Пептидные гормоны яичников. Ингибины
Добавил пользователь Евгений Кузнецов Обновлено: 22.11.2025
Лабораторный анализ для определения маркера мужской и женской репродуктивной функции, а также некоторых новообразований яичников.
Приём и исследование биоматериала
Когда нужно сдавать анализ Ингибин В?
- Изучение овариального резерва;
- Диагностика рака яичников;
- Оценка сперматогенеза;
- Выявление нарушений полового развития.
Подробное описание исследования
Ингибин B — это нестероидный (пептидный) половой гормон, который синтезируется у мужчин в клетках Сертоли в яичках (семенниках), а у женщин — в клетках фолликулов яичника. По биохимической структуре ингибин B представляет собой гликопротеин — сложный белок.
В состав гликопротеина входят альфа- и бета-субъединицы. На основе этого выделяют две молекулы ингибинов — A и B. Оба ингибина содержат в себе одинаковую α-субъединицу и разную β-субъединицу: бета А и бета B — у ингибинов А и В. В женском организме представлены обе формы ингибина, в мужском — только ингибин B.
В норме функция половых желез (яичек и яичников) находится под контролем гипоталамуса и гипофиза, которые расположены в головном мозге и выступают в роли нейроэндокринного центра всего организма. Гипоталамус вырабатывает гонадотропин-рилизинг-гормон, который стимулирует переднюю долю гипофиза — в кровь выделяются ФСГ (фолликулостимулирующий гормон) и ЛГ (лютеинизирующий гормон), которые влияют на функцию половых желез.
У мужчин эти гормоны влияют на репродуктивную систему следующим образом: ЛГ стимулирует образование тестостерона, а ФСГ регулирует образование сперматозоидов. Между этими процессами возникает механизм отрицательной обратной связи — чем больше образуется тестостерона, тем меньше выделяется в кровь ЛГ и ФСГ. Установлено, что пептидный гормон семенников — ингибин B угнетает образование ФСГ и ЛГ и, вероятно, гонадотропин-рилизинг-гормона гипоталамуса.
У женщин выявлен схожий принцип воздействия ФСГ и ЛГ на яичники: оба этих гормона ответственны за регуляцию менструального цикла. В первую (фолликулярную) фазу ФСГ стимулирует рост и образование зрелого фолликула, содержащего яйцеклетку, ЛГ активно участвует в образовании желтого тела во второй (лютеиновой) фазе. В момент овуляции оба гормона дополняют действие друг друга. Аналогично действию на мужские половые железы, Ингибин B также угнетает секрецию ФСГ и ЛГ у женщин, тем самым способствуя наступлению менструации и нового цикла.
Вследствие влияния на процессы, связанные с зачатием, ингибин В используют в качестве маркера нарушений репродуктивных функций.
В норме у мальчиков до полового созревания (пубертата) ингибин служит показателем нормального развития ткани яичек. В пубертате он заметно повышается и отражает процесс сперматогенеза — образования сперматозоидов. В пожилом возрасте его уровень постепенно снижается.
У девочек уровень ингибина B в крови также увеличивается по мере полового созревания. При наступлении пубертата и установлении менструального цикла концентрация ингибина меняется в зависимости от фазы. Показатель ингибина B может быть изучен в рамках комплексной диагностики преждевременного полового созревания, а также для определения зрелости половых органов.
Как и у мужчин, у женщин показатель ингибина B с возрастом снижается. С этой целью данный гормон используют как один из маркеров овариального запаса (количества яйцеклеток, потенциально готовых к оплодотворению). Для оценки этой функции ингибин B рекомендуется сдавать совместно с антимюллеровым гормоном. Ввиду того, что в постменопаузе этот гормон имеет низкие концентрации, его значительное повышение в этот период может быть связано с развитием карциномы яичников. В данном случае рекомендовано дополнительно исследовать CA-125.
Пептидные гормоны яичников. Ингибины
Пептидные гормоны яичников. Ингибины
Роль гонадотропинов и стероидных гормонов половых желез в процессе фолликулогенеза хорошо известна. Однако многие происходящие в яичниках процессы предполагают наличие других внутрияичниковых факторов, которые осуществляют «тонкую настройку» действия гонадотропинов и стероидов половых желез. Например, инициация и прекращение мейоза, а также разная скорость созревания фолликулов, обеспечивающая выбор доминантного фолликула, указывают на существование отдельной внутрияичниковой регуляторной системы. Концепция гонадного фактора, обладающего эндокринным действием на гипофизарном уровне, была выдвинута более 70 лет назад Моттрамом и Крамером. Первым обнаруженным компонентом данной системы был ингибином, названный так за его угнетающее действие на гипофиз. После этого последовал всплеск информации о реальных и возможных внутрияичниковых регуляторах, их физиологии, биохимии и биосинтезе, а также об идентификации их рецепторов.
К этим соединениям, ставшим предметом интенсивного изучения, относятся пептидные гормоны/факторы роста, цитокины и нейропептиды. Они могут обладать эндокринным, аутокринным или паракринным механизмом действия.
Первый водорастворимый пептидный гормон из вытяжки яичек, проявивший ингибиторную активность на гипофизарном уровне, был описан в 1932 г. и назван ингибином. Лишь в 1985 г. (50 лет спустя) ингибин был выделен и была уточнена его структура. В дальнейшем были идентифицированы и описаны два других пептидных фактора (активин и фоллистатин). Когда были клонированы гены а- и b-субъединиц ингибина, стало ясно, что ингибин и активин принадлежат к надсемейству трансформирующего фактора роста b (ТФРb), в которое входят факторы роста и дифференцировки клеток. Ингибин, как и активин, представляет особый клинический интерес и в последнее время интенсивно изучается.
Оказалось, что они выполняют множество различных регуляторных функций как в нормальных, так и в неопластических клетках. В этой главе мы также коснемся фоллистатина — гликопротеина, который структурно отличается от ингибина и активина, но функционально сходен с ними.
Основными источниками ингибина служат гранулезные клетки яичников и клетки Сертоли яичек. Ингибин также продуцируется во время беременности плодом, плацентой, децидуальной оболочкой и плодными оболочками. Важнейшей функцией ингибина является селективное угнетение продукции ФСГ гипофизом. Оно достигается модуляцией биосинтеза ФСГ за счет двух механизмов: уменьшения количества стабильной мРНК для ФСГ в гонадотрофах гипофиза и снижения стабильности мРНК для ФСГ.

Ингибин является гликопротеиновым гетеродимером с молекулярной массой 32 кДа, состоящим из двух субъединиц — а и b, соединенных дисульфидными мостиками. а-Субъединица одинакова во всех молекулах ингибина, а b-субъединица может быть двух типов: bА и bв. Соответственно две иЗоформы ингибина обозначаются как ингибин А и ингибин В. Каждая субъединица образуется из своего предшественника: препроингибина а (364 аминокислотных остатка), препроингибина bА (424 аминокислотных остатка) и препроингибина bв (407 аминокислотных остатков). Предшественники подвергаются протеолитическому расщеплению до конечных форм. В дополнение к конечным формам (a/b-димерам с молекулярной массой 32000) в фолликулярной жидкости были обнаружены более крупные формы димерных ингибинов с терминально удлиненными за счет аминогрупп а- и/или b-субъединицами.
Они также обладали супрессивной по отношению к ФСГ биологической активностью.
Более того, мономерные формы а- и b- субъединиц и некоторые фрагменты (aN и про-aN-aC), образующиеся при превращении субъединиц, также находятся в фолликулярной жидкости и обладают внутренней биологической активностью, отличной от классической ингибиноподобной активности.
Из-за того что в циркулирующей крови одновременно присутствуют многие молекулярные формы ингибина, точное измерение его концентрации с помощью обычных методик РИА затруднительно. Большинству из них недостает специфичности по отношению к димерному ингибину из-за вариабельной перекрестной реактивности мономерных форм и различных фрагментов с антителом, используемым при анализе. К тому же традиционные биотесты на ингибин, основанные на супрессии или высвобождении ФСГ культурой гипофизарных клеток, недостаточно специфичны из-за ФСГ-модулирующего воздействия активинов и фолли-статина. Биотесты также обладают недостаточной чувствительностью при измерении уровня циркулирующего ингибина.
Эти недостатки были преодолены за счет разработки методики двустадийного иммуноанализа, использующего специфичные антитела к a/b-димеру, благодаря которой стало возможным определение концентрации обеих форм ингибиновых димеров (А и В). С помощью этой новой методики двустадийного иммуноанализа теперь можно определять уровни ингибина в течение всего менструального цикла.
Синтез двух изоформ ингибина различен в разные фазы менструального цикла. Максимальные уровни ингибина В обнаруживаются во время переходной лютеиново-фолликулярной и ранней фолликулярной фаз. Исследования базальной секреции гранулезных клеток и содержания ингибина В в фолликулярной жидкости позволяют предположить, что он секретируется мелкими развивающимися антральными фолликулами. Напротив, уровень ингибина А в раннюю и среднюю фолликулярную фазы отражает стимулированную ФСГ и ЛГ секрецию ингибина А всеми антральными фолликулами. Уровень ингибина А в позднюю фолликулярную фазу в основном отражает секрецию доминантного фолликула. Таким образом, ингибины А и В могут служить индикаторами развития фолликулов.
Проводилось также изучение ингибинов в качестве прогностических маркеров для женщин, проходящих лечение в программах вспомогательных репродуктивных технологий. В частности, предполагалось, что определение уровня ингибина В на ранних стадиях стимуляции ФСГ для индукции овуляции может помочь в прогнозировании количества полученных ооцитов и мониторинге стимуляции яичника для оплодотворения in vitro. Однако в связи с тем, что уровни ингибина В могут быть практически одинаковыми как при нормальном, так и при субнормальном ответе яичников, более полезным может оказаться определение уровня ФСГ на 3-й день цикла или проведение теста с нагрузкой кломифеном. У женщин, вступающих в менопаузу (в раннем перименопаузальном периоде), наблюдается существенное снижение уровня ингибина В (при сохранении прежних уровней ингибина А и эстрадиола), коррелирующее с некоторым снижением уровня ФСГ. Это снижение предшествует снижению уровня ингибина А, что позволяет предположить роль ингибина В как чувствительного индикатора начала менопаузы. В исследованиях, посвященных роли ингибинов в патофизиологии синдрома поликистозных яичников (СПКЯ), получены противоречивые результаты.
Во время беременности ингибин А в основном продуцируется фетоплацентарным комплексом; уровень же ингибина В на всем ее протяжении остается низким. При развитии у плода синдрома Дауна уровень циркулирующего ингибина А возрастает в 2 раза, что обусловливает клиническую значимость его определения. Если дополнить измерение уровня ингибина А определением альфа-фетопротеина, возраста матери и b-чХГ (квадро-тест), то пренатальная выявляемость синдрома Дауна возрастает с 53 до 75%.
С недавних пор ингибин А стал использоваться в качестве маркёра опухолей стромы полового тяжа. Эта гетерогенная группа опухолей составляет до 7% всех первичных злокачественных опухолей яичника. Состоят эти опухоли из гранулезных, текальных клеток, клеток Сертоли и Лейдига и других неспецифических стромальных клеток. Важно отличать их от карцином и сарком, по сравнению с которыми они менее злокачественны и более прогностически благоприятны. Ингибин А и его a-субъединица являются чувствительными иммуногистохимическими маркёрами большинства опухолей яичника, происходящих из стромы полового тяжа. Ингибин В повышается как при таких опухолях, так и при эпителиальных опухолях яичника, в связи с чем его нельзя использовать для дифференциальной диагностики опухолей указанных групп. Кроме того, пониженное содержание ингибина А в кистозной жидкости эпителиальных опухолей яичника, как выяснилось недавно, является плохим прогностическим признаком.
Ингибин В является основным ингибином, секретируемым в мужском организме. Он продуцируется клетками Сертоли яичек и по механизму отрицательной обратной связи угнетает секрецию ФСГ гипофизом; его продукция регулируется также сперматогенезом. Уровень ингибина В коррелирует с объемным количеством сперматозоидов и объемом яичек, но по его значению невозможно провести дифференциальную диагностику между торможением сперматогенеза на стадии сперматид и обструктивной азооспермией, при которых объемное количество сперматозоидов остается нормальным. Учитывая все вышесказанное, представляется маловероятным, что анализ на ингибин В сможет заменить биопсию яичка при диагностике мужского бесплодия.
Ингибин В
Ингибин В – гормон который синтезируется клетками яичников и семенников. Исследование на содержание пептидного гормона в крови является маркером функции продукции и созревания фолликулов и сперматогенеза. Так как ингибин В влияет на функции фолликулостимулирующего гормона, то исследования показывают и насколько активен ФСГ.
Краткое описание ингибина
Уровень гормона изменяется в течение жизни. У девушек inhibin B постепенно активизируется до начала пубертата, и затем его уровень варьирует в зависимости от стадии овуляции и месячного цикла. При возрастном угасании функции яичников ингибин В снижается.
Так как функции inhibin B и ФСГ связаны, то и уровень этих гормонов взаимосвязан. Поэтому активность гормона повышается в период овуляции, так же, как и количество гормонов, воздействующих на овогенез – ФСГ и лютеинезирующего.
Ингибн В оказывает тормозящее воздействие на гипофиз, что отражено в названии гормона. Гормон относится к надсемейству трансформирующего фактора роста В. Во время беременности рост уровня гормона обусловлен продукцией его плацентой, плодными оболочками и самим плодом.
У мужчин гормон синтезируется клетками Сертоли в гонадах, и его уровень определяется сперматогенезом, а именно объемом продуцируемых сперматозоидов и состоянием яичек. Уровень гормона высок в детстве, максимальное его количество отмечается в 3-х летнем возрасте. Затем оно снижается, вплоть до 6-10 лет. Ингибин В исследуют как с дифференциальной, так и с диагностической целью.
Кому назначают исследование
Высокий уровень ингибина В говорит о хорошем резерве овоцитов. Снижение количества гормона может свидетельствовать о возрастной или патологической дисфункции яичников. Прогностическое значение исследования важно при оценке возможности экстракорпорального оплодотворения или нормального зачатия и вынашивания после 40-45 лет.
У мальчиков анализ на уровень ингибина назначают для:
- выявления аномалий развития репродуктивной системы;
- уточнения пола в сомнительных случаях;
- диагностики врожденного отсутствия семенников;
- выявления неопущения яичек в мошонку.
У мужчин, достигших половой зрелости, исследование назначают для:
- уточнения диагноза азооспермии или олигоспермии;
- оценки функции продукции спермиев;
- диагностики половых дисфункций.
Показанием для назначения анализа на ингибин В являются следующие патологии:
- дифференциальная диагностика муцинозного или гранулезоклеточного рака эндотелия яичников у женщин;
- контроль эффективности терапии новообразований яичников;
- при раннем или позднем половом созревании;
- дисфункции сперматогенеза;
- аномальном развитии репродуктивных органов у детей;
- при бесплодии;
- для прогнозирования успешности ЭКО;
- при неоднозначности половой идентификации.
Алгоритм и правила подготовки
На результаты анализа влияет выполнение внелабороторной подготовки к анализу, так как на многие показатели, в том числе и уровень гормонов, оказывают воздействие внешние и внутренние факторы. Чтобы получить объективный результат на ингибин В, следует предварительно:
Для исследования активности гормона проводят иммуноферментный анализ.
Референсные значения анализа
Референсные значения различны в разные периоды жизни у женщин и практически одинаковы у мужчин.
| Пол и фазы цикла | Норма гормона (пг/мл) |
| У мужчин | 147-364 |
| У женщин | 40-100 |
| — фолликулярная | 30-90 |
| — овулярная | 80-200 |
| лютеиновая | ˂ 50 |
| климакс | 15-120 |
| постменопауза | ˂17,5 |
Отзывы
10 років не виходило у нас із чоловіком народити дітей. Пройшли всіх найкращих лікарів в своєму місті, а потім зрозуміли, що вже треба їхати в Харків або Київ, бо тут вже допомогти не могли. З початку ми звернулися до найрозкрученішої харківської клініки, де спочатку мені сказали, що своїх рідних дітей я мати не зможу ніколи, а коли прийшли аналізи чоловіка, передзвонили та відмовилися з нами працювати взагалі. Скільки я проревіла – не хочу й згадувати. І я почала шукати, хто б взявся за наш майже безнадійний випадок – бо проблеми були з обох стрін і у кожного з нас - одразу декілька, і цією вирішальною людиною у моєму житті та житті нашої родини виявилася Багатько Ольга Володимирівна. Сподобалася нам з першого прийому – компетентний, розумний та приємний у спілкуванні лікар. А далі – море підтримки і лише вперед! І ось результат - 22.04.2022 на світ з'явився наш довгоочікуваний син!! Дякуємо безмежно за наше щастя!! )))))
Доброго дня, Ірина Ярославівна. Хочемо поділитися з Вами радістю. Разом ми пройшли такий важкий для нас шлях, завдяки Вашій підтримці й професіоналізму, ми його подолали. Тепер ми справжня сім'я. 💙💛Безмежно Вам вдячні, та всім Вашим помічницям. Ви наш янгол. Трошки підростемо й обов'язково прийдемо до Вас в гості🙏 ще раз велике дякую
10 років не виходило у нас із чоловіком народити дітей. Пройшли всіх найкращих лікарів в своєму місті, а потім зрозуміли, що вже треба їхати в Харків або Київ, бо тут вже допомогти не могли. З початку ми звернулися до найрозкрученішої харківської клініки, де спочатку мені сказали, що своїх рідних дітей я мати не зможу ніколи, а коли прийшли аналізи чоловіка, передзвонили та відмовилися з нами працювати взагалі. Скільки я проревіла – не хочу й згадувати. І я почала шукати, хто б взявся за наш майже безнадійний випадок – бо проблеми були з обох стрін і у кожного з нас - одразу декілька, і цією вирішальною людиною у моєму житті та житті нашої родини виявилася Багатько Ольга Володимирівна. Сподобалася нам з першого прийому – компетентний, розумний та приємний у спілкуванні лікар. А далі – море підтримки і лише вперед! І ось результат - 22.04.2022 на світ з'явився наш довгоочікуваний син!! Дякуємо безмежно за наше щастя!! )))))
Доброго дня, Ірина Ярославівна. Хочемо поділитися з Вами радістю. Разом ми пройшли такий важкий для нас шлях, завдяки Вашій підтримці й професіоналізму, ми його подолали. Тепер ми справжня сім'я. 💙💛Безмежно Вам вдячні, та всім Вашим помічницям. Ви наш янгол. Трошки підростемо й обов'язково прийдемо до Вас в гості🙏 ще раз велике дякую
Врачи медцентра
Ингибин-B
Ингибин B — это нестероидный (пептидный) половой гормон, который синтезируется у мужчин в клетках Сертоли в яичках (семенниках), а у женщин — в клетках фолликулов яичника. По биохимической структуре ингибин B представляет собой гликопротеин — сложный белок.
В состав гликопротеина входят альфа- и бета-субъединицы. На основе этого выделяют две молекулы ингибинов — A и B. Оба ингибина содержат в себе одинаковую α-субъединицу и разную β-субъединицу: бета А и бета B — у ингибинов А и В. В женском организме представлены обе формы ингибина, в мужском — только ингибин B.
В норме функция половых желез (яичек и яичников) находится под контролем гипоталамуса и гипофиза, которые расположены в головном мозге и выступают в роли нейроэндокринного центра всего организма. Гипоталамус вырабатывает гонадотропин-рилизинг-гормон, который стимулирует переднюю долю гипофиза — в кровь выделяются ФСГ (фолликулостимулирующий гормон) и ЛГ (лютеинизирующий гормон), которые влияют на функцию половых желез.
У мужчин эти гормоны влияют на репродуктивную систему следующим образом: ЛГ стимулирует образование тестостерона, а ФСГ регулирует образование сперматозоидов. Между этими процессами возникает механизм отрицательной обратной связи — чем больше образуется тестостерона, тем меньше выделяется в кровь ЛГ и ФСГ. Установлено, что пептидный гормон семенников — ингибин B угнетает образование ФСГ и ЛГ и, вероятно, гонадотропин-рилизинг-гормона гипоталамуса.
— Кровь сдают утром натощак — после последнего приема пищи должно пройти как минимум 8 часов. Вечером накануне поужинайте легкой нежирной пищей.
— За 2 часа до сдачи крови на анализ нельзя курить, пить кофе и чай, а также фруктовые соки. Допустимо употребление небольшого количества негазированной воды — не сладкой, не соленой, не минеральной.
— В течение 24 часов до анализа крови нельзя употреблять алкоголь. Также, по согласованию с лечащим врачом, необходимо отменить прием лекарственных препаратов.
— За час до исследования избегайте психоэмоционального напряжения, физического напряжения, такого как быстрый подъем по лестнице, бег. Желательно прийти в отделение лаборатории заблаговременно и в течение 10-15 минут до сдачи крови спокойно посидеть.
— Не сдавайте кровь сразу после физиотерапевтических процедур, массажа и инструментальных обследований, таких как УЗИ и рентген, в течение 5-7 дней.
— Если вы контролируете лабораторные показатели в динамике, постарайтесь сдавать каждый анализ в одно и то же время при одинаковых условиях.
— При подозрении на гранулезоклеточный или муцинозный рак яичников.
— До, во время и после лечения новообразований яичников.
— При преждевременном половом созревании (или его задержке).
— При нарушениях сперматогенеза у мужчин.
— При бесплодии у мужчин и женщин.
— При аномалиях развития половых желез у мальчиков.
— При планировании искусственного оплодотворения.
— При неоднозначных половых признаках у детей (анализ может быть назначен в комплексе с определением уровня других половых гормонов и инструментальными методами диагностики).
Рекомендуемые значения
Женщины
| Девушки до 18 лет | Меньше 83 пг/мл |
| Женщины более 18 лет | Меньше 273 пг/мл |
| Женщины, 3 день цикла | Меньше 273 пг/мл |
Исследование не может быть применено для оценки концентрации ингибина В у женщин в период постменопаузы, так как референсные значения для этой возрастной группы находятся ниже предела чувствительности диагностической системы.
Мужчины
| Мужчинны до 18 лет | 4 - 352 пг/мл |
| Мужчины более 18 лет | 25 - 325 пг/мл |
Причины повышения уровня ингибина B
— гранулезоклеточная опухоль яичников (в 89-100 % случаев с повышением количества ингибина В в 60 и больше раз);
— муцинозная опухоль яичников (в 55-60 % случаев);
— немуцинозные эпителиальные опухоли яичников (15-35 %);
— синдром гиперстимуляции яичников.
Причины понижения уровня ингибина B
— возрастное снижение овариального резерва и функции яичников;
— преждевременное истощение яичников;
— менопауза;
— удаление яичников (овариоэктомия);
— противоопухолевая химиотерапия;
— анорексия.
— анорхия;
— нарушения сперматогенеза;
— гипогонадизм (недоразвитие половых желез);
— последствия облучения, воздействия токсических и инфекционных агентов.
‑Ингибин. Этот гликопротеидный гормон синтезируется в клетках Сертоли извитых семенных канальцев и блокирует синтез гипофизарного фсг.
В яичниках синтезируются стероидные женские половые гормоны, гликопротеиновые гормоны ингибины и пептидной природы релаксины. Их физиологическое значение рассмотрено в главе 19, здесь приведены краткие характеристики гормонов.
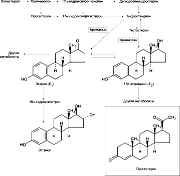
Женские половые гормоны эстрогены (эстрадиол, эстрон, эстриол) и прогестины (прогестерон) — стероиды (рис.).

Рис. Химическая структура и пути синтеза эстрогенов и прогестерона
Эстрогены в период полового созревания стимулируют становление признаков женского пола. У женщин детородного возраста эстрогены активируют пролиферацию фолликулярных клеток, а в эндометрии контролируют пролиферативную фазу менструального цикла.
Эстрон (Е1) — 3-гидроксиэстра-1,3,5(10)-триен-17-он — метаболит 17‑эстрадиола, образуется путём ароматизации андростендиона, имеет небольшую эстрогенную активность, выделяется с мочой беременных.
Эстриол — 16,17-эстри-1,3,5(10)-триен-3,16,17-триол — образуется из эстрона. Этот слабый эстроген экскретируется с мочой беременных, в значительном количестве присутствует в плаценте.
Рецептор эстрогенов относится к ядерным, полипептид из 595 аминокислотных остатков, имеет выраженную гомологию с протоонкогеном v-erbA.
Прогестерон относится к прогестинам, его синтезируют клетки жёлтого тела яичника в лютеиновую стадию овариально–менструального цикла, а также клетки хориона при наступлении беременности. Прогестерон в эндометрии контролирует секреторную фазу менструального цикла и существенно увеличивает порог возбудимости ГМК миометрия. Стимулируют синтез прогестерона ЛГ и ХГТ. Рецептор прогестинов относится к ядерным факторам транскрипции, генный дефекты рецептора приводит к отсутствию характерных для секреторной фазы менструального цикла изменений эндометрия.
Релаксины — пептидные гормоны из семейства инсулинов, синтезируется клетками жёлтого тела и цитотрофобластом, при беременности оказывают расслабляющий эффект на ГМК миометрия, а перед родами приводят к размягчению лонного сочленения и шейки матки.
Ингибины, синтезируемые в яичнике, подавляют синтез и секрецию гипоталамического гонадолиберина и гипофизарного фсг.
Плацента
Плацента синтезирует множество гормонов и других биологически активных веществ, имеющих важное значение для нормального течения беременности и развития плода (табл.).
Таблица. Гормоны, вырабатываемые в плаценте
Пептидные гормоны (в т.ч. нейропептиды и рилизинг-гормоны)
Хорионический гонадотропин (ХГТ) Плацентарный вариант гормона роста Соматомаммотропины хорионические 1 и 2 (плацентарные лактогены) Тиреотропин (ТТГ) Тиреолиберин (ТТГ-РГ) Кортиколиберин (АКТГ-РГ) Гонадолиберин Соматолиберин Соматостатин Вещество P Нейротензин Нейропептид Y Пептид, относящийся к АКТГ Гликоделин A (белок, связывающий инсулиноподобные факторы роста) Ингибины
Стероидные гормоны
Прогестерон Эстрон Эстрадиол Эстриол
Разные клетки почек синтезируют значительное количество веществ, обладающих гормональными эффектами.
Ренин не является гормоном, этот фермент (протеаза, субстратом которой является ангиотензиноген) — начальное звено в системе «ренин–ангиотензиноген–ангиотензины» (ренин-ангиотензиновая система), важнейшего регулятора системного АД. Ренин синтезируется в видоизменённых (эпителиоидных) ГМК стенки приносящих артериол почечных телец, входящих в состав околоклубочкового комплекса и секретируется в кровь. Регуляторы синтеза и секреции ренина: 1. опосредуемая ‑адренорецепторами симпатическая иннервация (стимуляция секреции ренина); 2. ангиотензины (по принципу отрицательной обратной связи); 3. рецепторы плотного пятна в составе околоклубочкового комплекса (регистрация содержания NaCl в дистальных канальцах нефрона); 4. барорецепторы в стенке приносящей артериолы почечных телец.
Кальцитриол (1,25‑дигидроксихолекальциферол) — активная форма витамина D3 — синтезируется в митохондриях проксимальных извитых канальцев, способствует всасыванию кальция и фосфатов в кишечнике, стимулирует остеобласты (ускоряет минерализацию костей). Образование кальцитриола стимулируют ПТГ и гипофосфатемия (пониженное содержание фосфатов в крови), подавляет — гиперфосфатемия (повышенное содержание фосфатов в крови).
Эритропоэтин — содержащий сиаловую кислоту белок — синтезируется интерстициальными клетками, стимулирует эритропоэз на стадии формирования проэритробластов. Основной стимул для выработки эритропоэтина — гипоксия (снижение рО2 в тканях, в т.ч. зависящее от числа циркулирующих эритроцитов).
Вазодилататоры — вещества, расслабляющие ГМК стенки кровеносных сосудов, расширяющие их просвет и тем самым снижающие АД. В частности, брадикинин и некоторые простагландины (Пг) синтезируется в интерстициальных клетках мозгового вещества почки.
Брадикинин — нонапептид, образующийся из декапептида каллидина (лизил-брадикинин, кининоген, брадикининоген), который в свою очередь отщепляется от 2‑глобулина под действием пептидаз — калликреинов (кининогенины).
Простагландин E2 расслабляет ГМК кровеносных сосудов почки, тем самым уменьшая сосудосуживающие эффекты симпатической стимуляции и ангиотензина II.
Натрийуретические факторы (предсердный фактор — атриопептин) синтезируют кардиомиоциты правого предсердия и некоторые нейроны ЦНС. Мишени натриуретических пептидов — клетки почечных телец, собирательных трубочек почки, клубочковой зоны коры надпочечников, ГМК сосудов. Функции натриуретических факторов — контроль объёма внеклеточной жидкости и гомеостаза электролитов (угнетение синтеза и секреции альдостерона, ренина, вазопрессина). Эти пептиды оказывают мощный сосудорасширяющий эффект и снижают АД.
ЖЕЛУДОК И КИШЕЧНИК
В стенке трубчатых органов ЖКТ присутствует огромное количество секретирующих гормоны разнообразных эндокринных клеток (энтероэндокринные клетки). Вместе с вырабатывающими различные нейропептиды клетками собственной нервной системой ЖКТ (энтеральная нервная система) энтероэндокринная система регулирует множество функций пищеварительной системы (рассмотрены в главе 21). Здесь же для примера назовём пептидные гормоны гастрин, секретин и холецистокинин.
Гастрин стимулирует секрецию HCl париетальными клетками слизистой оболочки желудка.
Секретин стимулирует выделение бикарбоната и воды из секреторных клеток желёз двенадцатиперстной кишки и поджелудочной железы.
Холецистокинин стимулирует сокращения жёлчного пузыря и выделение ферментов из поджелудочной железы
Клетки различных органов вырабатывают множество химических веществ регуляторного характера, формально не относящихся к гормонам и эндокринной системе (например, Пг, интерфероны, интерлейкины, факторы роста, гемопоэтины, хемокины и др.).
Эйкозаноиды влияют на сократимость ГМК сосудов и бронхов, изменяют порог болевой чувствительности и участвуют в регуляции многих функций организма (поддержание гемостаза, регуляция тонуса ГМК, секреция желудочного сока, поддержание иммунного статуса и т.д.). Например, в лёгких ПгD2 и лейкотриен C4 — мощные сократительные агонисты для ГМК воздухоносных путей, их эффекты соответственно в 30 и в 1000 раз сильнее гистамина. В то же время ПгE2 — вазодилататор, а лейкотриены D4 и E4 — вазоконстрикторы, они также увеличивают проницаемость стенки кровеносных сосудов.
Пг при физиологических значениях pH плохо проникают через биологические мембраны. Их трансмембранный транспорт осуществляют специальные белки-транспортёры, встроенные в клеточные мембраны.
Рецепторы Пг встроены в плазматическую мембрану клеток–мишеней и связаны с G‑белками.
Гистамин — мощный стимулятор секреции соляной кислоты в желудке, важнейший медиатор немедленных аллергических реакций и воспаления, вызывает сокращение ГМК воздухоносных путей и бронхоконстрикцию, но в то же время является сосудорасширяющим агентом для мелких сосудов.
Интерфероны — гликопротеины, имеющие антивирусную активность; выделяют, по крайней мере, 4 типа интерферонов (, , , ).
Интерлейкины (не менее 31) — цитокины, действующие как факторы роста и дифференцировки лимфоцитов и др. клеток.
Факторы роста стимулируют рост и дифференцировку, а иногда и трансформацию (озлокачествление) различных клеток. Известно несколько десятков факторов роста: эпидермальный, фибробластов, гепатоцитов, нервов и др.
Хемокины (несколько десятков) — небольшие секреторные белки, в первую очередь регулирующие перемещения лейкоцитов. Примеры наименований хемокинов: фракталкин, лимфотактин, фактор хемотаксиса моноцитов, ИЛ18, эутактин и множество других.
Колониестимулирующие факторы — белковые факторы, необходимые для выживания, пролиферации и дифференцировки гемопоэтических клеток. Они носят имя клеток, на которые оказывают стимулирующее влияние: колониестимулирующий фактор гранулоцитов (G-CSF), колониестимулирующий фактор гранулоцитов и макрофагов (GM-CSF), колониестимулирующий фактор макрофагов (M-CSF) и колониестимулирующий фактор для многих клеточных типов (ИЛ3). Эти факторы вырабатывают макрофаги, T-лимфоциты, эндотелий, фибробласты.
Неспецифическая адаптивная нейроэндокринная реакция организма, направленная на ограничение действия факторов, способных нарушить гомеостаз.
Он охватывает комплекс изменений на вегетативном, гуморальном, б/х, а также на психическом уровнях, включая субъективные эмоциональные переживания.
Биологическая роль стресса адаптивная. Он предназначен для защиты организма от угрожающих, разрушающих воздействий.
Факторы, вызывающие стресс, называются стрессорами. Различают:
- физические стрессоры – шум, охлаждение, недостаток кислорода, травма, интоксикация и др.;
- психические – неожиданное прикосновение, одиночество, перенаселение, дефицит времени, информационные перегрузки и др.
Стресс делится на физиологический и психологический: информационный и эмоциональный.
У человека практически все стрессы являются психоэмоциональными, т.к. действие любых физических факторов обычно вызывает и эмоциональную реакцию.
Неспецифичность стрессорных реакций выражается в общности их проявления, независимо от вида стрессора. Специфические адаптивные реакции заключаются, например, в выработке АТ при появлении в ткани чужеродного белка, сужение зрачка при действии яркого света и др.
В одних и тех же условиях у разных людей стрессы могут протекать по-разному; «основной» удар может падать на разные системы: ССС, пищеварительную или иммунную.
3 стадии стресса (по Г. Селье):
Тревоги, беспокойства – состоит в мобилизации адаптационных возможностей организма за счет нейроэндокринных эрготропных механизмов, обеспечивающих значительное преобладание катаболических реакций, дающих энергии для борьбы и бегства. Эта стадия реализуется усилением восходящих влияний РФ, активности лимбической системы и КБП, что приводит к возбуждению симпатоадреналовой системы, которая, в свою очередь, может способствовать мобилизации другой регуляторной оси: «Гт-Гф-НДП». Характерные реакции НДП, иммунной системы и ЖКТ описаны Г. Селье как триада стресса:
увеличение и повышение активности коркового слоя НДП;
уменьшение (сморщивание) тимуса и других лимфоидных органов;
точечные кровоизлияния и кровоточащие язвочки в слизистой оболочке желудка и кишечника.
Позднее было показано, что в первой фазе стресса может повышаться секреция вазопрессина, тироксина и паратгормона, которые поддерживают катаболическую направленность метаболизма, а паратгормон повышает еще концентрацию Са в плазме крови, который повышает активность многих синапсов, клеточных мембран, увеличивает сократительную активность миокарда. Характеризуется повышенной психической и мышечной активностью. Интенсивное мышечное сокращение может быть причиной накопления метаболитов и болей в области головы, шеи, поясницы. Активируется ССС: ↑ ЧСС, АД, МОК, ОЦК; повышается кровоток в миокарде, головном мозге, скелетных мышцах и снижается в области кожи и в стенках внутренних органов. Повышается ЧД и ГД, МОД, расширяются бронхи, зрачки. Может повыситься секреция пищеварительных ферментов (эрозии и язвы). Повышаются свертываемость крови и СОЭ.
Стадия резистентности, сопротивления, адаптации – характеризуется восстановлением равновесия между катаболическими и анаболическими реакциями. Это обеспечивается повышением секреции таких анаболических гормонов, как СТГ, инсулин, МЛК. При этом признаки тревоги практически исчезают, а уровень сопротивляемости поднимается значительно выше обычного. Устойчивость организма к действию стрессора при этом повышается, возрастает резистентность и к другим неблагоприятным воздействиям, улучшается общее самочувствие, растет уровень здоровья. Такое явление Селье назвал «эустрессом», т.е. «хорошим стрессом».
Стадия истощения, или дистресса – развивается в результате длительного действия стрессорного раздражителя или при действии сильного стрессора, при исчерпании адаптивных резервов и может проявляться в новом повышении активности эрготропных механизмов или, напротив, трофотропных реакций, порой необратимых. Исходом этой сади могут быть срыв адаптивных механизмов, развитие болезни или смерть.
Схема развития стресса
Стрессор, действуя на рецепторы, вызывает возбуждение первичных сенсорных зон КБП. Оценивая возникшую опасность, они активируют НАС. В нервных клетках Гт происходит мобилизация НА. Из связанной формы НА переходит в свободное состояние, активирует норадренергические элементы лимбико-ретикулярной системы и вызывает возбуждение симпатических центров, тем самым усиливая деятельность симпатоадреналовой системы. Симпатическая стимуляция вызывает у человека повышенный выброс в кровь смеси А и НА из мозгового слоя НДП (НА – гормон «льва», А – «кролика»). Катехоламины (НА и А) через гематоэнцефалический барьер проникают в определенные участки Гт и лимбико-ретикулярной системы. Происходит активация адренергических, а также серотонинергических и холинергических элементов ЦНС. Повышение их активности стимулирует образование кортиколиберина, который, стекая к передней доле Гф из Гт, вызывает в нем повышение выработки АКТГ, под влиянием которого в коре НДП увеличивается синтез кортикостероидов, и содержание их в крови нарастает. Как только содержание кортикостероидов в крови достигает верхней границы нормы, срабатывает закон обратной связи. Проникая через гематоэнцефалический барьер в спинномозговую жидкость и мозг, кортикостероиды тормозят образование кортикотропина, и его уровень в крови падает.
При длительных и особо угрожающих жизни стрессогенных воздействиях в механизме обратной связи, прерывающей секрецию КС, могут возникать сбои. При этом КС прочнее связываются с транспортным белком крови – транскортином. Соединение КС+Т задерживается гематоэнцефалическим барьером и в мозг не поступает информация об избытке КС в крови, и секреция кортикотропина не снижается. Когда отрицательная обратная связь не срабатывает, начинается III стадия стресса - стадия истощения. Избыточное накопление гормонов коры НДП в жидких средах организма ведет к расстройству функций, которое распространяется постепенно на нервную и эндокринную системы, захватывая сердце, сосуды, легкие, органы пищеварения.
Читайте также:
