Псевдоаутосомное наследование. Пример
Добавил пользователь Евгений Кузнецов Обновлено: 28.11.2025
В связи с тем что кариотип организма — это диплоидный набор хромосом, большинство генов в соматических клетках представлены аллельными парами. Аллелъные гены, расположенные в соответствующих участках гомологичных хромосом, взаимодействуя между собой, определяют развитие того или иного варианта соответствующего признака. Являясь специфической характеристикой вида, кариотип представителей разного пола различается по паре половых хромосом. Гомогаметный пол, имеющий две одинаковые половые хромосомы XX, диплоиден по генам этих хромосом. Гетерогаметный пол имеет одинарный набор генов Х-хромосомы (ХО) или негомологичных участков Х- и Y-хромосом. Фенотипическое проявление и наследование отдельных признаков из поколения в поколение организмов зависит от того, в каких хромосомах располагаются соответствующие гены и в каких дозах они присутствуют в генотипах отдельных особей. Различают два основных типа наследования признаков: аутосомное и сцепленное с полом.
Аутосомное наследование. Характерные черты аутосомного наследования признаков обусловлены тем, что соответствующие гены, расположенные в аутосомах, представлены у всех особей вида в двойном наборе. Это означает, что любой организм получает такие гены от обоих родителей. В соответствиис законом чистоты гамет в ходе гаметогенеза все половые клетки получают по одному гену из каждой аллельной пары. Обоснованием этого закона является расхождение гомологичных хромосом, в которых располагаются аллельные гены, к разным полюсам клетки в анафазе I мейоза.
Ввиду того что развитие признака у особи зависит в первую очередь от взаимодействия аллельных генов, разные его варианты, определяемые разными аллелями соответствующего гена, могут наследоваться по аутосомно-доминантному или аутосомно-рецессивному типу, если имеет место доминирование. Возможен также промежуточный тип наследования признаков при других видах взаимодействия аллелей.
При доминировании признака, описанном Г. Менделем в его опытах на горохе, потомки от скрещивания двух гомозиготных родителей, различающихся по доминантному и рецессивному вариантам данного признака, одинаковы и похожи на одного изних (закон единообразия F1). Описанное Менделем расщепление по фенотипу в F2 в отношении 3:1 в действительности имеет место лишь при полном доминировании одного аллеля над другим, когда гетерозиготы фенотипически сходны с доминантными гомозиготами(закон расщепления в F2).
Наследование рецессивного варианта признака характеризуется тем, что он не проявляется у гибридов F1, а в F2 проявляется у четверти потомков.
В случаях формирования у гетерозигот нового варианта признака по сравнению с гомозиготами, что наблюдается при таких видах взаимодействия аллельных генов, как неполное доминирование, кодоминирование, межаллельная комплементация, гибриды F1 не похожи на родителей, а в F2 образуется три фенотипических группы потомков.
Завершая описание характерных черт аутосомно-доминантного и аутосомно-рецессивного наследования, уместно напомнить, что хотя в случае доминирования одного из аллелей присутствие в генотипе другого, рецессивного, аллеля не сказывается на формировании доминантного варианта признака, на фенотипическое проявление аллеля оказывает влияние вся система генотипа конкретного организма, а также среда, в которой реализуется наследственная информация. В связи с этим существует возможность неполной пенетрантности доминантного аллеля у особей, имеющих его в генотипе.
Сцепленное с полом наследование. Анализ наследования признака окраски глаз у дрозофилы в лаборатории Т. Моргана выявил некоторые особенности, заставившие выделить в качестве отдельного типа наследования признаков сцепленное с полом наследование.
Зависимость результатов эксперимента от того, кто из родителей являлся носителем доминантного варианта признака, позволила высказать предположение, что ген, определяющий окраску глаз у дрозофилы, расположен в Х-хромосоме и не имеет гомолога в Y-хромосоме. Все особенности сцепленного с полом наследования объясняются неодинаковой дозой соответствующих генов у представителей разного — гомо- и гетерогаметного пола.
Гомогаметный пол несет двойную дозу генов, расположенных в Х-хромосоме. Развитие соответствующих признаков у гетерозигот (Х A Х a ) зависит от характера взаимодействия между аллельными генами. Гетерогаметный пол имеет одну Х-хромосому (ХО или XY). У некоторых видов Y-хромосома генетически инертна, у других она содержит некоторое количество структурных генов, часть из которых гомологична генам Х-хромосомы. Гены негомологичных участков Х- и Y-хромосом (или единственной Х-хромосомы) у гетерогаметного пола находятся в гемизиготном состоянии. Они представлены единственной дозой: Х A Y, Х a Х, XY B . Формирование таких признаков у гетерогаметного пола определяется тем, какой аллель данного гена присутствует в генотипе организма.
Характер наследования сцепленных с полом признаков в ряду поколений зависит от того, в какой хромосоме находится соответствующий ген. В связи с этим различают Х-сцепленное и Y-сцепленное (голандрическое) наследование.
Х-сцепленное наследование. Х-хромосома присутствует в кариотипе каждой особи, поэтому признаки, определяемые генами этой хромосомы, формируются у представителей как женского, так и мужского пола. Особи гомогаметного пола получают эти гены от обоих родителей и через свои гаметы передают их всем потомкам. Представители гетерогаметного пола получают единственную Х-хромосому от гомогаметного родителя и передают ее своему гомогаметному потомству.
У млекопитающих (в том числе и человека) мужской пол получает Х-сцепленные гены от матери и передает их дочерям. При этом мужской пол никогда не наследует отцовского Х-сцепленного признака и не передает его своим сыновьям.
Так как у гомогаметного пола признак развивается в результате взаимодействия аллельных генов, различают Х-сцепленное доминантное и Х-сцепленное рецессивное наследование. Х-сцепленный доминантный признак (красный цвет глаз у дрозофилы) передается самкой всему потомству. Самец передает свой Х-сцепленный доминантный признак лишь самкам следующего поколения. Самки могут наследовать такой признак от обоих родителей, а самцы — только от матери.
Х-сцепленный рецессивный признак, (белый цвет глаз у дрозофилы) у самок проявляется только при получении ими соответствующего аллеля от обоих родителей (X a X a ). У самцовX a Y он развивается при получении рецессивного аллеля от матери. Рецессивные самки передают рецессивный аллель потомкам любого пола, а рецессивные самцы —только «дочерям».
При Х-сцепленном наследовании, так же как и при аутосомном, возможен промежуточный характер проявления признака у гетерозигот. Например, у кошек пигментация шерсти контролируется Х-сцепленным геном, разные аллели которого определяют черную (X A и рыжую (X A’ ) пигментацию. Гетерозиготные самки X A X A’ имеют пеструю окраску шерсти. Самцы же могут быть либо черными (X A Y, либо рыжими (X A’ Y).
Голандрическое наследование. Активно функционирующие гены Y-хромосомы, не имеющие аллелей в Х-хромосоме, присутствуют в генотипе только гетерогаметного пола, причем в гемизиготном состоянии. Поэтому они проявляются фенотипически и передаются из поколения в поколение лишь у представителей гетерогаметного пола. Так, у человека признак гипертрихоза ушной раковины («волосатые уши») наблюдается исключительно у мужчин и наследуется от отца к сыну.
Сцепленное с полом наследование
Вопросы:
1. Дайте определение термина «половые хромосомы». Какие существуют
виды половых хромосом? Приведите примеры расположенных в них
генов.
2. От чего зависит определение пола эмбриона? На каких этапах
происходит определение и дифференцировка пола у человека?
3. Чем различаются понятия детерминация пола и дифференцировка
пола?
4. Какие существуют виды сцепленного с полом наследования.
Вспомнить: на каком уровне регуляции работы генов происходит
инактивация Х-хромосомы.
Половые хромосомы (гоносомы)
Глазной альбинизм
Мышечная
дистрофия
Эндокринные
нарушения
Иммунодефицит
гемофилия
дальтонизм
Гены, локализованные на X и Y хромосоме
Электронная микрофотография хромосом X и Y
Число групп сцепления
у гомогаметного пола равно гаплоидному
набору хромосом,
а у гетерогаметного больше на 1.
У женщин = ?
У мужчин =?
Сцепленное с полом
наследование
Полное сцепление (X-сцепленное)
Голандрическое (Y-сцепленное)
Частично сцепленное с полом (неполностью
сцепленное с полом, или псевдоаутосомное)
Задача
Мужчина-дальтоник (цветовая слепота, признак
рецессивный, полностью сцеплен с полом) женился на женщине с
нормальным зрением, но имевшей отца-дальтоника. Может ли у них
родиться дочь-дальтоник?
1:
Решение:
Дано:
D — нормальное
зрение
d — дальтонизм
XdYd - отец
XDXd - мать
Найти: F1
Р
XDXd
X
XdY
Задача 1: Мужчина-дальтоник (цветовая слепота, признак
рецессивный, полностью сцеплен с полом) женился на женщине с
нормальным зрением, но имевшей отца-дальтоника. Может ли у
них родиться дочь-дальтоник?
Решение:
Дано:
P:
D — нормальное
зрение
d — дальтонизм
XDXd
XD
XdYd - отец
XdY
X
Xd
Xd
Y
G:
XDXd - мать
Найти: F1
F1:
XDXd
:
XDY
:
XdXd
:
XdY
Вероятность рождения дочери с цветовой слепотой — 25%
Задача 2: Определите вероятность всех возможных фенотипов
детей, которые могут родиться в браке мужчины-гемофилика со
здоровой женщиной, если отец женщины страдал гемофилией и
дальтонизмом? Гены дальтонизма и гемофилии находятся в Ххромосоме на расстоянии 9,8 сМ. Заболевания наследуются как
рецессивные признаки.
Задача 2: Определите вероятность всех возможных фенотипов
детей, которые могут родиться в браке мужчины-гемофилика со
здоровой женщиной, если отец женщины страдал гемофилией и
дальтонизмом? Гены дальтонизма и гемофилии находятся в Ххромосоме на расстоянии 9,8 сМ. Заболевания наследуются как
рецессивные признаки.
Решение:
Дано:
D — нормальное
зрение
d — дальтонизм
H — нормальная
свертываемость
h - гемофилия
Найти: F1
P:
G:
F1:
XDHXdh
XDH
Xdh
XDh
XdH
XDhY
X
Xdh
Y
XDHXdh : XdhXdh : XDhXdh :
XdHXdh
XDhY : XdhY : XDhY : XdHY
0,049 x 0,50 = 0,0245 или 2,45%
Задача 3: Агаммаглобулинемия наследуется как рецессивный признак.
Одна из ее форм определяется аутосомным геном, другая – сцепленным
с Х-хромосомой. Определите вероятность рождения больных детей в
семье, если известно, что мать гетерозиготна по обоим генам, а отец
здоров и среди его родственников не описаны случаи данного
заболевания.
Решение:
Дано:
А — норма
а - агаммаглобулинемия
XAXa Аа - мать
XAY AA - отец
Найти:
вероятность
рождения
больных детей
Задача 3: Агаммаглобулинемия наследуется как рецессивный признак.
Одна из ее форм определяется аутосомным геном, другая – сцепленным
с Х-хромосомой. Определите вероятность рождения больных детей в
семье, где известно, что мать гетерозиготна по обоим генам, а отец
здоров и среди его родственников не описано случаев данного
заболевания.
Решение:
Дано:
А — норма
а - агаммаглобулинемия
XAXa Аа - мать
XAY AA - отец
P:
G
F1:
XAXa
XA A, XA a, Xa A, Xa a
X
XAY АА
XA A, YA
XAXA AA : XАXAАа : XAXa AA : XAXa Аа
XAYAA : XAYAa : XaY AA : XaY Aa
2/8 = ¼= 25 %
Найти:
вероятность
рождения
больных детей
Аа
Научная электронная библиотека

Х-сцепленное наследование принято делить на Х-сцепленное рецессивное и Х-сцепленное доминантное.
Х-сцепленное рецессивное наследование
Поскольку мужчины имеют только одну хромосому Х, они являются гемизиготными по Х-сцепленным генам. Х-сцепленные рецессивные болезни проявляются у мальчиков, которые имеют только один мутантный аллель, а передаются здоровыми гетерозиготными женщинами-носительницами их сыновьям. Пораженные мужчины, в свою очередь, передают мутантный ген своим дочерям – облигатным носительницам, но не сыновьям. Этот тип передачи в родословной иногда называют «диагональным» (рис. 12).
Рис. 12. Родословная при Х-сцепленном рецессивном типе наследовании
Генетический риск. Если облигатная носительница Х-сцепленной рецессивной мутации вступает в брак со здоровым мужчиной, то каждый их сын будет иметь 50 %-й риск заболевания, а каждая дочь – 50 %-й риск быть носительницей. Поскольку мужчина передает хромосому Х только своим дочерям, а хромосому Y – сыновьям, то все дочери пораженных мужчин от браков со здоровыми женщинами являются облигатными носительницами, а все их сыновья здоровы. Таким образом, мужчина не может передать Х-сцепленное заболевание своему сыну за очень редким исключением при унипарентальной гетеродисомии.
В качестве примера Х-сцепленного рецессивного заболевания можно привести мышечную дистрофию Дюшена. Это самая частая мышечная дистрофия, первыми признаками которой являются переваливающаяся походка, трудности при подъеме по лестнице без болевых ощущений и тенденция к падениям ребёнка при ходьбе. Мышечная слабость
прогрессирует и пораженные мальчики умирают в конце второго – начале третьего десятилетия жизни. Таким образом, пораженные мужчины не имеют детей и не передают соответствующие мутации потомкам (рис. 13).
Рис. 13. Родословная семьи с мышечной дистрофией Дюшена
Вариабельная экспрессивность у женщин-гетерозигот. При многих Х-сцепленных болезнях женщины-гетерозиготы имеют мозаичный фенотип. Например, при Х-сцепленном альбинизме радужная оболочка и глазное дно больных мужчин не имеют пигмента, а у гетерозиготных женщин выявляется мозаичная (пятнистая) пигментация. Это объясняется феноменом Х-инактивации.
Х-сцепленное доминантное наследование
Х-сцепленные доминантные болезни являются редкими и выявляются у женщин-гетерозигот, а также у мужчин-гемизигот, имеющих мутантный аллель на единственной хромосоме Х. Х-сцепленное доминантное наследование напоминает аутосомно-доминантное. Но есть значимое отличие: пораженные мужчины передают заболевание только своим дочерям, а передача от отца к сыну невозможна (рис. 14). Примером этого типа наследования является витамин Д-резистентный рахит, при котором женщины обычно имеют более легкие формы заболевания, чем мужчины.
При многих Х-сцепленных доминантных болезнях у женщин может наблюдаться мозаицизм проявления болезни. Например, при синдроме Блоха – Сульцбергера (синдром недержания пигмента, тип II) наблюдается мозаичная пигментация кожи. Кроме того, это заболевание, также как синдром Ретта, является примером болезни, летальной для плодов мужского пола.
Рис. 14. Родословная при Х-сцепленном доминантном типе наследования
Наследование, сцепленное с хромосомой Y
Наследование, сцепленное с хромосомой Y, предполагает, что болеют только мальчики. Заболевание передается только от отца к сыну. В случае мутаций в генах хромосомы Y, вовлеченных в сперматогенез, возникает бесплодие вследствие азооспермии у мужчин. Технологии искусственного оплодотворения позволяют им иметь детей, но если при этом рождается сын, он также страдает азооспермией.
Влияние пола. Некоторые аутосомные признаки значительно чаще выявляются у одного из полов. Этот феномен получил название влияние пола. Лысина у мужчин является примером аутосомно-доминантного признака, ограниченного полом, что, по-видимому, является результатом влияния мужских половых гормонов. Другой пример – подагра, которая является очень редким состоянием у женщин до менопаузы, но после нее частота этого заболевания возрастает. При гемохроматозе
(аутосомно-рецессивном заболевании) у женщин-гомозигот намного реже возникает перегрузка железом и связанные с ней симптомы, чем у мужчин-гомозигот. Объяснением является физиологическая потеря железа женщинами во время менструаций.
Ограничение полом – это проявление определенных признаков у индивидуумов только одного пола. Пример: вирилизация девочек с аутосомно-рецессивным эндокринным заболеванием – врожденной гиперплазией коры надпочечников.
В табл. 4 кратко представлены основные признаки менделевских типов наследования.
Признаки менделевских типов наследования
Особенности заболевания у лиц разного пола
Особенности передачи
в родословной
Мужчины и женщины болеют в равной пропорции
«Вертикальный» тип передачи – больные во многих поколениях родословной. Передача от лица любого пола лицу любого пола.
«Горизонтальный» тип передачи – больные в одном поколении. Родители больного (больных) нередко могут быть родственниками.
Как правило, больны мужчины
«Диагональный» тип передачи: мужчины не могут передавать заболевание своим сыновьям. Возможна передача только внуку от деда через его дочь, которая является непораженой облигатной носительницей.
Болеют мужчины и женщины с преобладанием женщин. Женщины поражены в меньшей степени, чем мужчины. В случае летальных для мальчиков болезней поражены только девочки, наблюдаются спонтанные аборты в семье.
Пораженные мужчины могут передавать заболевание своим дочерям, но не сыновьям. Передача от мужчины к мужчине исключает Х-сцепленный тип наследования.
Сцепленный с хромосомой Y
Болеют только мужчины.
Пораженные мужчины могут передавать заболевание только своим сыновьям.
Множественные аллели и комплексные признаки
Выше рассмотрены признаки, с которыми связаны только два аллеля – нормальный и мутантный. Некоторые гены имеют более двух аллельных форм, т.е. множественные аллели. Некоторые из них могут быть доминантными, другие – рецессивными по отношению к нормальному аллелю. Пример множественных аллелей – наследование групп крови человека.
Развитие генетики сделало возможным исследование комплексных признаков, которые формируются при взаимодействии нескольких генов. На этой основе возникла концепция олигогенного (дигенного и триаллельного) наследования.
При дигенном наследовании наблюдается аддитивный эффект гетерозиготных мутаций в двух различных локусах. Например, одна из форм пигментного ретинита, приводящая к потере зрения, вызвана гетерозиготностью по мутациям двух генов (ROM1 и periferin). Оба эти гена кодируют белки, присутствующие в фоторецепторах сетчатки глаза. Индивидуумы, гетерозиготные по мутации только одного из этих двух генов, не имеют клинических проявлений.
Триаллельное наследование можно рассмотреть на примере синдрома Барде-Бидля – редкого заболевания, характеризующегося ожирением, полидактилией, аномалиями почек, пигментным ретинитом и когнитивными нарушениями. Семь различных генных локусов, мутации в которых ведут к синдрому Барде–Бидля, были идентифицированы. До недавнего времени считалось, что заболевание наследуется аутосомно-рецессивно. Однако, сейчас известно, что есть одна форма синдрома, когда индивидуум, гомозиготный по мутациям одного локуса, является также гетерозиготным по мутации другого локуса. Таким образом, для того, чтобы заболевание проявлялось, необходимо три мутантных аллеля.
Антиципация. При некоторых аутосомно-доминантных болезнях манифестация симптомов более ранняя и течение болезни более тяжелое у потомков по сравнению с их родителями, также страдающими этим заболеванием. Феномен увеличения тяжести болезни из поколения в поколение называют антиципацией. Одним из объяснений антиципации является экспансия нестабильных триплетных повторов. В качестве примеров можно привести такие болезни экспансии триплетных повторов как миотоническая дистрофия, хорея Гентингтона, болезнь Кеннеди.
Подготовка к ЕГЭ по биологии. Решение генетических задач (Линия 28)
9.Задача на сцепленное наследование (полное сцепление генов).
10.Задача на сцепленное наследование (неполное сцепление генов, кроссинговер).
11. Задача на сцепленное наследование в Х-хромосоме.
12.Смешанные задачи. В них рассматриваются наследование двух пар признаков: одна пара сцеплена с Х-хромосомой, а гены второй пары признаков расположены в аутосомах.
Все генетические задачи имеют единый принцип решения.
1. Определить тип задачи.
2. Составить схему решения задачи.
3. Объяснить полученные результаты.
Оформление генетических задач.
1. Внимательно прочитайте условие.
2. Определите характер скрещивания.
3. Определите доминантный и рецессивный признаки (по условию задачи или по результатам скрещивания F1 и F2).
4. Введите буквенные обозначения доминантного (заглавной буквой) и рецессивного (прописной буквой) признаков, если они не даны в условии задачи.
5. Если в задаче два и более скрещиваний подпишите их: 1) скрещивание, 2) скрещивание.
6. Запишите схему скрещивая:
Родительские организмы обозначьте буквой Р. На первом месте запишите ♀- значок женского организма и генотип женского организма, далее запишите x - значок скрещивания, справа от него запишите ♂ - значок мужского организма и генотип мужского организма. Обязательно под генотипом родителей подпишите их фенотипы (можно кратко: жёлтое тело – жёл., серое тело – сер.). Половую принадлежность пишете значками ( ♀ и ♂) всегда, даже если речь в задаче идёт о растениях и не понятно, где женское, а где мужское растение.
Зная генотипы родителей, определите, какие гаметы они дают. Гаметы обведите в кружочки, не дублируйте гаметы гомозигот: если у особи генотип АА, то пишите одну гамету А. Если генотип ААВВ, то пишите АВ.
Допускается лишь иная генетическая символика. Потомство от скрещивания (гибриды) обозначьте буквой F, цифрой обозначьте порядок поколения, например F1,F2. Запишите генотипы и фенотипы потомства.
Если в задаче дано конкретное количество потомков, обязательно укажите это в схеме задачи, записав число под фенотипом.
7. Обязательно ответьте на все вопросы, поставленные в задаче, объясните причины фенотипического расщепления в данном скрещивании.
Закон единообразия гибридов первого поколения
(первый закон Менделя, правило доминирования).
При скрещивании двух гомозиготных организмов, относящихся к разным чистым линиям и отличающихся друг от друга по одной паре альтернативных проявлений признака, всё первое поколение гибридов (F1) окажется единообразным и будет нести проявление признака одного из родителей.
Закон расщепления (второй закон Менделя)
При скрещивании двух гетерозиготных потомков первого поколения между собой, во втором поколении наблюдается расщепление в определенном числовом отношении: по фенотипу 3:1, по генотипу 1:2:1.
Закон независимого наследования признаков (Третий закон Менделя)
Третий закон в отличие от двух предыдущих скрещиваний исследует наследование одновременно двух признаков: цвета и формы семян. Такое скрещивание называется дигибридным ("ди" означает два). Расщепление по фенотипу 9:3:3:1
Закон сцепления генов (закон Моргана).
Закон Моргана : гены, расположенные в одной хромосоме, наследуются сцепленно (т.е. вместе). Нарушение сцепления может происходить в результате кроссинговера.
Промежуточное наследование признаков, или неполное доминирование
И сключение из 2 закона Менделя. Это явление, при котором потомство F 1 единообразное, но гетерозиготы (Аа) отличаются по фенотипу от доминантных гомозигот (АА), при этом и по фенотипу, и по генотипу наблюдается расщепление 1 АА (красные): 2 Аа (розовые) : 1 аа (белые), а не 3:1.
Такой тип наследования признаков имеют львиный зев, ночная красавица, душистый горошек.
Анализирующее скрещивание
При полном доминировании среди особей с доминантными признаками невозможно отличить гомозигоы (АА) от гетерозигот (Аа). Чтобы определить чистопородна (АА) или гибридна (Аа) данная особь проводят анализирующее скрещивание, при котором исследуемая особь с доминантными признаками скрещивается с рецессивной гомозиготой (аа).
Задача на сцепленное с полом наследование («крисс-кросс» наследование) плюс аутосомный признак (Сборник Рохлова. ЕГЭ 2021. 30 вариантов. Вариант 28)

(Иногда в задачах нужно бывает определить какой пол гетерогаметен или об этом будет сказано в задаче. У птиц и бабочек гетерогаметен женский пол, у млекопитающих – мужской).
1) скрещивание
Р: ♀ ААХ b Х b x ♂ аа X B Y
корот. щет., жёлт. тело норм. щет., сер. тело
G : А X b aX B , aY (1х2=2 варианта потомства)
F 1 : ♀18 короткая щетина, серое тело; 19 ♂ – короткая щетина, жёлтое тело.
(В F 1 признак окраски тела передаётся от матери сыновьям (жёлтое тело), а от отца – дочерям (серое тело), следовательно, гены, отвечающие за развитие этих признаков, находятся в половой X - хромосоме и наследуются сцеплено с полом («крисс-кросс» наследование).
Генотипы, фенотипы возможных дочерей:
18 Aa X B X b – короткая щетина, серое тело;
Генотипы, фенотипы возможных сыновей:
19 Aa X b Y – короткая щетина, жёлтое тело.
(В F 1 наблюдаем единообразие гибридов по характеру щетины – короткая щетина, следовательно, согласно закону единообразия гибридов первого поколения, родители гомозиготы по данному признаку; короткая щетина – доминантный признак).
Используйте решётку Пеннета, если сложно определить генотипы и фенотипы потомства:
Х-сцепленное доминантное наследование (ХД)
- если мать здорова, а отец болен, то у всех дочерей признак будет проявляться, а у сыновей нет.
ХД тип наследования характеризуется следующими признаками:
- доминантный мутантный аллель локализован в Х хромосоме и может проявляться как в гомозиготном (Х А Х А ), в гетерозиготном (Х А Х а ), так и в гемизиготном (х А у) состоянии;
- лица с генотипом Х А Х А , Х А Х а , Х А Y – больны, с генотипом Х а Х а , Х а Y – здоровы;
- болеют как мужчины, так и женщины, однако больных женщин вдвое больше, чем мужчин;
- заболевание проявляется в каждом поколении;
- если болен отец, то все его дочери будут больны, а сыновья здоровы;
- если мать больна, то вероятность рождения больного ребенка 50%, независимо от пола.
- больными будут дети только тогда, когда болен один из родителей;
- у здоровых родителей все дети будут здоровы (Рис. 5).

Родословная семьи с наследованием дефекта зубной эмали.
При анализе родословных в ряде случаев очень трудно отличить Х-сцепленный доминантный тип от аутосомно-доминантного типа наследования. Наиболее информативны те семьи, в которых передача заболевания происходит через больных отцов. В этом случае наблюдается избирательное поражение потомков женского пола – все дочери таких больных отцов заболевают, т.к. получат от отца Х-хромосому, несущую патологический ген, а все сыновья будут здоровы, т.к. унаследуют от отца Y-хромосому. Х-сцепленный доминантный тип наследования встречается крайне редко. По ХД типу наследуются фолликулярный кератоз, фосфатемия, коричневая окраска эмали зубов, маторно-сенсорная нейропатия 1 Х-типа (ОМIМ: 302800).

Родословная семьи с наследованием гипертрихоза ушной раковины.
Y-сцепленный (галандрический) тип наследования.
- признак встречается только у лиц мужского пола; » если отец несет признак, то, как правило, этим признаком обладают и все сыновья.
Данный тип наследования характеризуется только прямой передачей признака от отца к сыну (Рис. 6). В настоящее время идентифицировано около 100 генов, локализованных в Y-хромосоме. Большинство из них обусловливают развитие организма по мужскому типу, участвуют в сперматогенезе, в контроле роста тела и зубов. Мутации в некоторых генах приводят к развитию рака яичек, простаты и другим гонадопластомам.
Все гены Y-хромосомы делятся на 3 группы:
1. Гены псевдоаутосомных областей, идентичные в Х- и Y-хромосомах. Мутации в генах этой группы нарушают конъюгацию геносом (половых хромосом) в мейозе у мужчин, приводят к бесплодию.
2. Группа включает 10 Х-Y-гомологичных генов, локализованных в некомбинирующих областях Yp иYq. Эти гены экспрессируются во многих тканях и органах, включая яички и простату.
3. Группа включает 11 Y-специфичных генов, располагающихся в некомбинирующих областях Yp иYq. Продукты этих генов могут играть роль транскрипционных факторов и цитокининовых рецепторов, выполнять функции протеинкиназ и фосфатаз.
Некоторые из этих генов формируют AZF-регион, микроделеции в котором часто приводят к мужскому бесплодию: азооспермии и олигоспермии.
Y-сцепленные заболевания, как правило, возникают вследствии мутаций de novo. Мальчики, которые получили от своего отца мутацию, нарушающую развитие и функционирование мужских гонад, оказываются стерильными и не могут передать ее своему потомству, поэтому родословные с этим признаком оказываются неинформативными.
В целом, Y-хромосома характеризуется высокой нестабильностью, вследствие наличия большого числа различных повторов, мобильных генетических элементов, аберрантной рекомбинации между гомологичными облястями Х- и Y-хромосом или несбалансированного обмена между сестринскими хроматидами Y-хромасомы.
Примерами сцепленного с Y-хромосомой признака является гипертрихоз, синдиктимия.
При цитоплазматическом наследовании (ЦН) признак передается по материнской линии через цитоплазму, т.к. гены, обусловливающие цитоплазматическую наследственность расположены в цитоплазматических молекулах ДНК. Так, например, все митохондрии человека имеют материнское происхождение и получены человеком с материнской яйцеклеткой. При наличии мутации в том или ином количестве митохондрий яйцеклетка может передать мутации ДНК митохондрии своим детям обоего пола. Скорость мутаций в митохондриальной ДНК в 17 раз выше, что обусловливает высокую частоту спорадических случаев митохондриальных заболеваний.
Цитоплазматическая наследственность не подчиняется законам наследования ядерных генов.
1) признак одинаково часто встречается у представителей обоих полов;
2) признак передается потомкам только от матери;
3) мать, несущая признак, передает его либо всему потомству, либо только его части.
Клинические проявления митохондриальных заболеваний характеризуются задержкой физического развития, дисфункцией щитовидной железы, печеночной недостаточностью, миопатиями и кардиомиопатиями и многое другое.
Пенетрантность и экспрессивность. В генетике человека и в медицинской генетике часто выстречаются признаки, которые наследуются по типу неполного доминирования, по типу кодоминирования и по различным типам взаимодействия неаллельных генов.В процессе онтогенеза не все гены реализуются в признак. Некоторые из них оказываются блокированными другими неаллельными генами, проявлению некоторых признаков не способствуют, не благоприятствуют внешние условия. Пробиваемость гена в признак называется пенетрантностью. Пенетрантность отражает частоту фенотипического проявления имеющейся в генотипе генетической информации. Пенетрантность выражается в процентах особей, у которых анализируемый аллель фенотипически проявляется. Пенетрантность может быть полной (100%) и неполной (< 100%). При анализе родословной и составлении генетического прогноза необходимо учитывать значение пенетрантности, установленное для данного признака.
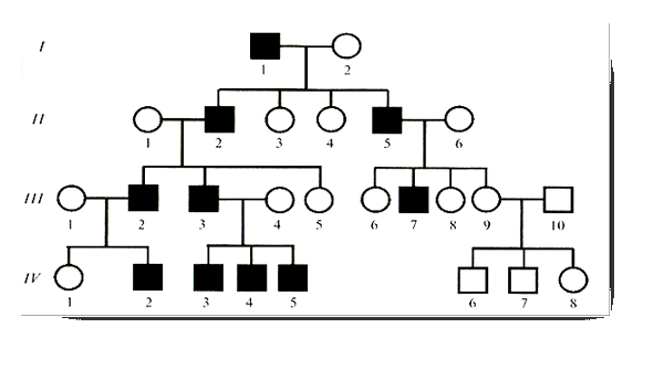
Пример решения задачи.Определите характер наследования признака и расставьте генотипы всех членов родословной
Задача.Определите характер наследования признака и расставьте генотипы всех членов родословно

1. Определяем тип наследования признака. Признак про
является в каждом поколении. От брака 1—2, где отец является носителем признака, родился сын, имеющий
анализируемый признак. Это говорит о том, что данный
признак является доминантным. Подтверждением доминантного типа наследования признака служит тот факт, что от браков родителей, не несущих анализируемого признака, дети также его не имеют.
2. Определяем, аутосомным или сцепленным с полом является признак. В равной степени носителями признака являются лица как мужского, так и женского пола. Это свидетельствует о том, что данный признак является аутосомным.
3. Определяем генотипы членов родословной. Введем обозначения генов: А - доминантная аллель, а - рецессивная аллель. В потомстве от браков, в которых один из родителей несет признак, наблюдается расщепление в соотношении 1:1, что соответствует расщеплению при анализирующем скрещивании. Это свидетельствует о гетерозиготности обладателей признака, то есть их генотип Аа.Лица, у которых признак не наблюдается, - генотип аа.
Ответ:признак наследуется по аутосомно-доминантному типу. Обладатели признака имеют генотип Аа,остальные члены родословной - аа.
Читайте также:
