седативные препараты, а также прием транквилизаторов и нейролептиков.
Целенаправленная терапия психических расстройств происходит во время реабилитации. Для каждого пациента специалисты индивидуально подбирают лекарственные средства. Больным помогают проработать отклонения в поведении и внутренние конфликты с помощью методов когнитивно-поведенческой терапии. Кроме того, их учат способам эмоциональной разрядки, мышечного расслабления и переоценки различных событий.
Грамотные психотерапевты реабилитационного центра «Свобода» знают особенности мышления и способы влияния на людей с измененным сознанием. Они проводят длительную работу, помогая реабилитантам избавиться от наркотической зависимости и постепенно восстановить психическое здоровье.
Преимущества комплексного лечения наркомании и реабилитации людей с психическими отклонениями
Наш центр проводит восстановительную терапию и психотерапию для пациентов с диагностированными психическими отклонениями. Высокую эффективность программы обеспечивает:
- индивидуальный подход;
- формирование персонального курса реабилитации;
- психологическая поддержка;
- восстановление личности и социальных навыков;
- закрепление достигнутых результатов во время этапа социализации;
- полная анонимность.
Вы можете обратиться к нам в круглосуточном режиме и в любой день недели за услугой детоксикации, вывода из запоя, вызова нарколога или медсестры на дом, кодирования. Мы поможем замотивировать на лечение, пройти реабилитацию и ресоциализацию.
Обращайтесь к нам, мы успешно избавляем людей от наркотической зависимости, восстанавливаем их физическое и психическое здоровье.
Часто задаваемые вопросы
В чем причина психологической зависимости от наркотиков?
Чтобы испытать удовольствие или чувство удовлетворения, человеку необходимо определить желанный для него результат, совершить действия по его достижению и добиться цели. Наркотики активируют синтез эндорфинов, поэтому человек испытывает удовольствие без анализа, постановки задачи и продуктивных действий. Фактически, наркомания - это разрушительный способ чувствовать себя хорошо, вопреки обстоятельствам реальной жизни.
Спайсы вызывают психические расстройства?
Несомненно. При регулярном употреблении курительные смеси провоцируют галлюцинации, бредовые состояния, деформацию личности и прогрессирование шизофрении.
Легкие наркотики опасны для психики?
Да. Название «легкие» они получили только потому, что в них относительно низкая концентрация психоактивных соединений. В случае эпизодического употребления в малых дозах, толерантность и физическая зависимость практически не развивается, а вот психологическая формируется вполне успешно. Как только человек начинает принимать ПАВ чаще и увеличивать его дозировки, у него неизбежно возникают психические отклонения.
Что влияет на скорость развития психологической зависимости и психических отклонений при приеме наркотиков?
Скорость зависит от совокупности факторов - легкодоступности и типа ПАВа, пути введения в организм, быстроты, с которой соединение преодолевает гематоэнцефалический барьер, вызывает толерантность и синдром отмены.
От чего зависят особенности расстройства личности?
От состава наркотического препарата, его дозы, типа ПАВа и типа личности человека.
Связь между расстройствами сна и употреблением психоактивных веществ

Наиболее распространенные психические расстройства - от депрессии и тревоги до ПТСР - связаны с нарушением сна. Расстройства сна, связанные со злоупотреблением ПАВ, не являются исключением. Эта связь может быть сложной и двунаправленной: с одной стороны употребление ПАВ вызывает проблемы со сном, но с другой стороны бессонница (или недостаточный сон) также могут быть факторами риска употребления наркотиков и алкоголя. Признавая важность этого несколько упущенного из виду фактора, исследователи уделяют повышенное внимание сну и его нарушениям и ищут способы целенаправленного воздействия на симптомы инсомнии при лечении и профилактике расстройств, связанных с употреблением ПАВ.
В настоящее время NIDA (Национальный институт по борьбе со злоупотреблением наркотиками) во главе с Dr. Nora Volkow финансирует несколько проектов по изучению различных расстройств злоупотребления ПАВ и сна, а также нейробиологических механизмов работы системы вознаграждения и ее связи с циркадными ритмами. Это сфера представляется высокопотенциальной как в целях предотвращения употребления ПАВ, так и в целях лечения одного из самых стойких и тягостных побочных эффектов, связанных со злоупотреблением ПАВ и алкоголем.
Известно, что большинство ПАВ резко нарушают регуляторные механизмы сна в головном мозге, влияя на время, необходимое для засыпания, продолжительность и качество сна. Люди, употребляющие ПАВ и алкоголь, также испытывают бессонницу во время абстиненции, которая усугубляет тягу к наркотикам и может стать причиной срыва. Кроме того, из-за центральной роли сна в механизмах долгосрочной памяти и консолидации новой информации, плохое качество сна может затруднить освоение новых навыков совладания и саморегуляции, необходимых для поддержания ремиссии.
Одним из важнейших нейробиологических механизмов, связывающих последствия употребления большинства ПАВ и нарушения сна, является обмен дофамина. Прямое или косвенное стимулирование дофаминовых путей вознаграждения наркотическими препаратами объясняет их аддиктивные свойства; но дофамин также модулирует активность, бдительность и участвует в регуляции цикла сон-бодрствование. Дофаминергические препараты уже давно используются для лечения таких состояний, как нарколепсия. Кокаин и амфетаминоподобные наркотики являются одними из самых мощных дофаминовых агонистов, и их повторное введение может привести к серьезному недосыпанию.
Сокращение часов сна, в свою очередь, согласно работе Wiers, C. E., с соавт. [1] опосредует низкий уровень активности D2-рецепторов у людей, злоупотребляющих кокаином, что связано с более высоким риском компульсивного употребления наркотиков. Пониженная регуляция дофаминовых рецепторов D2 в стриатуме также была связана с нарушениями функции префронтальных областей, необходимых для осуществления самоконтроля и других исполнительских функций. Так, в исследовании Dr. Nora Volkow с соавт. [2] было показано, что у взрослых людей, лишенных сна, наблюдается пониженная доступность D2-дофаминовых рецепторов в зоне вознаграждения - вентральном стриатуме. Авторы предполагают, что для компенсации дофаминового дефицита эти люди становятся более подвержены рискованному поведению, включая прием ПАВ.
Помимо прямого воздействия на дофаминовую систему, некоторые ПАВ оказывают действие на регуляцию сна через другие фармакологические звенья. Например, препараты каннабиса взаимодействует с эндоканнабиноидной системой организма, которая, помимо прочих своих функций, также участвует в регуляции цикла сон-бодрствование. Проблемы со сном - распространенный симптом отмены марихуаны, о котором сообщают более 40% тех, кто пытается бросить наркотики [3], причем трудности засыпания считаются одним из самых неприятных симптомов (также респонденты сообщали о ночных кошмарах). Каждый десятый человек, возобновляющий прием каннабиса, причиной этому называет проблемы со сном.
Опиоидные препараты взаимодействуют с эндогенной опиоидной системой организма, связываясь преимущественно с мю-опиоидными рецепторами (МОР); эта система также играет важнейшую роль в регуляции сна. Природные и синтетические опиаты могут вызывать сонливость, но они также могут выражено нарушать архитектуру сна, увеличивая переходы между различными фазами сна. Одним из мучительных проявлений опийной абстиненции, помимо прочих, является и стойкая бессонница. Также опиоиды могут подавлять центры дыхания в стволе головного мозга и при приеме их в больших дозах могут стать причиной остановки дыхания во время сна.
Зависимость от ПАВ и проблемы со сном могут иметь сложные и непредсказуемые пересечения. В работе, опубликованной в журнале Science Translational Medicine в 2018 году, Thannickal TC с соавт. из Калифорнийского университета в Лос-Анджелесе[4] изучали роль нейропептида орексина в регуляции бодрствования и исследовали посмертные образцы мозга человека. При обнаружении мозга с повышенным количеством орексин-продуцирующих клеток, они выяснили впоследствии, что этот человек был зависим от героина. В дальнейшем ученые решили проанализировать более крупные образцы гипоталамической ткани головного мозга у лиц с героиновой зависимостью и выявили, что у этих людей орексин-продуцирующих клеток на 54% больше, чем у тех, кто не употреблял героин. Причем введение морфина вызывало аналогичные эффекты и у грызунов.
Дальнейшие исследования пересечений между нейрохимическими механизмами, ответственными за реакции вознаграждения и регуляцию сна, могут помочь понять индивидуальные различия в склонности к формированию аддикции и расстройств сна. Это может оказаться очень полезным в клинической практике, когда нацеленное решение проблемы со сном может стать одним из аспектов успешного лечения зависимости. Например, NIDA в настоящее время финансирует исследования по изучению эффективности суворексанта у людей с опийной зависимостью. Этот препарат, одобренный FDA для лечения бессонницы, действует как антагонист рецепторов орексина.
Причинно-следственная связь между нарушением сна и злоупотреблением ПАВ может быть и обратной. Люди, страдающие бессонницей, находятся в группе риска употребления таких ПАВ, как, например, алкоголя, бензодиазепинов, которые они могут принимать в качестве самолечения. Или же они могут использовать стимулирующие препараты, чтобы компенсировать повышенную дневную усталость, вызванную бессонницей. Диссомнические расстройства могут увеличить риск употребления ПАВ также и за счет косвенных механизмов, например снижения когнитивных функций.
Таким образом, нарушения сна, а также другие факторы, ведущие к недосыпанию, являются важными аспектами в профилактике болезней зависимости. Так, например, в последние годы широко обсуждается вопрос о более позднем начале занятий в школе, поскольку подростки особенно уязвимы к многочисленным последствиям недосыпания. В исследовании Dr. Nora Volkow с соавт. [5] было показано, что меньшее количество часов сна коррелирует с повышенным риском употребления ПАВ и другими проблемами поведения у подростков. В лонгитюдном исследовании подростков (средний возраст 14,7 лет) Pasch K.E., с соавт. [6] было показано, что меньшая продолжительность сна—как в будние дни, так и в целом—на исходном уровне была связан с бОльшим потреблением сигарет и марихуаны спустя 2 года . Также в группе тинейджеров употребление табака, алкоголя и марихуаны ассоциируется с ухудшением сна, включая меньшую его продолжительность, что опять же свидетельствует о наличии двусторонних причинно-следственных связей между недостатком сна и риском употребления ПАВ.
Для лучшего выяснения сложных причинно-следственных связей между сном, развитием мозга и показателями психического здоровья, включая употребление ПАВ, необходимы лонгитюдные исследования. В работе «Развитие мозга и когнитивных функций у подростков» ( The Adolescent Brain and Cognitive Development - ABCD ) [7] изучаются эти взаимоотношения на большой когорте детей, которые были набраны в исследование возрасте 9-10 лет. Это лонгитюдное исследование, которое продолжается третий год, уже начинает приносить ценные результаты. Группа китайских исследователей, используя данные ABCD [8] обнаружила, что дети с депрессивными проблемами имеют более короткую продолжительность сна спустя 1 год, а также меньший объем областей мозга, связанных с такими когнитивными функциями, как например, память.
Несмотря на получаемые новые данные, необходимы дополнительные исследования взаимосвязи между употреблением ПАВ, болезнями зависимости и сном как у взрослых, так и у молодых людей.
Токсикомания - симптомы и лечение
Что такое токсикомания? Причины возникновения, диагностику и методы лечения разберем в статье доктора Серегина Дмитрия Алексеевича, психотерапевта со стажем в 11 лет.
Над статьей доктора Серегина Дмитрия Алексеевича работали литературный редактор Вера Васина , научный редактор Сергей Федосов и шеф-редактор Лада Родчанина
Определение болезни. Причины заболевания
Токсикомания — расстройство, вызванное употреблением летучих бытовых и промышленных химикатов, содержащих психоактивные вещества: бензол, ксилол, толуол, ацетон, этиловый и амиловый эфиры, трихлорэтилен и др. Токсикомания от наркомании отличается тем, что применяются химикаты, законодательно не относящиеся к наркотическим, но не менее опасные.
Согласно определению Всемирной организации здравоохранения (ВОЗ), расстройство включает четыре элемента:
- неконтролируемое побуждение употреблять психоактивное вещество;
- тенденция к увеличению дозы (рост толерантности);
- психологическая и физическая зависимость;
- вредные последствия для повседневной жизни (эмоциональные, социальные, экономические) [5] .
В России за период с 2000 по 2010 гг. число больных токсикоманией, состоящих на учёте в наркологических диспансерах, снизилось на 1,1 % и составило 9,4 пациентов на 100 тыс. населения. Реальный уровень токсикомании значительно выше, поскольку официальная статистика опирается на случаи обращения за медицинской помощью и вынужденных обследований [7] .
Максимальный уровень зависимости от психоактивных веществ — в Сахалинской области (45,3 больных на 100 тыс. населения). Проблемные территории с показателем 30 и более больных на 100 тыс. населения: Камчатский край, Удмуртская Республика, Ивановская, Челябинская, Магаданская области [7] .
Химикаты (ингалянты) угнетают центральную нервную систему, действуя сначала на кору головного мозга, а затем, по мере повышения концентрации в крови, на стволовые структуры мозга. Систематическое употребление сопровождается нарушением движения крови по сосудам (гемодинамики), дыхания, двигательной активности, обмена веществ в органах и тканях. Наиболее опасны средства бытовой химии, вызывающие тяжёлые поражения внутренних органов и систем [15] .
Эффект от приёма летучих растворителей проявляется быстро и длится от пары минут до нескольких часов. Ингалянты популярны среди подростков как альтернатива запрещённым наркотикам. Доступность, низкая стоимость и способность быстро влиять на настроение делают летучие растворители особенно привлекательными. Как правило, токсикоманы пропитывают ткань химикатом, помещают её в пластиковый пакет или контейнер и вдыхают испаряющиеся летучие вещества.
Согласно докладу Национального института по борьбе со злоупотреблением психоактивными веществами, приём ингаляционных веществ распространён среди бездомных детей и подростков, которые живут на улицах без семьи [3] . Исследования показывают связь между уровнем образования, наличием работы, благосостоянием и потреблением психотропных веществ [7] .

При токсикомании используют бензол, этилбензол и толуол. Толуол в чистом виде запрещён, поэтому в качестве токсичных веществ применяют содержащие его вещества: клей, лаки и растворители.
Популярное среди российских подростков злоупотребление бытовым газом — опасный вид токсикомании. Газ вдыхают из баллонов для заправки зажигалок и малогабаритных плит. Наполнение им лёгких и вытеснение кислорода приводит к удушью и потере сознания с летальным исходом.
При обнаружении схожих симптомов проконсультируйтесь у врача. Не занимайтесь самолечением - это опасно для вашего здоровья!
Симптомы токсикомании
Воздействие ингалянта зависит от дозы и типа вещества. При непродолжительном вдыхании паров резинового цемента или разбавителя краски наступает состояние, схожее с алкогольным опьянением. Длительное вдыхание растворителей или газов искажает восприятие времени и пространства, вызывает галлюцинации и эмоциональные нарушения: подавленное настроение с раздражительностью, гневливостью и тревогой.
У зависимых наблюдается:
- головная боль;
- тошнота и рвота;
- невнятная речь;
- нарушение координации движений;
- одышка;
- покраснение или сыпь вокруг носа и рта.
Запах краски и растворителей от одежды, кожи, изо рта — частый признак злоупотребления ингалянтами. Остатки краски или растворителя могут выделяться с потом [18] .
Согласно исследованиям, даже один эпизод злоупотребления ингалянтами может нарушить сердечный ритм, понизить уровень кислорода и привести к смерти. Регулярное злоупотребление вредит мозгу, почкам, сердцу и печени [17] .
У больных возникает:
- напряжённость;
- тревога;
- раздражительность;
- подавленное настроение (дисфория);
- физическая слабость и недомогание.
Для устранения дискомфорта зависимые принимают ингалянт вновь. Патологическое влечение к приёму психоактивных веществ преобладает в мотивации человека. Токсикант употребляют для улучшения состояния, вызванного проблемами с общением, конфликтами с законом, ухудшением здоровья, ослабления тягостных абстинентных состояний. Приём ингалянтов, несмотря на эти обстоятельства, — диагностический критерий зависимости от психоактивных веществ, используемый современными клиницистами.
Злоупотребление ингалянтами приводит к психозам с искажённым восприятием реальности, в результате чего больные получают бытовые травмы [16] . Начиная с малой дозы, токсикоманы регулярно увеличивают потребление вещества, поскольку эффект от приёма снижается. В итоге они доходят до смертельного уровня.
Внезапное прекращение приёма сопровождается соматическими симптомами (абстиненцией), психологической зависимостью, химическим и гормональным дисбалансом.
Абстинентный синдром при токсикомании — это реакция центральной нервной системы на прекращение регулярного употребления психоактивных веществ. Сопровождается подавленным настроением, тревогой, раздражительностью, головной болью, возбуждением, потливостью. К объективным проявлениям относятся тремор пальцев и век, учащение пульса, повышение артериального давления, расширение зрачков, судороги мышц. Признаки абстиненции появляются к концу первых суток после прекращения приёма ингалянта. Состояние утяжеляется на протяжении 4-6 суток, затем симптомы абстиненции проходят, но продолжительное время (до 1-1,5 месяца) сохраняется подавленное настроение, нарушения сна, приступы тоски или агрессивности.
Патогенез токсикомании
Токсикомания — комбинация физической и психической зависимости. Употребление психоактивных веществ начинается с экспериментов, затем переходит к периодическому употреблению, а после — к зависимости с подавленностью при отсутствии препарата и подъёме настроения в ожидании приёма. Психическая зависимость — частая причина рецидивов. Согласно современным исследованиям, генетический фактор — одна из причин развития зависимостей [14] .
Критические факторы развития токсикомании: доза ингалянта, частота ввода и способ введения. Во время приёма нервная система развивает компенсаторные механизмы для саморегуляции в присутствии токсиканта. Резкое исчезновение психоактивного вещества из организма нарушает постоянство внутреннего состояния, а компенсаторные механизмы приводят к абстиненции [13] . Токсикоман продолжает употреблять ингалянты, несмотря на негативные последствия для здоровья, социальной жизни и собственных попыток прекратить приём [14] [15] [16] .
При токсикомании нарушается работа сердца:
- периодическое уменьшение частоты сердечных сокращений ниже допустимых значений (синусовая брадиаритмия);
- задержка распространения электрического импульса в толще сердечной мышцы (нарушение внутрижелудочковой проводимости);
- замедленное прохождение импульса, выработанного в синусно-предсердном узле, к рабочему миокарду желудочков (замедление атриовентрикулярной проводимости);
- повышение нагрузки на правое предсердие;
- недостаток питания в области задней стенки левого желудочка.

Токсиканты влияют на передачу импульсов в дофаминовых нервных путях и медиальной префронтальной коре (передней части лобных долей). Считается, что эти структуры лежат в основе патологической зависимости. Психоактивные вещества вызывают нарушения на всех уровнях работы организма, взаимодействуют с селективными рецепторами нейромедиаторов, оказывают токсическое действие.

Классификация и стадии развития токсикомании
Формы расстройства классифицируют по активному веществу, которым злоупотребляет больной. Большинство психоактивных ингалянтов входят в состав бытовых или промышленных химических продуктов, не предназначенных для вдыхания. Выделяют три категории веществ:
- растворители;
- газ;
- медицинские препараты, используемые не по назначению.
Ингалянты, предназначенные для бытового или промышленного использования, вдыхают через нос и рот. К летучим растворителям относятся:
- нефтепродукты (бензин и керосин);
- толуол (используют в разбавителях красок, цемента и клея);
- ацетон (применяют для разбавления красок);
- хлорфторуглероды в аэрозолях (лаки для волос и дезодоранты);
- баллоны с пропаном и бутаном.

Стадии развития токсикомании:
- Психологическая зависимость. Характеризуется любопытством и желанием экспериментов. Важную роль в инициации и поддержании токсикомании на этом этапе играет окружение.
- Физическая зависимость. У токсикомана возникают проблемы со здоровьем и абстинентное состояние.
- Деградация личности. Тяжёлые и необратимые изменения в организме. Отсутствие желаемого эффекта от приёма вещества, наряду со снижением устойчивости к нему, часто приводит к передозировке и гибели.
Осложнения токсикомании
При хронической токсикомании из-за длительной интоксикации поражается нервная система. По мере воздействия на ЦНС развиваются галлюцинации и бред. Больные психически деградируют — сужается круг интересов, ухудшаются когнитивные способности, возникает проблемы в общении. Находясь под действием психоактивных веществ, зависимые попадают в опасные ситуации и получают травмы.
Токсикомания вызывает:
- поражение печени и почек;
- расстройство центральной нервной системы;
- повреждение головного и костного мозга; (из-за снижения сопротивляемости к инфекциям); и остановку сердца;
- недостаток кислорода (гипоксию) и удушье (асфиксию рвотными массами).
Ещё одна опасность — замерзание горла или "аэрозольный ожог", потенциально смертельный для человека. Когда газ, который хранился под высоким давлением, высвобождается, происходит резкое охлаждение (до -20°C). Возможно обморожение с неконтролируемым сокращением гортани (ларингоспазмом) [13] [14] .
Вдыхание этилбензола и толуола приводит к потере слуха, судорогам конечностей, повреждению центральной нервной системы и головного мозга [5] . Известен синдром "Sudden Sniffing Death" ("внезапная смерть от вдыхания") — нарушение сердечного ритма, сердечная недостаточность и внезапная смерть при токсикомании.

Единственный способ предотвратить синдром — избежать вдыхания токсичных веществ. В отличие от многих других препаратов, способных вызвать передозировку, безопасных доз ингалянта не существует. [18] .
Ингалянты, употребляемые при беременности, неблагоприятно влияют на плод, повышают риск преждевременных родов и врождённых дефектов у детей.
Диагностика токсикомании
Злоупотребление психоактивными веществами выявляют по клиническим признакам и изменению поведения, но проявления различны в зависимости от типа вещества, дозы и организма пациента. Токсичные ингалянты не обнаруживаются с помощью стандартных анализов для выявления запрещённых препаратов. Выявить их можно с помощью методов газовой и газожидкостной хроматографии в специализированных лабораториях. Показания к проведению исследования возникают редко, лишь в случае, когда это необходимо для судебно-медицинской экспертизы. На употребление ингалянтами может указывать аномальное повышение уровня печёночных ферментов. Диагностика пациента с острой ингаляционной интоксикацией может включать общий анализ крови, определение уровня электролитов в крови, печеночный и почечный профили, оценку кислотно-основного состояния крови, анализ сердечного фермента [24] .
Для подтверждения токсикомании ВОЗ рекомендует использовать ICD-10 (Международная классификация болезней 10-го пересмотра), подразделы F10-F19 "Психические расстройства и расстройства поведения, связанные с употреблением психоактивных веществ" [23] .
Критерии для определения расстройства:
- сильная тяга к психоактивным веществам;
- неконтролируемое поведение при употреблении токсикантов;
- состояние отмены;
- рост толерантности;
- приём продолжается, несмотря на осознание вреда здоровью.
Американская Психиатрическая Ассоциация для диагностики патологии рекомендует применять DSM-5 (Диагностическое и статистическое руководство по психическим расстройствам 5-го издания). По DSM-5 зависимость от психоактивных веществ устанавливают при наличии в течение 12 месяцев трёх или более критериев:
- рост толерантности с увеличением дозы вещества для достижения эффекта;
- абстиненция, подтверждённая симптомами отмены;
- постоянная тяга и неспособность контролировать употребление ингалянта;
- значительное снижение социальной активности;
- сохранение физических и психических осложнений после прекращения приёма.
Зависимость от психоактивных веществ в соответствии с DSM-5 сопровождается непреодолимым стремлением к употреблению ингалянта с тотальной вовлечённостью больного (компульсивное влечение) [21] .
Лечение токсикомании
Лечение токсикомании — длительный и сложный процесс, сопряжённый с частыми рецидивами. Реабилитацию проводят стационарно в больнице и амбулаторно без круглосуточного пребывания в клинике. При терапии избегают препаратов, воздействующих на обмен катехоламинов (группы гормонов, таких как адреналин, норадреналин, дофамин, синтезируемых в надпочечниках) из-за риска повышенной чувствительности к ним миокарда, вызванного ингалянтами. Сложной задачей является терапия сопутствующей аритмии, конкретные протоколы лечения отсутствуют. Некоторую пользу приносят бета-блокаторы.
Этапы лечения:
- Вывод токсичных веществ из организма (детоксикация) и устранение абстинентного синдрома.
- Устранение обменных нарушений и последствий употребления психоактивных веществ, терапия поведенческих расстройств и психического состояния.
- Коррекция психической зависимости.
- Поддерживающая терапия.
Особое внимание уделяется решению профессиональных и бытовых проблем, компенсации пропущенных занятий в учебном заведении, восстановлению социальных связей. Необходимо сформировать новые привычки проведения досуга и изменить модель поведения, характерную для зависимых — эгоцентризм, тяга к удовольствиям, отсутствие самодисциплины, непринятие ответственности и обязательств, обвинения окружающих в своих неудачах [2] [3] [4] .
Реабилитация может включать группы поддержки (12-шаговые программы) и психотерапию (мотивационную и когнитивно-поведенческую).

Во многих странах, в том числе в России, действуют реабилитационные центры, основанные на христианских ценностях. Они позволяют пациентам получить поддержку и найти новые ориентиры в жизни.
Прогноз. Профилактика
Прогноз часто неблагоприятный из-за суицидов, несчастных случаев, тяжёлых абстиненций. Токсикомания приводит к глубоким и необратимым изменениям головного мозга и всей нервной системы.
Ингаляционные токсиканты используют дети, подростки, потому что эти вещества входят в состав легально доступных недорогих продуктов, таких как дезодоранты, разбавители и лаки для волос. Несмотря на то, что многие ингалянты разрешены к продаже, в некоторых странах приняты законы по ограничению доступа несовершеннолетних.
Профилактика токсикомании схожа с предупреждением прочих наркологических расстройств и включает следующие мероприятия:
Психоактивные вещества и психозы

Известно, что среди лиц имеющих психические расстройства распространенность злоупотребления психоактивными веществами выше, чем среди населения в целом. Точные причины этого до сих пор неясны, однако, на этот счет выдвигается множество различных теорий. Общей гипотезой является то, что психиатрические пациенты используют психоактивные вещества в качестве самолечения. Кроме того, некоторые вещества сами по себе могут индуцировать психозы. Также популярно предположение, что потребление каннабиса уязвимыми лицами может ускорить наступление дебюта шизофрении и что этот эффект является дозозависимым.
Психозы, связанные с употреблением ПАВ (ППАВ) - это психотические состояния, развивающиеся во время опьянения или отмены, длительностью не менее 48 часов. Современные данные свидетельствуют о том, что у большого числа пациентов с ППАВ, развиваются хронические психотические состояния. Существует информация, что индуцированный каннабисом психоз трансформируется в шизофрению примерно в 50% случаев. Из-за столь высокого процента появляется все больше исследований направленных на выявление различий между психозами, связанными с употреблением каннабиноидов и шизофренией. В одном из исследований было показано, что пациенты с интоксикационным психозом попадали в поле зрения психиатров в более старшем возрасте, а также чаще имели родственников, злоупотребряющих ПАВ, по сравнению с пациентами с первичным эндогенным психозом. Касательно влияния других ПАВ на развитие психических расстройств в настоящее время существует не так много информации. Наиболее высокие показатели конверсии в шизофрению наблюдаются у лиц с ППАВ на фоне употребления амфетаминов (около 30%), галлюциногенов (24%), опиоидов (21%) и алкоголя (5%). Другое исследование показало, что у 23% пациентов с психозами, вызванными употреблением психоактивных веществ, в течение 3 лет диагностируется шизофрения. Психиатрические пациенты с химической зависимостью, получают достоверный диагноз позже, что приводит к задержке получения необходимого лечения. Если бы существовала возможность идентифицировать лиц с высоким риском трансформации, лечение можно было бы инициировать ранее.
Авторы данного исследования решили выяснить, какая доля психозов, индуцированных психоактивными веществами, трансформируется в шизофрению и биполярное расстройство. Также они задались задачей определить факторы риска для подобного перехода. В качестве источника информации использовалась известная нам по многим крупным психиатрическим исследованиям Датская система регистрации граждан. В исследование попала информация обо всех гражданах (n=6,788), которым в период с 1994 по 2014 год был диагностирован психоз, индуцированный употреблением одного или нескольких психоактивных веществ (F10.5-F16.5, F18.5-F19.5), лица с уже выставленными шизофренией или БАР были исключены. Пациенты были сопоставлены с 67 227 субъектами сравнения. Сравниваемые субъекты совпадали по полу, дате, месяцу рождения, календарному времени возникновения психоза и виду ПАВ. Далее оценивались наличие и темпы конверсии в шизофрению и биполярное аффективное расстройство. Также изучались следующие, наиболее доступные для клиницистов предикторы конверсии: психические расстройства, связанные с употреблением ПАВ, самоповреждающее поведение, синдром дефицита внимания и гиперактивности, расстройства личности, униполярная депрессия, расстройства пищевого поведения, расстройства аутистического спектра.
В таблице 1 перечислены предшествующие диагнозы тех пациентов, у которых впоследствии развились психозы, связанные с употреблением психоактивных веществ. Алкоголь индуцировал психоз у 34%, каннабис у 22%, а другие вещества или их комбинация у 27% исследуемых. Возраст развития психоза варьировал в зависимости от типа вещества: каннабис, кокаин, амфетамины, галлюциногены и другие вещества, чаще провоцировали развитие психотической симптоматики в возрасте до 30 лет, психозы связанные с приемом алкоголя, опиоидов и седативных препаратов чаще возникали в 45 лет и старше.
Таб. 1 Расстройства, предшествовавшие развитию психоза, связанного с употреблением ПАВ
| Вещество и ранее установленный диагноз | Мужчины | Женщины | Все пациенты | |||
| N | % | N | % | N | % | |
| Психоз, индуцированный ПАВ | 5,078 | 74.8 | 1,710 | 25.2 | 6,788 | 100.0 |
| Алкоголь | 1,680 | 33.8 | 635 | 37.1 | 2,315 | 34.1 |
| Опиоиды | 88 | 1.7 | 70 | 4.1 | 158 | 2.3 |
| Каннабис | 1,222 | 24.1 | 270 | 15.8 | 1,492 | 22.0 |
| Седативные вещества | 33 | 0.7 | 87 | 5.1 | 120 | 1.8 |
| Кокаин | 136 | 2.7 | 34 | 2.0 | 170 | 2.5 |
| Амфетамины | 423 | 8.3 | 132 | 7.7 | 555 | 8.2 |
| Галлюциногены | 91 | 1.8 | 23 | 1.4 | 114 | 1.7 |
| Другие вещества или смесь веществ | 1,405 | 27.7 | 459 | 26.8 | 1,864 | 27.5 |
| Предшествовавший психозу диагноз | ||||||
| Психические расстройства, связанные с употреблением ПАВ | 759 | 44.4 | 2,179 | 42.9 | 2,938 | 43.3 |
| Синдром дефицита внимания и гиперактивности | 154 | 3.0 | 28 | 1.6 | 182 | 2.7 |
| Расстройства личности | 831 | 16.4 | 464 | 27.1 | 1,296 | 19.1 |
| Униполярная депрессия | 426 | 8.4 | 262 | 15.3 | 688 | 10.1 |
| Тревожные расстройства | 210 | 4.1 | 144 | 8.4 | 354 | 5.2 |
| Аутизм | 25 | 0.5 | 3 | 0.2 | 28 | 0.4 |
| Расстройства пищевого поведения | 4 | 0.1 | 43 | 2.5 | 47 | 0.7 |
| Самоповреждения, предшествовавшие психозу | 1,165 | 22,9 | 592 | 34,6 | 1757 | 25,9 |
Доля пациентов, подвергшихся трансформации психоза
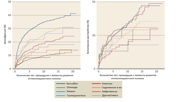
20-летняя степень трансформации интоксикационных психозов в шизофрению или биполярное расстройство в исследуемой когорте составила 32,2% (рис. 1). Коэффициенты конверсии составили 26.0% для шизофрении и 8.4% для биполярного расстройства. На рис. 2 показаны коэффициенты конверсии, характерные как для шизофрении, так и биполярного расстройства с самым высоким коэффициентом конверсии - 41,2% (объединенный - 47,4%), который наблюдался в случаях с психозами, индуцированными приемом каннабиса. Этот показатель стал самым высоким, среди всех ПАВ. Показатели для других веществ оказались на уровне 27,8% для галлюциногенов, 35,0% для других веществ или их комбинации, 32,3% для амфетаминов, 20,2% для кокаина, 19,9% для пациентов с психозом вызванным веществами с седативным действием, 19,9% для опиоидов, и 22,1% для алкоголя.
Рис. 1 Показатели последующей трансформации психоза, связанного с употреблением психоактивных веществ в шизофрению или биполярное расстройство

Риск конверсии в исследуемых случаях по отношению к субъектам сравнения
В таблице 2 приведены коэффициенты риска для перехода к шизофрении или биполярному расстройству для лиц с ППАВ относительно субъектов сравнения. Соотношение рисков при переходе в шизофрению составляло 77,3. Наибольший риск был отмечен для психозов, вызванных каннабисом, с коэффициентом риска 101,7. Оставшиеся типы психозов, выявляли коэффициенты риска от 23,4 для психоза, вызванного опиоидами, до 79,3 для психозов, вызванных амфетаминами. Величина риска трансформации в биполярное расстройство по сравнению с субъектами сравнения, составила 24,4. Не было обнаружено никаких достоверных указаний на то, что какое-либо вещество сильнее чем другие связано с риском трансформации в биполярное расстройство. На рисунках 1 и 2 приведены общие коэффициенты конверсии для шизофрении и биполярного расстройства и показатели для каждой категории веществ. Было обнаружено, что 50% трансформаций в шизофрению произошло в течение 3,1 года, а 50% конверсий в биполярное расстройство произошло в течение 4,4 лет. Для шизофрении половина пациентов мужского пола, страдающих каннабис-индуцированным психозом, подверглись трансформации в течение 2,0 лет, а 50% женщин - в течение 4,4 лет.
Рис. 2 Показатели последующей трансформации психоза, связанного с употреблением психоактивных веществ в шизофрению или биполярное расстройство, ранжированные по типу вещества

Предикторы трансформации
Предикторы преобразования интоксикационных психозов в шизофрению или биполярное расстройство приведены в таблице 3. Было обнаружено, что с возрастом риск трансформации психозов, индуцированных ПАВ уменьшался, для БАР такой динамики отмечено не было. Расстройства, связанные с употреблением ПАВ (коэффициент риска - 1,19), расстройства личности (коэффициент риска - 1,29) и пищевого поведения (коэффициент риска - 1,73) имели значительную связь с риском трансформации в шизофрению. Среди лиц с психозами, вызванными психоактивными веществами, конверсия в биполярное расстройство статистически достоверно прогнозировалась предшествующими диагнозами расстройств личности (коэффициент риска - 1,46), униполярной депрессии (коэффициент риска - 2,03) и тревожных расстройств (коэффициент риска - 1,59). Предшествовавшие эпизоды самоповреждения были связаны с уменьшением риска трансформации в шизофрению (коэффициент риска - 0,80), но не к биполярному расстройству (коэффициент риска - 0,71). Напротив, эпизоды самоповреждений, возникавшие после развития интоксикационного психоза, говорили в пользу более высокого риска перехода в шизофрению и биполярное расстройство с коэффициентами риска 1,92 и 1,60, соответственно.
Каннабис и шизофрения
Исследования показали, что употребление каннабиса и развитие индуцированного им психоза увеличивают риск трансформации в шизофрению и ускоряет наступление ее дебюта. Это соответствует выводу авторов о том, что 47,4% пациентов с каннабис-индуцированным психозом, подверглись трансформации в шизофрению и что эта частота почти вдвое превышает риск конверсии по сравнению с психозами, вызванными другими веществами. Полученные данные согласуются с выводами другого недавнего реестрового исследования, в котором среди спектра различных ПАВ, только каннабис был выделен как предиктор развития шизофрении. Из-за высокого коэффициента конверсии, также показанного и в других исследованиях, было высказано предположение, что психоз, вызванный каннабисом, не имеет различий от дебюта шизофрении. Были высказаны различные возможные причины для столь высокой распространенности шизофрении среди лиц, употребляющих каннабиноиды. Некоторые ученые считают, что первоначально выставленный диагноз каннабис-индуцированного психоза, на самом деле может являться проявлением шизофрении, а постановке правильного диагноза в таком случае мешает наличие зависимости. Другие же высказываются в пользу разделения этих двух диагнозов. Согласно этой гипотезе, высокий коэффициент конверсии не является признаком неправильного диагноза, а скорее указывает на то, что психоз, вызванный употреблением каннабиноидов, является одним из шагов на пути к развитию шизофрении и поэтому его можно использовать в качестве маркера. В данном исследовании в течение первых трёх лет произошло 50% трансформаций в шизофрению, однако оставшаяся половина случаев продолжала конверсию более равномерно в течение многих лет, предполагая установку других диагнозов. Если большинство случаев каннабис-индуцированного психоза, на самом деле являются неправильно диагностированным дебютом шизофрении, трансформация не происходила бы в течение столь длительного периода времени. Теория о том, что существует конкретная связь между каннабисом и шизофренией, также подтверждается доказательствами дозозависимой связи между потреблением каннабиса и риском шизофрении. Поэтому психоз, вызванный каннабисом, должен считаться важным фактором риска развития шизофрении.
Таб. 3 Предикторы последующей трансформации психоза, связанного с употреблением психоактивных веществ в шизофрению или биполярное расстройство
a Датские законы запрещают разглашать точное количество случаев в диапазоне 0
Преобразование в биполярное расстройство
Психозы, индуцированные алкоголем, каннабисом или седативными препаратами были в большей степени связаны с повышенным риском трансформации в биполярное расстройство, по сравнению с субъектами сравнения. 9,9% пациентов с алкогольными психозами, подверглись трансформации в БАР. В предыдущих подобных исследованиях данный показатель соотвествовал 5%. Хотя конверсия в БАР у пациентов с индуцированными ПАВ психозами происходит намного реже, чем в шизофрению, в случае алкогольных психозов таких различий не наблюдалось. Частота трансформации определялась на уровне 9,9% для биполярного расстройства и 13,9% для шизофрении.
Факторы риска трансформации
Среди пациентов с интоксикационными психозами трансформация в шизофрению чаще всего наблюдалась в возрастной группе от 16 до 25 лет, наименьший риск имела группа старше 51 года. Это подтверждает данные о том, что молодые люди более подвержены особому риску перехода к шизофрении. В ситуации с БАР возрастное распределение было более четким, более высокий риск конверсии наблюдался в группе лиц старше 51 года. Это говорит о необходимости мониторинга таких пациентов вне зависимости от их возраста. Мужчины имели более высокий риск трансформации в шизофрению - такое же гендерное распределение наблюдается и в общей популяции. Противоположные данные были обнаружены в отношении перехода к биполярному расстройству, где мужчины подвергались меньшему риску, что не отражает гендерное распределение БАР в популяции. Это, в сочетании с более быстрой трансформацией в БАР, наблюдающейся у женщин, предполагает, что женщины подвержены особенно высокому риску конверсии по сравнению с мужчинами. Большинство пациентов с шизофренией или биполярным расстройством имеют и другие диагнозы в предшествующем ППАВ анамнезе. Им могут предшествовать такие расстройства, как СДВГ, расстройства личности, униполярная депрессия, тревожные расстройства, аутизм и расстройства пищевого поведения. Был обнаружен значительно более высокий риск трансформации в шизофрению у пациентов, с диагностированными ранее психическими расстройствами, связанными с употреблением ПАВ, расстройством личности или расстройствами пищевого поведения. Авторы показали, что пациенты с ранее имевшимся диагнозом тревожного расстройства, униполярной депрессии или расстройства личности имели более высокий риск трансформации в биполярное расстройство. Клиническое представление о расстройствах пищевого поведения часто включает в себя психотические особенности, связанные с самооценкой и эти симптомы могут быть предвестниками шизофрении. Было показано, что и пациенты с шизофренией или БАР и лица пережившие ППАВ довольно часто обнаруживают суицидные тенденции и склонность к самоповреждающему поведению. Самоповреждающее поведение, возникавшее после психоза сочеталось с повышенным риском трансформации в БАР и шизофрению, что значительно повышает риск суицида. Последующее наблюдение пациентов перенесших ППАВ может помочь предотвратить попытки самоповреждения или самоубийства.
Подготовила: Чеснокова Ольга
Источник: Starzer M. S. K., Nordentoft M., Hjorthøj C. Rates and Predictors of Conversion to Schizophrenia or Bipolar Disorder Following Substance-Induced Psychosis //American Journal of Psychiatry. - 2017.
Дорогой читатель, в благодарность ты можешь материально поддержать наш проект или конкретно автора данной статьи, написав его фамилию в сопроводительном письме денежного перевода. Или можно просто щёлкнуть по рекламе в любом месте сайта 🙂
Такая поддержка являются пока единственным способом развития нашего проекта.
Сбербанк - 5469 5500 1827 1533 ЯндексДеньги - 410011063875586 Сбербанк - 5469 5500 1827 1533 ЯндексДеньги - 410011063875586 Сбербанк - 5469 5500 1827 1533 ЯндексДеньги - 410011063875586
Добавить комментарий Отменить ответ
Этот сайт использует Akismet для борьбы со спамом. Узнайте, как обрабатываются ваши данные комментариев.
Читайте также:
