Даптомицин
Добавил пользователь Евгений Кузнецов Обновлено: 27.01.2026
Даптоміцин — антибактеріальний засіб для системного застосування. Інші антибактеріальні засоби.
Показання
Даптоміцин-Віста показаний для лікування наступних інфекцій:
- у дорослих та дітей (віком від 1 до 17 років) з ускладненими інфекціями шкіри та м’яких тканин (ІШМТ);
- у дорослих пацієнтів з правостороннім інфекційним ендокардитом (ІЕ), спричиненим Staphylococcus aureus;
- у дорослих та дітей (віком від 1 до 17 років) із бактеріємією, спричиненою Staphylococcus aureus.
Протипоказання
Підвищена чутливість до даптоміцину або до будь-якої із допоміжних речовин.
Побічні дії
Часті побічні рекакції: грибкові інфекції, інфекції сечовивідних шляхів, інфекції, спричинені грибами роду Candida; анемія; тривожність, безсоння; запаморочення, головний біль; артеріальна гіпертензія, артеріальна гіпотензія; гастроінтестинальний і абдомінальний біль, нудота, блювання, запор, діарея, метеоризм, здуття та відчуття розтягнення живота; відхилення результатів печінкових проб від норми 2 (підвищення рівня аланінамінотрансферази (АЛТ), аспартатамінотрансферази (АСТ) або лужної фосфатази (ЛФ); висипання, свербіж; біль у кінцівках, підвищений рівень креатинфосфокінази (КФК) 2 у сироватці крові; реакції у місці введення, пірексія, астенія.
Особливості застосування
Застосування у період вагітності або годування груддю
Даптоміцин не слід застосовувати у період вагітності, окрім випадків явної необхідності, тобто тільки якщо потенційна користь переважає можливий ризик.
Грудне годування слід припинити у разі застосування даптоміцину жінкам, які годують груддю.
Даптоміцин показаний дітям віком від 1 до 17 років з ускладненими інфекціями шкіри та м’яких тканин (ІШМТ), а також дітям віком від 1 до 17 років із бактеріємією, спричиненою Staphylococcus aureus, що асоційована із ускладненими ІШМТ.
Здатність впливати на швидкість реакції при керуванні автотранспортом або іншими механізмами
Досліджень щодо здатності керувати автомобілем та працювати з механізмами не проводилося.
Передозування
У разі передозування рекомендована підтримуюча терапія. Даптоміцин повільно виводиться з організму шляхом гемодіалізу (приблизно 15% дози, що застосовується, виводиться понад 4 години) або шляхом перитонеального діалізу (приблизно 11% дози, що застосовується, виводиться понад 48 годин).
Умови зберігання
Зберігати в оригінальній упаковці при температурі 2–8ºС.
Зберігати у недоступному для дітей місці.
Зверніть увагу!
Опис препарату Даптоміцин на цій сторінці — спрощена авторська версія сайту apteka911, створена на підставі інструкції/ій по застосуванню. Перед придбанням або використанням препарату ви повинні проконсультуватися з лікарем і ознайомитися з оригінальною інструкцією виробника (додається до кожної упаковки препарату).
Інформація про препарат надана виключно з ознайомлювальною метою і не має бути використана як керівництво до самолікування. Тільки лікар може прийняти рішення про призначення препарату, а також визначити дози та способи його застосування.
Форма випуску: ліофілізований порошок для розчину для ін'єкцій або інфузій по 350 мг, 1 флакон з порошком у пачці
Склад: 1 флакон містить 350 мг даптоміцину
Форма випуску: ліофілізований порошок для розчину для ін'єкцій або інфузій по 350 мг, 1 флакон з порошком у пачці
Склад: 1 флакон містить 350 мг даптоміцину
Форма випуску: ліофілізований порошок для розчину для ін'єкцій або інфузій по 500 мг, по 1 флакону у пачці
Склад: 1 флакон містить 500 мг даптоміцину
Форма випуску: ліофілізований порошок для розчину для ін'єкцій або інфузій по 500 мг, по 1 флакону у пачці
Склад: 1 флакон містить 500 мг даптоміцину
УВАГА! Увага! Ціни актуальні лише при оформленні замовлення в електронній медичній інформаційній системі Аптека 9-1-1. Ціни на товари при купівлі безпосередньо в аптечних закладах-партнерах можуть відрізнятися від тих, що зазначені на сайті!
Даптомицин (Daptomycin)
Приведенная научная информация является обобщающей и не может быть использована для принятия решения о возможности применения конкретного лекарственного препарата.
Владелец регистрационного удостоверения:
Произведено:
Лекарственные формы
Форма выпуска, упаковка и состав препарата Даптомицин
Лиофилизат для приготовления раствора для инфузий от светло-желтого до светло-коричневого цвета.
| 1 фл. | |
| даптомицин | 350 мг |
Вспомогательные вещества: натрия гидроксида раствор 3.5М - до рН 4.0-5.0.
флакон (1) - картонная пачка.
Лиофилизат для приготовления раствора для инфузий от светло-желтого до светло-коричневого цвета.
| 1 фл. | |
| даптомицин | 500 мг |
Вспомогательные вещества: натрия гидроксида раствор 3.5М - до рН 4.0-5.0.
флакон (1) - картонная пачка.
Фармакологическое действие
Антибиотик, циклический липопептид природного происхождения. Активен только в отношении грамположительных бактерий.
Даптомицин в присутствии ионов кальция связывается с клеточной мембраной (как в фазе роста бактериальной клетки, так и в состоянии покоя), вызывает ее деполяризацию, что приводит к стремительному ингибированию синтеза белка, ДНК и РНК и гибели клетки с незначительным лизисом.
In vitro даптомицин быстро проявляет бактерицидную активность (зависимую от концентрации) в отношении чувствительных грамположительных микроорганизмов. In vivo при однократном применении (в дозе эквивалентной 4 мг/кг и 6 мг/кг 1 раз/сут у человека) соотношение AUC/МИК и C max /МИК коррелировали с эффективностью и прогнозируемым бактерицидным действием.
В группу высокочувствительных микроорганизмов, для которых МИК (согласно Европейскому комитету по определению чувствительности к антибиотикам, EUCAST) даптомицина составляет ≤ 1 мг/л входят: Staphylococcus aureus, Staphylococcus haemolyticus, коагулаза-негативные стафилококки, Streptococcus agalactiae, Streptococcus dysgalactiae subsp equisimilis, Streptococcus pyogenes, стрептококки группы G, Clostridium perfringens, Peptostreptococcus spp.
В группу резистентных микроорганизмов, для которых МИК (согласно EUCAST) даптомицина составляет > 1 мг/л, входят природно-устойчивые грамотрицательные микроорганизмы.
Даптомицин эффективен у больных с осложненными инфекциями кожи и мягких тканей (раневые инфекции, подкожные абсцессы), с бактериемией, вызванной Staphylococcus aureus , в т.ч. метициллинорезистентными штаммами (инфекционные эндокардиты, включая ранние послеоперационные эндокардиты)
Фармакокинетика
При применении в дозах 4-12 мг/кг 1 раз/сут путем в/в инфузии длительностью 30 мин в течение 14 дней фармакокинетика даптомицина в основном имеет линейный характер и не зависит от времени; C ss достигается через 3 дня.
В экспериментальных исследованиях даптомицин практически не всасывается в кровь при пероральном применении.
У здоровых добровольцев V d даптомицина в равновесном состоянии составляет около 0.1 л/кг, что соответствует распределению активного вещества прежде всего во внеклеточном пространстве. В экспериментальных исследованиях при однократном или повторном применении даптомицин преимущественно распределяется в хорошо васкуляризованных тканях и в меньшей степени проникает через ГЭБ и плацентарный барьер.
Даптомицин обратимо связывается с белками плазмы человека независимо от концентрации. У здоровых добровольцев связывание с белками составляет приблизительно 90%, в т.ч. при нарушении функции почек.
В исследованиях in vitro даптомицин не метаболизируется или незначительно метаболизируется путем микросомального окисления с участием изоферментов CYP450.
При применении даптомицина у человека в дозе 6 мг/кг (по данным анализа плазмы), а также при применении меченного радиоактивным изотопом даптомицина, образования его метаболитов не выявлено, что предполагает отсутствие системного метаболизма. Из 4-х неактивных метаболитов, обнаруженных в моче, два продукта метаболизма окислительной фазы I присутствовали в низких концентрациях.
Выводится преимущественно почками. Одновременный прием пробенецида не влияет на фармакокинетику даптомицина, что предполагает отсутствие активной канальцевой секреции даптомицина в почках. После в/в введения плазменный клиренс даптомицина составлял около 7-9 мл/ч/кг. Почечный клиренс – 4-7 мл/ч/кг. При однократном применении 78% даптомицина выводится с мочой и 5% - с калом. Около 50% от дозы препарата выводится в неизмененном виде с мочой.
При применении даптомицина в дозе 4 мг/кг в/в в течение 30 мин у больных с различной степенью нарушений функции почек (оценка по КК) отмечается снижение клиренса и повышение AUC даптомицина. У пациентов с тяжелыми нарушениями функции почек (КК < 30 мл/мин) и почечной недостаточностью, AUC и T 1/2 даптомицина повышаются примерно в 2-3 раза по сравнению со здоровыми добровольцами.
Показания активных веществ препарата Даптомицин
Осложненные инфекции кожи и мягких тканей у взрослых; бактериемия, вызванная Staphylococcus aureus, включая установленный или предполагаемый инфекционный эндокардит у взрослых.
ДАПТОМИЦИН (DAPTOMYCINUM)
Лекарственные препараты содержащие активное вещество ДАПТОМИЦИН


Фармакологические свойства
натуральный продукт класса циклических липопептидив, проявляет активность только в Гр (+) бактерий связывается (в присутствии ионов кальция) с клеточными мембранами бактерий и вызывает быструю деполяризацию мембранного потенциала клеток в фазе роста, и в стационарной фазе; потеря мембранного потенциала вызывает ингибирование протеина, ДНК и синтеза РНК, в результате чего погибает бактериальная клетка с ее незначительным лизисом; чувствительны вида: Staphylococcus aureus, Staphylococcus haemolyticus, коагулазоотрицательные стафилококки, Streptococcus agalactiae, Streptococcus dysgalactiae подвид equisimilis, Streptococcus pyogenes, стрептококки группы G (Clostridium perfringens, Peptostreptococcus spp) м/о; резистентные: Гр (-) м/о.
Показания ДАПТОМИЦИН
осложненные инфекции кожи и подкожных тканей у взрослых и детей (в возрасте от 1 до 17 лет); правостороннее инфекционный эндокардит, вызванный Staphylococcus aureus у взрослых, бактериемия, вызванная Staphylococcus aureus, в случае ассоциации с правосторонним инфекционным эндокардитом или осложненной инфекцией кожи и подкожных тканей у взрослых.
Применение ДАПТОМИЦИН
в/в медленно инфузионно в течение более 30 мин. или в/в инъекция в течение 2 мин.; осложненные инфекции кожи и подкожных тканей, вызванных Staphylococcus aureus, без бактериемии рекомендуемая доза — 4 мг/кг 1 раз/сут в течение 7-14 дней или пока инфекция не будет устранена; осложненные инфекции кожи и мягких тканей, вызванные Staphylococcus aureus, с сопутствующей бактериемией 6 мг/кг однократно каждые 24 ч., продолжительность лечения — более 14 суток в соответствии с ожидаемым риском осложнений у каждого отдельного пациента; диагностированный или подозреваемый правосторонний инфекционный эндокардит, вызванный Staphylococcus aureus рекомендуемая доза — 6 мг/кг 1 раз/сут. Дети (в возрасте от 1 до 17 лет) с осложненными инфекциями кожи и подкожных тканей: от 12 до 17 лет — 5 мг/кг 1 раз / сут, от 7 до 11 лет — 7 мг/кг 1 раз/сут, от 2 до 6 лет — 9 мг/кг 1 раз / сут, от 1 до 2 лет — 10 мг / кг 1 раз/сут. Курс лечения 14 дней. Детям (7 до 17 лет) в/в инфузии в течение 30 мин детям в возрасте от 1 до 6 лет в/в инфузии в течение 60 мин.
Противопоказания
повышенная чувствительность к даптомицину.
Побочные эффекты
грибковые инфекции, инфекции мочевыводящих путей, инфекции, вызванные грибами рода Candida, фунгемия; анемия, тромбоцитемия, эозинофилия, повышение международного нормализованного соотношения, увеличение протромбинового времени; снижение аппетита, гипергликемия, электролитный дисбаланс, тревожность, бессонница, головокружение, головная боль, парестезии, нарушения вкусовых ощущений, тремор вертиго, наджелудочковая тахикардия, экстрасистолы, АГ, артериальная гипотензия, приливы; гастроинтестинальный и боль в животе, тошнота, рвота, запор, диарея, метеоризм, вздутие, ощущение растяжение живота, диспепсия, глоссит, отклонения результатов печеночных проб от нормы (повышение уровня АлАТ, АсАТ, ЩФ), желтуха; сыпь, зуд, крапивница; боль в конечностях, повышенный уровень КФК в плазме крови, миозит, повышенный уровень миоглобина, мышечная слабость, боль, артралгия, повышенный уровень ЛДГ в плазме крови; почечная недостаточность (дисфункция, декомпенсация) повышение уровня креатинина в сыворотке; вагинит; реакции в месте введения, пирексия, астения усталость, боль неизвестной частоты: Clostridium difficile-ассоциированная диарея, гиперчувствительность (ангионевротический отек, медикаментозные высыпания с эозинофилией и системными проявлениями DRESS, легочная эозинофилия), анафилаксия, реакции на инфузии (тахикардия, одышка (свистящее дыхание), лихорадка, озноб, системная гиперемия, вертиго, обмороки, металлический привкус во рту), периферическая невропатия; эозинофильная пневмония, кашель, рабдомиолиз.
Даптомицин: возможности и перспективы применения в клинической практике

Ключевые слова
Полный текст
Инфекции, вызываемые полирезистентными грам(+)-микроорганизмами, несмотря на комплекс мероприятий, направленных на ограничение их распространения, представляют собой важную проблему. В отличие от внебольничных штаммов, обычно проявляющих высокую чувствительность к оксациллину (стафилококки) и аминопенициллинам (энтерококки), нозокомиальные штаммы характеризуются возрастающей частотой устойчивости ко многим классам антибиотиков [1].
В настоящее время в арсенале врачей имеется достаточно большой набор препаратов, потенциально активных в отношении полирезистентных грам(+)-кокков. Вместе с тем это разнообразие во многом кажущееся, так как оно далеко не всегда обеспечивает ожидаемую клиническую эффективность. В немалой степени это связано с несоответствием фармакокинетических параметров того или иного препарата локализации и особенностям конкретного инфекционного очага [2].
До 2000 г. фактически единственной группой антибиотиков, сохранявших высокую активность против полирезистентных грам(+)-микроорганизмов были гликопептиды, а точнее их основной представитель — ванкомицин. При этом, применение данного препарата имеет целый ряд ограничений, таких как распространение в ряде стран устойчивости к нему стафилококков и энтерококков, медленный (хотя формально и бактерицидный) эффект, неоптимальная фармакокинетика, значительное снижение эффективности при повышении минимальной подавляющей концентрации даже в пределах формального диапазона чувствительности, относительно высокая частота нежелательных лекарственных реакций (НЛР), необходимость мониторинга сывороточной концентрации и индивидуализации режима дозирования [3].
В существующих условиях внедрение в лечебную практику новых препаратов, в известной степени свободных от указанных выше недостатков, является крайне важным фактором улучшения результатов лечения больных с тяжелыми инфекциями. Одним из таких препаратов является даптомицин.
ИСТОРИЯ СОЗДАНИЯ ДАПТОМИЦИНА
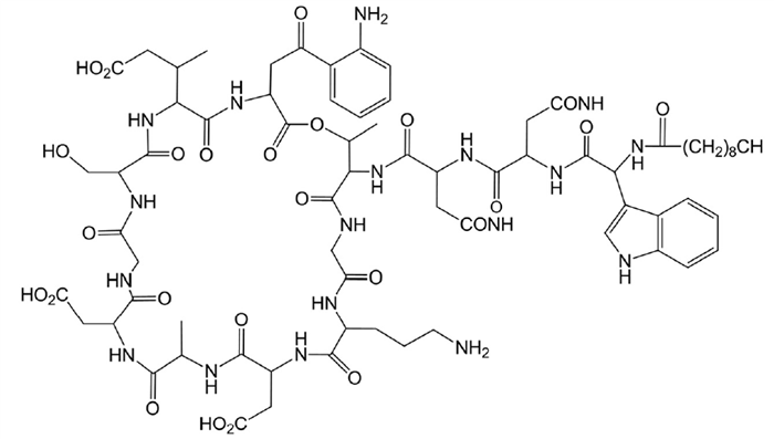
Даптомицин был получен из Streptomyces roseosporus в ходе изучения профилей антимикробной активности веществ, продуцируемых почвенными микроорганизмами (рис. 1). Изначальная разработка препарата началась в компании Eli Lilly в 1985 г. под рабочим наименованием LY146032. При этом даптомицин показал высокую эффективность в 19 клинических исследованиях (I фаза) и 2 исследованиях (II фаза), проведенных в конце 1980-х – начале 1990-х гг. [1].

Рис. 1. Химическая структура даптомицина
Однако случаи неэффективности терапии при бактериемии и инфекционном эндокардите, а также моделирование фармакокинетических и фармакодинамических параметров заставили предположить, что используемые дозы являются неадекватно низкими. Но при назначении увеличенных доз и режиме дозирования 2–3 раза в сутки были выявлены участившиеся случаи НЛР со стороны скелетной мускулатуры в виде повышения уровня креатинфосфокиназы (КФК), мышечной слабости и миалгии. Несмотря на обратимый характер вышеуказанных НЛР, дальнейшая программа развития препарата компанией Eli Lilly была остановлена [1, 4].
МЕХАНИЗМ ДЕЙСТВИЯ И СПЕКТР АКТИВНОСТИ ДАПТОМИЦИНА
Механизм действия даптомицина является поэтапным процессом (рис. 2). Его антибактериальная активность связана с нарушением функции цитоплазматической мембраны без проникновения препарата внутрь микробной клетки. Большое количество гидрофобных компонентов сконцентрировано на одном конце молекулы даптомицина, тогда так на противоположном конце локализованы нейтральные и анионные остатки. Благодаря такому строению массивный гидрофобный (липофильный) «хвост» взаимодействует с ацильными остатками бактериальной мембраны. Причем взаимодействие молекулы даптомицина с ней является кальцийзависимым: ионы кальция нейтрализуют отрицательный заряд анионных остатков и таким образом облегчают взаимодействие молекулы антибиотика с мембраной [1, 5].

Рис. 2. Механизм действия даптомицина
При встраивании молекулы даптомицина в бактериальную мембрану нарушается ее структура, что в свою очередь приводит к дальнейшему усилению пенетрации препарата в клеточную мембрану с последующей олигомеризацией молекул даптомицина и формированием неспецифичных пор. Это приводит к выходу катионов (в основном ионов калия) из микробной клетки, деполяризации мембраны и, как следствие, ингибированию синтеза макромолекул и быстрой гибели бактерии. Причем, несмотря на быструю гибель микробной клетки, ее клеточная стенка не разрушается и компоненты цитоплазмы не высвобождаются во внешнюю среду.
Даптомицин in vitro активен в отношении практически всех грам(+)-бактерий, включая штаммы, устойчивые к другим классам антибиотиков. Так, препарат активен против стафилококков, включая метициллинорезистетные штаммы S. aureus и коагулазонегативных стафилококков, а также штаммы S. aureus со сниженной чувствительностью к ванкомицину; против энтерококков, включая ванкомицинорезистентные штаммы; против стрептококков, включая штаммы зеленящих стрептококков и пневмококков, устойчивых к пенициллинам и фторхинолонам; против бактерий родов Bacillus, Listeria, Corynebacterium. Также активен in vitro в отношении некоторых анаэробов, таких как клостридии и пропионобактерии [1].
Отсутствие эффекта у даптомицина в отношении грам(–)-бактерий связано с наличием у них наружной мембраны, через которую молекула препарата не может проникнуть.
ПРИМЕНЕНИЕ ДАПТОМИЦИНА В КЛИНИЧЕСКОЙ ПРАКТИКЕ
На настоящий момент даптомицин официально разрешен к применению в дозе 4 мг/кг 1 раз в сутки при осложненных инфекциях кожи и мягких тканей и в дозе 6 мг/кг 1 раз в сутки при бактериемии, вызванной S. aureus, включая правосторонний эндокардит. Указанная длительность терапии составляет 7–14 дней для инфекций кожи и мягких тканей и 2–6 недель при стафилококковой бактериемии и эндокардите [4, 6].
Эффективность даптомицина при лечении осложненных инфекций кожи и мягких тканей оценивалась в нескольких крупных многоцентровых рандомизированных исследованиях, в которые суммарно было включено 1092 пациента. Терапия сравнения была представлена антистафилококковыми пенициллинами (клоксациллин, оксациллин, нафциллин, флуклоксациллин) или при риске метициллинорезистентных штаммов S. aureus — ванкомицином. Общая частота клинической и микробиологической эффективности была эквивалентна в исследуемой и контрольной группах [7].
В рандомизированном многоцентровом клиническом контролируемом исследовании оценивалась эффективность даптомицина в дозе 6 мг/кг в сутки при бактериемии и эндокардите, вызванном S. aureus. Контрольная группа пациентов получала терапию антистафилококковым пенициллином в сочетании с гентамицином, а при выявлении метициллинорезистентных штаммов S. aureus назначали ванкомицин. Всего в исследовании было рандомизировано 246 пациентов. Даптомицин не уступал терапии сравнения по клинической эффективности при бактериемии и правостороннем эндокардите, вызванным S. aureus (44,2 и 41,7% соответственно). Подгрупповой анализ показал преимущество даптомицина перед стандартной терапией при инфекциях, вызванных метициллинорезистентными штаммами S. aureus [1].
Поскольку даптомицин в основном выводится с мочой, при клиренсе креатинина
Рекомендованные дозы даптомицина в зависимости от функции
Осложненные инфекции кожи и мягких тканей
4 мг/кг каждые 24 ч 4 мг/кг каждые 48 ч
6 мг/кг каждые 24 ч 6 мг/кг каждые 48 ч
В целом, есть ограниченные данные по клинической эффективности даптомицина при энтерококковых инфекциях, включая бактериемию, эндокардит, инфекции кожи и мягких тканей, инфекции костей и суставов, инфекции мочевых путей, фебрильную нейтропению. Это позволяет в условиях крайне ограниченного выбора потенциально активных в отношении данного микроорганизма антибиотиков рассматривать даптомицин как одну из интересных опций для терапии [1, 8].
Были проанализированы 67 случаев применения даптомицина при остеомиелите. Из них выздоровление наступило у 42 (63%) пациентов, у 13 — отмечено улучшение состояния, у 7 — терапия оказалась неэффективной, а в 5 случаях результат было невозможно оценить. На основании данного анализа был сделан вывод, что даптомицин может стать одним из препаратов выбора для терапии остеомиелита, но для этого необходимо проведение дополнительных проспективных исследований. Похожий анализ был проведен в отношении септического артрита, в результате также были сделаны выводы о потенциальной возможности применения даптомицина по этому показанию [9, 10].
В сравнении с большинством других антибиотиков, даптомицин более эффективно предотвращает адгезию микроорганизмов к различным поверхностям и формирование биопленок. Более того, даптомицин в большей степени, чем другие препараты, ингибирует дальнейшую колонизацию бактериями уже существующих биопленок. Также в экспериментах in vitro даптомицин был значительно активнее других антибиотиков против S. aureus и S. epidermidis, находящихся в составе биопленок [11].
ОЦЕНКА БЕЗОПАСНОСТИ ДАПТОМИЦИНА
Согласно данным рандомизированных клинических исследований, наиболее частые НЛР: запор, диарея, тошнота, рвота, анемия, локальные реакции в месте введения и головная боль. В целом, частота развития НЛР была сопоставима у пациентов, получавших даптомицин и препараты сравнения, со статистически незначимой более высокой частотой нежелательных реакций в группе сравнения [12].
Очень важно отметить, что представлявшая проблему при частом введении препарата токсичность в отношении мышечной ткани (мышечная слабость, повышение уровня КФК) при режиме дозирования 1 раз в сутки отмечалась не чаще, чем в контрольной группе. Так, из 534 пациентов с осложненными инфекциями кожи и мягких тканей, получавших даптомицин в рандомизированных клинических исследованиях, миопатии были зафиксированы только в 0,2 % случаев и полностью разрешились после окончания терапии [1].
Учитывая потенциальные микробиологические преимущества более высокодозных режимов, интерес представляют данные по переносимости высоких доз. Так, согласно данным исследований [1], у одного пациента, получавшего 12 мг/кг в сутки даптомицина в течение 41 дня, и у 12 здоровых добровольцев, получавших такую же дозу препарата в течение 14 дней, не было зафиксировано каких-либо токсических проявлений [1].
ЗАКЛЮЧЕНИЕ
С появлением даптомицина практические врачи получили возможность проведения эффективной терапии инфекций, вызванных полирезистентными грам(+)-возбудителями. Особенно важно наличие у препарата выраженной бактерицидной активности. Дополнительным преимуществом даптомицина является его активность в отношении не только активно растущих и размножающихся бактериальных популяций, но и в отношении микробных клеток в составе биопленок.
Перечисленные особенности препарата более ценны при таких трудно поддающихся терапии заболеваниях, как инфекции кровотока, включая инфекционный эндокардит, и инфекции кожи и мягких тканей, сопровождающиеся бактериемией. Совершенно очевидно, что в ближайшем будущем даптомицин также займет важное место и при лечении инфекций других локализаций, вызванных полирезистентными грам(+)-возбудителями, в частности, инфекций костно-суставной системы.
В то же самое время необходимо помнить о возможности развития устойчивости к любому классу антимикробных препаратов, в связи с чем нужно относиться крайне ответственно к соблюдению правил инфекционного контроля, необходимой длительности терапии и применения адекватных доз препарата.
ИСПОЛЬЗОВАНИЕ ДАПТОМИЦИНА В ТЕРАПИИ ГРАМПОЛОЖИТЕЛЬНЫХ ИНФЕКЦИЙ У ДЕТЕЙ С ГЕМАТОЛОГИЧЕСКИМИ ЗАБОЛЕВАНИЯМИ
Проведено исследование эффективности и токсичности даптомицина в терапии грамположительных инфекций у детей с гематологическими заболеваниями. Было обследовано 12 пациентов (4 девочки и 8 мальчиков) с признаками инфекционных форм патологий, вызванных грамположительными патогенами. Staphylococcus aureus был высеян в 66,6% случаев (8 пациентов), при этом у 3 из них определялись метициллин-резистентные штаммы; Staphylococcus epidermidis — в 16,6% случаев (2 пациента); Enterococcus faecalis — в 16,6% (2 пациента). К моменту развития инфекционных осложнений 7 пациентов (58,3%) получали антибиотики, у остальных 5 пациентов даптомицин использовали в качестве первой линии терапии. Препарат назначали в средней дозе 5,8 мг/кг/сут. С целью выявления токсичности препарата проводили мониторинг биохимических показателей в крови (фибриноген, АЛТ, АСТ, ЛДГ, КФК, креатинин). Полное разрешение инфекционных осложнений произошло в течение 12,1 + 4,3 дней. Средняя длительность терапии даптомицином составила 14,2 + 3,2 дней. На фоне проведения терапии отмечали достоверное снижение в динамике уровня фибриногена (6,4 + 1,1 г/л и 3,1 + 0,9 г/л, р = 0,05) и С-реактивного белка (СРБ) — 12,5 + 7,1 мг/дл и 3,4 + 1,8 мг/дл, р = 0,04. Побочные эффекты препарата не были отмечены ни у одного из пациентов. Проведенное исследование позволило сделать вывод, что даптомицин является эффективным и безопасным препаратом для лечения грамположительных инфекций у детей с гематологической патологией даже при наличии нейтропении.
Ключевые слова
Об авторах
Российская детская клиническая больница Минздравсоцразвития, Москва
Россия
Дышлевая Зарема Михайловна, заведующая отделением гематологии
Список литературы
1. Sakoulas G., Moise-Broder P. A., Schentag J. Relationship of MIC and bactericidal activity to efficacy of vancomycin for treatment of methicillin-resistant Staphylococcus aureus bacteraemia. J. Clin. Microbiol. 2004; 42: 2398–2402.
2. Fowler V. G., Boucher H. W., Corey G. R. Daptomycin versus standart therapy for bacteriemia and endocarditis caused by Staphylococcus aureus. New Engl. J. Med. 2006; 355 (7): 653–665.
3. Nadrah K., Strle F. Antibiotic combinations with daptomycin for treatment of Staphylococcus aureus infections. Chemotherapy Research and Practice. 2011; art619321.
4. Hair P. I., Keam C. J. Daptomycin: a review of its use in the management of complicated skin and soft tissue infections and Staphylococ cus aureus bacteraemia. Drugs. 2007; 67 (10): 1483–1512.
5. Silverman J. A., Oliver N., Andrew T. Resistance studies with duptomicin. Antimicrob Agents Chemother. 2001; 45: 1799–1802.
6. Silverman J. A., Perlmutter N. G., Shapiro H. M. Correlation of daptomicin bactericidal activity and membrane depolarization in Staphylococcus aureus. Antimicrob Agents Chemother. 2003; 47 (8): 2538–2344.
7. Hobbs K., Miller K., O’Neill A. J. Consequences of daptomicinmediated membrane damage in Staphylococcus aureus. J. Antimicrob Chemother. 2008; 62 (5): 1003–1008.
8. Pertel P. E., Bernando P., Fogarty C. Effects of prior effective therapy on the efficacy of daptomycin and ceftriaxone for the treatment of community-acquired pneumonia. Clin. Infect Dis. 2008; 46 (8): 1142–1151.
9. Seaton R. A. Daptomycin: rationale and role in the management in skin and soft tissue infections. J. Antimicrob Chemother. 2008; 62 (Suppl 3): 15–23.
10. Canton R., Chaves R., Johnson A. A potential role for daptomycin in enterococcal infections: what is the evidence? J. Antimicrob. Chemother. 2010; 65: 1126–1136.
11. Marco F., Armero E., Amat E. Daptomycin is effective in treatment of experimental endocarditis due to methicillin-resistant and glycopeptide-intermediate Stahylococcus aureus. Antimicrob Agents Chemother. 2008; 52 (7): 2538–2543.
12. Weis F., Beiras-Fernandez A., Sodian R. Daptomycin for eradication of infection with a methicillin-resistant Staphylococcus aureus in a biventricular assist devise recipient. Ann. Thorac. Surg. 2007; 84 (1): 269–270.
13. Gollnick H., Quist S. R. Effectancy and safety of daptomycin versus vancomycin or teicoplanin for the treatment of cSSTIs: a multicenter randomized assessor-blind trial. European Congress of Clinical Micro biology and Infectious Diseases. Vienna, Austeria. 2010.
14. Gonzalez-Ruiz A., Beiras-Fernandez A. Clinical experience with daptomycin in Europe: the first 2,5 years. J. Antimicrob Chemother. 2011; 66 (4): 912–919.
15. Popov A. F., Schmitto J. D., Tirilomis T. Daptomycin as a possible new treatment option for surgical management of Methiillin-resistant Staphylococcus aureus sternal wound infection after cardiac surgery. J. Cardiothorac Surg. 2010; 5 (1): 57.
16. Schmitto J. D., Popov A. F., Sossalla S. T. Daptomycin for treatment of methicillin-resistant Staphylococcus epidermidis saphenectomy wound infection after coronary artery bypass graft operation (CABG): a case report. J. Cardiothorac. Surg. 2009; 11 (4): 47.
17. Lamp K. C., Friedrich L. V., Mendez-Vigo L. Clinical experience with daptomycin for the treatment of patients with osteomyelitis. Am. J. Med. 2007; 120: 13–20.
18. Finney M. S., Crank C. W., Sergeti J. K. Use of daptomycin to treat drug-resistant Gram-positive bone and joint infection. Curr. Med. Res. Opin. 2005; 21: 1923–1926.
19. Abdel-Rahman S., Benziger S. M., Jacobs D. Single-dose pharmacokinetics of daptomicin in children with suspected or proved Grampositive infection. Pediatr. Infect. Dis. J. 2010; 27: 330–334.
20. Mohr J. F., Ostrovsky-Zeichner L. Pharmacokinetics evaluation of single-dose intravenous daptomycin in patients with termal burn injury. Antimicrob. Agemts. Chemother. 2008; 52 (5): 1891–1893.
21. Krieg J. E., Lindfield K., Friedrich L. Effectiveness and duration of daptomicin therapy in resolving clinical symptoms in the treatment in complicated skin and skinstructure infections. Curr. Med. Res. Opin. 2007; 23 (9): 2147–2156.
22. Lal Y., Assimacopoulos A. Two cases of daptomycin-induced eosinophilic pneumonia and chronic pulmonitis. Clin. Infect. Dis. 2010; 50: 737–740.
23. Miller B., Gray A., LeBlanc T. Acute eosinophilic pneumonia secondary to daptomycin. Сlin. Infect. Dis. 2010; 50 (11): 63–68.
24. Lewis J. S., Owens A., Cadena J. Emergence of daptomicin resistance in Enterococcus faecium during daptomicin therapy. Antimicrob Agents Chemother. 2005; 49: 1664–1665.
Читайте также:
