Наследственное поражение митрального клапана. Наследственное поражение корня аорты
Добавил пользователь Cypher Обновлено: 30.10.2025
Ответы на вопросы участников передачи "Наследственные заболевания аорты" от 10.01.2017 г.
На вопросы отвечает Соничева Наталья Александровна - врач-кардиолог, сотрудник научного комитета генетической лаборатории Healthin Code (Ла Корунья, Испания)
Гость 126: Какие наработки по таргентным препаратам в этой области и можно ли их применять в дестком возрасте Спасибо
Последние научные достижения показали эффективность лозартана, блокатора ангиотензин II рецептора тип АТ1. Поскольку было доказано, что трансформирующий ростовой фактор β ( TGFβ ) играет ключевую роль в развитии синдрома Марфана и Лойса-Дитца, оказывая разрушительную роль на сосуды гладкой мускулаторы и на интеграцию экстрацеллюлярного матрикса, то снижение его активности приводит к замедлению прогрессирования дилатации аорты. Ключевым регулятором латентного TGF активатора является тромбоспондин-1, который производится в ответ на активацию ангиотензина II рецептора тип АТ1. Лозартан является ингибитором АТ1 активатора, т.е. блокирует TGFβ -активацию путем ингибирования тромбоспондин-1 продукции. Через 12-47 месяцев было отмечано значительное улучшение и уменьшение прогрессирования дилатации аорты. Чем раньше и продолжительнее лечение, тем более выраженный эффект. При других синдромах специфической терапии пока не разработано.
Гость 94: В каком возрасте в основном проявляются симптомы синдрома Марфана?
Симптомы Марфана могут проявляться с младенческого возраста.
Первым симптомом может быть диссоциация массо-ростовых параметров, которая видна уже в первый год жизни, одним из первых признаков является дрожание радужки-признаки подвывиха хрусталика, также проявляющиеся во младенческом возрасте. Начиная с года постепенно прогрессирует развитие аневризмы аорты.
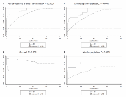
Нарастание клинических симптомов и их тяжесть зависят от типа и локализации мутации в гене фибриллина.
В докладе был показан пример при мутациях в экзонах 24-32, где клинические проявления и ослажнения на аорте появляются уже с рождения

Если мутации обнаруживаются в экзоне 25, то клиническая кардина во младенческом возрасте протекает наиболее тяжело и даже с летальными исходами. На графиках показаны возраст наступления выраженной дилатации аорты, митральной регургитации и разница в выживаемости этих детей и детей с мутациями в экзонах 24-32, которые также являются очень неблагоприятными.

Таким образом для оценки прогноза заболевания и прогрессирования клиники генетическая диагностика является очень важным диагностическим критерием.
Наталья Александровна, на Ваш взглад если в семье есть пациент с синдромом Марфана, есть ли необходимость тестировать генетически новорожденных, если нет явных признаков заболевания?
Если СМ диагностирован в семье у одного из родителей, то обязательно надо проводить генетическую диагностику у детей для раннего выявления синдрома. 50% детей в этом случае будут поражены (в связи с аутосомно-доминантным механизмом передачи). Если же у брата&сестры есть синдром Марфана, но родители здоровы, то это может быть мутация de novo , впервые появившаяся в семье. В этом случае нет необходимости обследования новорожденных. Мутации de novo встречаются при синдроме Марфана в 25% случаев.
Гость 102: Затрагивает ли болезнь Марфана центральную нервную систему?
Как правило ЦНС не вовлекается в патологический процесс, интеллект не страдает
Гость 86: Есть ли данные о сочетании синдрома Марфана с другими генетическими синдромами?
Мы ни разу не встречали в нашей клинической практике таких сочетаний
Гость 126: Нужно ли практическому врачу запоминать все гены в каких возможна мутация
Нет, не нужно. Но нужно помнить о необходимости проведения генетического исследования для таких пациентов
Гость 131: Зависит ли продолжительность жизни у пациентов с синдромом Элерса-Данло в зависимости от того какой тип наследования - аутосомно-доминантный или аутосомно рецессивный?
При синдроме Элерса-Данло тип наследования аутосомно-доминантный во всех случаях.
Наследственное поражение митрального клапана. Наследственное поражение корня аорты
Кардиопатии при синдроме Марфана, синдроме Муна, трисомии-9.
Синдром Марфана — комплекс наследственных (аутосомно-доминантное наследование) аномалий следующих органов и систем: 
• скелета — воронкообразная грудная клетка, куриная грудь, сколиоз, кифоз, изменения турецкого седла, ненормально длинные конечности — «пальцы паука», экзостозы, высокое небо; 
• мягких тканей — гипоплазия мускулатуры и жировой ткани, перерастяжимость сухожилий и суставов; 
• внутренних органов — врожденные пороки сердца, расширение подкожных вен, уменьшение числа долей легких; 
• глаз — сохранение папиллярной мембраны, миопия, отсутствие ресниц, большая роговица, голубые склеры; 
• внешнего вида — большой нос, невыраженный подбородок — птичье лицо, дисплазия ушных мочек, старческий вид; 
• неврологические проявления — разность рефлексов, пирамидные симптомы, нистагм, гидроцефалия, вегетативные нарушения, различная ширина зрачков с отсутствием их реакции на свет.
Синдром Марфана очень редко диагностируется у новорожденных. 
Поражение сердца у таких детей встречается часто. При этом синдроме описаны пороки сердца в виде диспла-зии трикуспидального клапана с регургитацией крови в правое предсердие.
 
Пролапс митрального клапана диагностируется у всех больных с синдромом Марфана, реже встречается пролапс трикуспидального клапана. Дилатация корня аорты наблюдается у всех новорожденных и имеет тенденцию к прогрессированию. Изменение аортального клапана с регургитацией крови наблюдается существенно реже. Нередко имеется сочетанное поражение митрального и трикуспидального клапанов. Характерная патологическая особенность при этом синдроме — миксоматозное утолщение митрального и трикуспидального клапанов, укорочение их хорд, а также дилатация корня аорты и легочной артерии. Гистологически определяются сильно разорванные эластические и коллагеновые волокна, они беспорядочно расположены и фрагментированы с увеличением интерстициальной субстанции. 
Младенческий синдром Марфана отличается клинически и морфологически от классического его проявления у юношей и взрослых.
Неонатальный синдром Марфана представляет собой сочетание арахнодактилии, внешних дисгармонических черт развития, пролапса обоих атриовентрикулярных клапанов и дилатации обоих аортальных и легочных корней. Морфологически находят миксоматозные наложения на клапанах, аневризму синуса Вальсальвы, миксоматозную ткань вокруг атриовентрикулярного узла.
Синдром Муна
Клиническая симптоматика синдрома Муна включает классическую пентаду признаков: олигофрения, ожирение, гипогонадизм, пигментная дегенерация сетчатки, полидактилия. Тип наследования аутосомно-рецессивный.
Синдром часто сочетается с патологией сердца — тетрада Фалло, дефект межжелудочковой перегородки. Для детей с синдромом Муна также характерна прогрессирующая гипертрофическая кардиомиопатия.
Синдром трисомии-9
Характеризуется микроцефалией, глубоко посаженными глазами, маленьким подбородком, гипоплазией гениталий, умственной отсталостью, аномалиями мозга и скелета.
Основные сердечные аномалии — открытый артериальный проток, дефект межжелудочковой перегородки, атрезия легочной артерии, коарктация аорты. Описано сочетание атриовентрикулярного канала с проявлениями трисомии-9 у новорожденного ребенка.
Информация на сайте подлежит консультации лечащим врачом и не заменяет очной консультации с ним. 
См. подробнее в пользовательском соглашении.
Аномалии сосудов. Наследственные заболевания соединительной ткани - синдром MARFAN
Одни генетически детерминированные нарушения поражают преимущественно артерии (некоторые касаются только аорты), другие поражают вены и лимфатические сосуды. При некоторых аномалиях нарушается развитие нескольких типов сосудов.
Заболевания соединительной ткани (дисплазии) подразделяют на две большие группы: (1) болезни, вызываемые мутациями в одном гене, которые детерминируют повреждение или каким-то образом повреждают компоненты внеклеточного матрикса; (2) болезни, вызываемые внешними факторами, поражающими внеклеточный матрикс, например ревматоидный артрит и системная красная волчанка. К первой группе относят и многие заболевания с поражением ССС. Подверженность к так называемым приобретенным заболеваниям соединительной ткани отчасти определяется генетически.
Некоторые из них служат причиной развития различных артериопатий. Синдром Williams — наследственное заболевание, вызываемое делецией генов в хромосоме 7q 11.23, включая и тот, который кодирует тропоэластии (ELN), описан далее. Наследуемый по аутосомно-доминантному типу надклаианный стеноз аорты, который проявляется такой же артериопатией, как и синдром Williams, ассоциирован с мутациями, затрагивающими только ELN.
 
При некоторых заболеваниях соединительной ткани кажется, что патология сосудов связана с ослаблением их стенки, например ломкость артерий, наблюдаемая при сосудистой форме синдрома Ehlers-Danlos, вызываемого мутациями гена, кодирующего проколлаген типа III, COI.3A1. Похожие патогенетические механизмы вызывают, вероятно, развитие атипичных случаев аневризмы аорты или пролапса клапана, наблюдаемых у больных с классической формой синдрома Ehlers-Danlos и несовершенным остеогенезом.
В то же время нарушения ССС, наблюдаемые при синдроме Marfan, вызванном мутациями гена, кодирующего фибриллин-1 (гликопротеин внеклеточного матрикса), не связаны со «слабостью» соединительной ткани. На оборот, большинство фенотииических особенностей обусловлено нарушениями регуляции активности трансформирующего фактора роста бета (ТСЕ-бета), которая обычно контролируется при связывании с фибриллином. Другие наследуемые по законам Менделя артериопатий, как было недавно показано, вызваны дефектами рецепторов TGF-P.
Синдром MARFAN
Это аутосомно-доминантное заболевание встречается довольно часто (2-3 случая на 10 тыс. чел.) среди представителей всех рас и этнических групп. Несмотря на установление генетических и биохимических основ заболевания, диагностика синдрома Marfan вне семей с классическими фенотипическими проявлениями базируется в основном на анализе клинических симптомов. Современные критерии разработаны с учетом пораженных органов и систем: органов зрения, скелета, сердца и аорты, других систем организма, а также семейного анамнеза.
Наличие более специфичных для синдрома Marfan проявлений, таких как дилатация аорты, расслоение аорты у молодых людей без АГ, эктопия хрусталика и эктазия твердой мозговой оболочки, очевидно, более важно с точки зрения диагностики, чем нарушения, характерные для других заболеваний соединительной ткани и встречающиеся в популяции в целом, например сколиоз, гипермобильность суставов, миопия и пролапс митрального клапана (ПМК).
К наиболее характерным нарушениям со стороны ССЗ относятся ПМК и дилатация синусов Valsalva. Клинические проявления этих нарушений в виде митральной peгургитации, аортальной регургитации и расслоения аорты и, при отсутствии лечения, становятся причиной большинства случаев ранней смерти, в результате средний возраст таких пациентов < 40-50 лет. У детей наблюдается тенденция к более тяжелым поражениям митрального клапана, тогда как поражения аорты прогрессируют и наиболее вероятны в подростковом и более старшем возрастах.
Развитие пролапса митрального клапана зависит от возраста и чаще встречается у женщин с синдромом Marfan. Распространенность ПМК достигает 60-80%, створки клапана обычно удлинены и увеличены. Прогрессирование заболевания, о котором судят по появлению или усилению MP, выявляемого с помощью клинических методов и ЭхоКГ, наблюдают не менее чем у 25% пациентов, что намного превышает частоту I IMK в популяции. Основными при чинами регургитации являются расширение кольца МК, укорочение и случайный разрыв хорд.
У 10% больных с выраженным пролапсом митрального клапана кольцо клапана кальцифицировано. Таким больным показано стандартное лечение хронической MP; при сопутствующем расширении корня аорты необходимо избегать повышения инотропности. Когда MP становится настолько выраженной, что требуется хирургическое вмешательство, следует учитывать следующие факты.
1. У пациентов с синдромом Marfan восстановление структуры МК часто оказывается успешным и сохраняется надолго. При слишком увеличенных створках клапана, выраженном повреждении хорд или сильно кальцифицированном кольце МК восстановления добиться труднее.
2. Степень расширения корня аорты может быть такова, что появляется возможность сопутствующего восстановления структуры клапанного аппарата. Пациенты с синдромом Marfan, как практически при всех наследственных заболеваниях соединительной ткани, чаще нуждаются в имплантации протезов МК.
 
Наследственное поражение корня аорты
Синусы Valsalva часто расширены уже при рождении, а прогрессирование этого нарушения широко варьирует у пациентов в целом и среди их родственников. Таким образом, прогнозирование отдаленного риска развития аортальной регургитации положительно ассоциируется с диаметром корня аорты, а риск развития расслоения аорты менее связан с ее диаметром. Для определения и мониторирования изменений диаметра аорты достаточно трансторакальной ЭхоКГ (ТТЭхоКГ), поскольку при отсутствии расслоения дилатация ограничена проксимальным отделом восходящей аорты, а скорость развития (появления) изменений (в мм/год) невелика.
Редкие исключения в первичной дилатации грудной аорты можно мониторировать с помощью чреспищеводной ЭхоКГ (ЧПЭхоКГ) или магнитно-резонансной томографии. Больных, у которых дилатация, рассчитываемая исходя из средних размеров их тела, не более чем в 1,5 раза выше среднего диаметра аорты, вполне достаточно обследовать ежегодно; по мере увеличения диаметра необходимы более частые обследования. У взрослых людей часто развивается аортальная регургитация, если диаметр аорты составляет 50 мм. Риск расслоения аорты возрастает с увеличением ее диаметра и при диаметре > 50 мм, к счастью, встречается нечасто.
Максимальный размер корпя аорты, равный 50 мм, многие клиницисты принимают за критерий необходимости планового хирургического вмешательства у взрослых пациентов с синдромом Marfan даже при минимальной аортальной регургитации, хотя если в семейном анамнезе пациентов присутствуют случаи расслоения аорты, то таких больных следует оперировать при меньшем диаметре корня аорты.
Периоперационные результаты как планового, так и экстренного восстановления корня аорты были очень благоприятными и значительно улучшились еще до появления в середине 1970-х гг. композитных трансплантатов.
На отдаленные результаты операции влияет возможность развития эндокардита и тромбоза, обычных для всех искусственных клапанов; у больных с синдромом Marfan при отсутствии расслоения аорты прогноз может быть благоприятным. Был разработан ряд способов восстановления расширенного или расслоившегося корня аорты при сохранении нативного аортального клапана. Результаты как краткосрочных, так и длительных наблюдений пациентов с синдромом Marfan, которых оперировали с целью восстановления корня аорты, применяя технику реимнлаптации, оказались благоприятными и превосходили те, которые были получены при ремоделировании.
Операцию следует выполнять до того, как корень аорты слишком расширится, клапанные комиссуры и створки заметно укоротятся или когда створки имеют многочисленные отверстия. Такой подход к пациентам, у которых максимальный размер корпя аорты достигает 45-50 мм, получает все большее распространение и особенно показан женщинам репродуктивного возраста, планирующим беременность, а также всем пациентам, которым противопоказана антикоагулянтная терапия.
Недостаточность митрального клапана - симптомы и лечение
Что такое недостаточность митрального клапана? Причины возникновения, диагностику и методы лечения разберем в статье доктора Верещагиной Натальи Валентиновны, терапевта со стажем в 29 лет.
Над статьей доктора Верещагиной Натальи Валентиновны работали литературный редактор Вера Васина , научный редактор Сергей Федосов и шеф-редактор Лада Родчанина
Определение болезни. Причины заболевания
Недостаточность митрального клапана — порок, при котором из-за неполного смыкания створок клапана возникает обратный ток крови (регургитация) из левого желудочка в левое предсердие [8] .

Патология проявляется слабостью, головокружением, ощущением нехватки кислорода и утомлением, так как при заболевании нарушается кровоснабжение головного мозга. Без лечения тяжёлая регургитация митрального клапана может стать причиной сердечной недостаточности и нарушений сердечного ритма (аритмии).
Причины митральной недостаточности:
- ;  
- бактериальный эндокардит;
- отложение солей кальция в тканях клапана;
- заболевания соединительной ткани — ревматоидный артрит, системная красная волчанка, склеродермия, синдромы Марфана и Элерса-Данло;
- травматический отрыв створок клапана при тяжёлой физической нагрузке;
- травмы при хирургических операциях на клапане;
- утолщение створок клапана;
- опухоли предсердия;
- лучевая терапия [8] .
Митральная недостаточность находится на первом месте среди всех приобретённых клапанных пороков сердца. Патология редко встречается изолированно, зачастую она сочетается с митральным стенозом и с пороками аортального клапана. Распространённость недостаточности митрального клапана в сочетании с пролапсом митрального клапана среди населения составляет 2–6 % [15] .
При обнаружении схожих симптомов проконсультируйтесь у врача. Не занимайтесь самолечением - это опасно для вашего здоровья!
Симптомы недостаточности митрального клапана
Симптомы заболевания:
- общая слабость и головокружение;
- учащённое сердцебиение;
- одышка, возникающая даже при незначительных нагрузках;
- ноющие, давящие и колющие боли в сердце, которые могут отдавать в левое плечо и руку;
- "неудовлетворённость вдохом" — больной делает один вдох за другим, но ощущает нехватку воздуха и впадает в панику;
- частые простудные заболевания;
- кровотечения из носа и дёсен, длительные менструации у женщин;
- ухудшение памяти, панические атаки, тревога, мнительность (это связано с нехваткой снабжения головного мозга кислорода, нарушением обменных процессов и замедлением передачи импульсов между нейронами);
- дрожь в теле;
- частое появление синяков;
- дискомфорт при нахождении в закрытом и душном помещении, возможны обмороки;
Постоянная тревога часто приводит пациента на консультацию к психиатру или неврологу. Очень важно не допустить таких больных в профессиональный спорт, так как чрезмерные нагрузки могут вызвать смерть на тренировках и соревнованиях.
У пациенток с митральной недостаточностью во время беременности возможны перебои в работе сердца, особенно нежелательные при родах, но в основном беременность протекает без осложнений [3] [4] .
Патогенез недостаточности митрального клапана
Сердце человека состоит из четырёх камер: правое и левое предсердия, правый и левый желудочки. Между предсердиями и желудочками расположены входные клапаны — трикуспидальный и митральный. На выходе из желудочков находятся похожие по строению выходные клапаны — лёгочный и аортальный.

Клапаны имеют створки, которые открываются и закрываются во время сердечных сокращений. Иногда клапаны не открываются или не закрываются должным образом, при этом нарушается ток крови.
Митральный клапан состоит из двух створок и открывается, позволяя крови течь в левый желудочек. Затем клапан закрывается, чтобы кровь не текла обратно в левое предсердие. При митральной недостаточности этот клапан закрывается неплотно, в результате чего кровь попадает обратно в левое предсердие.
В патогенезе первичной или врождённой недостаточности митрального клапана важную роль играет хронический дефицит ионов магния. Нехватка магния приводит к тому, что фибробласты вырабатывают неполноценные эластин, коллаген и фибронектин, а также к нарушению свойств ферментов, регулирующих обмен коллагена. В результате нарушается строение и функции соединительных тканей сердца [14] .
Вторичная форма митральной недостаточности возникает в результате перенесённых заболеваний и травм. При патологии происходит расширение полости левого желудочка, прогибание створок митрального клапана, дисфункция сосочков мышц и разрыв сухожильных хорд, соединяющих клапаны с сосочковыми мышцами. Иногда причиной развития вторичной недостаточности митрального клапана становится кальциноз клапанного фиброзного кольца. Кальциноз митрального кольца — это хронический дегенеративный процесс, при котором происходит отложение кальция в кольце клапана. Митральное кольцо при кальцификации становится утолщённым и менее гибким. Хотя изначально кальциноз митрального клапана считался возрастным дегенеративным процессом, накапливаются данные о том, что его развитию способствуют атеросклероз и генетически обусловленные нарушения кальций-фосфорного обмена [16] .

Классификация и стадии развития недостаточности митрального клапана
В течении заболевания выделяют три периода:
- Компенсация дефекта клапана усиленной работой левого предсердия и левого желудочка. Это продолжительный период хорошего самочувствия, но уже на этой стадии начинают появляться первые характерные симптомы: слабость, головокружение, частые простудные заболевания, чувство нехватки воздуха, перебои в работе сердца, одышка.
- Развитие венозной митральной недостаточности. Больные жалуются на одышку и учащённое сердцебиение. При интенсивной физической нагрузке наблюдаются приступы сильной одышки и кровохарканье.
- Одышка уменьшается, но пациент ощущает тяжесть в правом подреберье. Появляются отёки, уменьшается количество мочи, набухают шейные вены. Кровохарканье усиливается, развивается отёк лёгких, возникают нарушения сердечного ритма (мерцательная аритмия и наджелудочковая экстрасистолия) и тромбоэмболические осложнения.
С учётом выраженности обратного тока крови выделяют четыре степени митральной недостаточности: с незначительной митральной регургитацией, с умеренной, выраженной и тяжёлой.
Стадии митральной недостаточности:
- Митральный возврат крови составляет 20-25 %. На этой стадии пациент здоров.
- Митральный возврат крови в пределах 25-50 % от систолического объёма крови. Развивается застой крови в лёгких второй степени. Появляются кашель, одышка, перебои в работе сердца.
- Выраженная недостаточность митрального клапана. Возврат крови в левое предсердие составляет 50-90 %. Возникают кашель, кровохарканье, приступы удушья, увеличивается печень, появляются отёки [8] .
Осложнения недостаточности митрального клапана
Осложнения порока:
- Кровохарканье и отёк лёгких. Проявляется одышкой, затруднённым вдохом, влажным кашлем. В мокроте появляется кровь. Температура тела повышается до субфебрильных ( 37–38 °C ) и фебрильных ( 38–39 °C ) значений. Необходима срочная госпитализация в отделение реанимации.
- Нарушения сердечного ритма в виде мерцательной аритмии и наджелудочковой экстрасистолии. Проявляются перебоями в работе сердца, головокружением, слабостью, обмороками. Требуется госпитализация в отделение кардиологии.
- Тромбоэмболические осложнения (тромбоз левого предсердия, сосудов кишечника, почек, головного мозга). Последствия будут зависеть от локализации тромба. При тромбозе сосудов головного мозга возможен инсульт. Если тромб находится в почках и сосудах кишечника, то пациент испытывает острые боли в животе. Необходима госпитализация в отделение реанимации [8][9] .

Диагностика недостаточности митрального клапана
При сборе анамнеза кардиолог уточняет:
- ощущает ли пациент нехватку воздуха при вдохе;
- беспокоят ли перебои в работе сердца;
- возникает ли одышка при незначительных физических нагрузках;
- мучает ли тревога, страх смерти, панические атаки.
При аускультации ("выслушивании" сердца) выявляется систолический шум у верхушки и над основанием сердца. Важное значение для диагностики митральной недостаточности имеет фонокардиография (ФКГ). ФКГ – это метод исследования работы сердечной мышцы, который основан на регистрации и последующем анализе звуков, возникающих во время работы сердца .
Другой важный инструментальный метод диагностики — эхокардиография (Эхо-КГ) . Эхо-КГ — это безболезненное ультразвуковое исследование, которое позволяет исследовать работу сердца в реальном времени. Эхокардиография покажет уменьшение эластичности клапана, его повреждение, размер отверстия митрального клапана и расстояние между его створками. Также при исследовании можно увидеть разрыв папиллярной мышцы и провисание клапанных створок в полость левого предсердия [4] [8] [9] .

Лечение недостаточности митрального клапана
При обострении заболевания необходим постельный режим. Также следует принимать препараты, содержащие магний и B6 по две таблетки три раза в день (например, "Магнелис").
Обязательно следует проводить лечение и профилактику осложнений. Для предупреждения тромбоэмболии пациентам старше 30-40 лет назначают препарат "Тромбо АСС", препятствующий тромбообразованию .
Если беспокоит частый пульс (более 80 ударов в минуту), то назначаются бета-адреноблокаторы, диуретики, антикоагулянты, нитроглицерин.
Если пациент страдает от приступов тревоги, то в качестве симптоматической терапии можно рекомендовать короткий курс феназепама на ночь.
Если развивается сердечная недостаточность и нарушается сердечный ритм, то проводят лечение бета-адреноблокаторами, диуретиками, ингибиторами ангиотензинпревращающего фермента, антикоагулянтами, блокаторами кальциевых каналов.
При значительной недостаточности митрального клапана показано оперативное лечение.
Основные хирургические методы коррекции митральной недостаточности:
- пластика митрального клапана;
- протезирование с частичным или полным сохранением хордального аппарата;
- протезирование без сохранения хордального аппарата.
Своевременное хирургическое вмешательство позволяет достичь хороших результатов и не допустить развитие осложнений.

Прогноз. Профилактика
При соблюдении рекомендаций врача прогноз благоприятный.
Для профилактики осложнений следует:
- ежегодно проходить осмотр у терапевта и кардиолога и проводить эхокардиографию сердца (Эхо-КГ);
- принимать препараты магния, а для предупреждения тромбоэмболии — антикоагулянты;
- исключить тяжёлые физические нагрузки, переохлаждение и перегрев;
- снизить эмоциональные перегрузки;
- отдыхать в дневные часы;
- при тревожных расстройствах принимать успокоительные препараты, освоить методы аутотренинга и расслабления мышц;
- проходить санаторно-курортное лечение [4] .
При ревматизме и после перенесённой ангины для профилактики недостаточности митрального клапана назначают антибиотик "Бициллин-3". Препарат подавляет развитие стрептококковой и стафилококковой инфекций.
После 40 лет всем пациентам, страдающим недостаточностью митрального клапана, необходимо контролировать уровни фибриногена, РФМК (растворимых фибринмономерных комплексов), D-димера (продукта распада фибрина). Эти анализы нужны для предотвращения тромбоэмболии лёгочной артерии и артерий внутренних органов. При повышении вышеуказанных показателей назначают антикоагулянты.
Если недостаточность митрального клапана обнаружена у ребёнка и его беспокоит слабость, головокружение, расстройство внимания, то рекомендуется временно перейти на домашнее обучение. Таким детям следует избегать чрезмерных физических нагрузок, им разрешена только лечебная физкультура.
Если при проведении Эхо-КГ обнаружено сильное прогибание створок клапана, то необходима консультация у кардиохирурга. Восстановление клапана или его замена могут потребоваться при эндокардите, сердечной недостаточности, нарушениях ритма, сильных болях в грудной клетке, признаках застоя в лёгочной системе (одышке, уменьшении объёма вдоха и ощущении нехватки воздуха).
Читайте также:
- Младенческая гемангиома головы и шеи - лучевая диагностика
- Признаки повреждения сосудов запястья и кисти
- Изменения полипов под воздействием чистотела. Патоморфология воздействия чистотела на полипы.
- Микротрубочки. Центриоли. Базальные тельца. Реснички. Жгутики. Внутриклеточный транспорт.
- Признаки объемной перегрузки желудочков сердца. Эхографические признаки перегрузки сердца
