Психотические расстройства, вызванные психоактивными веществами/лекарственными препаратами
Добавил пользователь Евгений Кузнецов Обновлено: 01.01.2026
Мероприятия, традиционно проводимые в апреле, были перенесены на октябрь.
Целью является расширение форм участия населения в профилактике немедицинского потребления и незаконного оборота наркотических средств и психотропных веществ, а также формирование общественного мнения, мотивирующего на здоровый образ жизни и устойчивость подростков и молодежи к давлению наркосреды.
В рамках месяца антинаркотических мероприятий с 1 по 31 октября в СПб ГБУЗ «Психоневрологический диспансер № 1» запланировал комплекс информационно-просветительских мероприятий антинаркотической направленности, которые будут реализованы во взаимодействии с администрацией Василеостровского района, подведомственных учреждений образования, здравоохранения, социальной защиты и органов местного самоуправления.
Мероприятия будут проведены с учетом действующих ограничений, связанных с распространением новой коронавирусной инфекции, и с соблюдением всех норм безопасности.
Возможно ли развитие шизофрении в результате наркомании?
Наркоманиия, как и алкоголизм, на сегодняшний день - одна из главных социальных проблем общества. Любая зависимость - это болезнь, неважно, каким веществом она вызвана, самое главное, что люди при этом страдают, их окружение, их семьи находятся в дисфункциональных связях. Дети из этих семей не получают должного воспитания. Это на сегодняшний день - большой бич для России.
Возможно ли развитие шизофрении «от наркомании»? Ответить однозначно на вопрос сложно, каждый случай рассматривается психиатрами индивидуально. Мозг — тонкая структура, это баланс большого количества нейромедиаторов. Когда вы вмешиваетесь в эту структуру, последствия могут быть самые непредсказуемые.
Наркотики, в особенности, синтетического производства, оказывают сильно негативное действие на нервную систему человека. Такие наркотики способны не просто разрушать клетки мозга, но и вызывать психические расстройства. Шизофрения и наркомания связаны сложными отношениями, так, после приема наркотических веществ возможно развитие симптомов схожих с проявлениями шизофрении (расстройства восприятия, галлюцинаторные состояния). При этом каждому, кто решил «попробовать» наркотик, надо понимать, что даже однократное употребление может привести к страшным последствиям для психики. Стоит ли экспериментировать со своей психикой?
Наркотики с психоделическим эффектом (ЛСД, «спайсы», амфетамин и тд.) легко могут провоцировать дебют шизофрении у здорового человека, если в его генах уже заложена предрасположенность к данному заболеванию. Учеными доказано, что прием амфетаминов на фоне шизофрении приводит к обострению клинической картины и значительному ухудшению состояния пациента. Если же диагноз уже поставлен, но больной продолжает употреблять психоактивные вещества, то прогноз крайне неблагоприятный. Процессы разрушения клеток головного мозга, а также деградация личности под воздействием наркотиков происходят намного быстрее. Высок риск возникновения психозов, которые протекают гораздо тяжелее, чем вне приема наркотических веществ.
Многие шизофреники под воздействием наркотиков становятся социально опасными. Они способны убить или покалечить окружающих, не испытывая при этом никаких угрызений совести (даже после выхода из состояния наркотического опьянения). Другая опасность - возможность самоубийства больного, которому в таком состоянии могут мерещиться многочисленные опасности, враги или наоборот - вместо балкона 15-го этажа человек может видеть зеленую лужайку и стремиться на нее попасть.
Развитие шизофрении могут спровоцировать сильные психоактивные вещества, употребляемые в больших количествах, обладающие сильным галлюциногенным эффектом. Одно из исследований подтверждает факт развития острых психозов на фоне употребления каннабиса.
Психозы на фоне наркомании. Синтетические наркотики вызывают психические расстройства, которые крайне сложно поддаются терапии. Продолжительный прием синтетических наркотиков вызывает выраженное беспокойство, приступы паники и депрессивные состояния. Употребление психоактивных веществ вызывает раздражительность, расстройства сна и аппетита, отклонения в поведении и сексуальные нарушения.
Наркотики приводят к аффективным расстройствам, которые могут «протекать» под маской дистимии, депрессивного состояния, биполярного расстройства.
Также среди наркоманов немало пациентов, страдающих параноидной шизофренией, которая наблюдается у любителей синтетических аналогов кокаина: амфетамина, первитина, метамфетамина. Симптомы проявляются в виде бредовых идей, слуховых, зрительных и тактильных галлюцинаций. У пациентов с данными расстройствами отмечается агрессивное поведение, они часто вовлекаются в криминальные ситуации.
При регулярном употреблении востребованной сегодня смеси к острым галлюцинациям прибавляются бредовые идеи, нарушения мышления, отчетливо просматриваются грубые изменения личности. Особы, пристрастившиеся к спайсу, обычно через определенное время попадают в психиатрическое отделение, ведь становятся опасными для здорового общества. Тогда врачи и могут заподозрить прогрессирование шизофрении, подкрадывающейся незаметно под воздействием синтетических каннабиноидов, к которым относится запрещенный препарат.
Помимо того, что он провоцирует значительное снижение коркового содержания дофамина, одновременно увеличивая его содержание в среднем мозге, препарат приводит к чрезвычайно быстрому развитию пагубного расстройства психики. Если человек предрасположен к возникновению психического расстройства, балуясь наркотиками, он достигает того, что затаившийся недуг трансформируется в шизофрению со всеми вытекающими последствиями. Прогрессируя семимильными шагами, она полностью отрезает человека от нормальной жизни.
Лечение психических расстройств от наркотиков . Терапия психозов, вызванных приемом наркотиков значительно осложняется, синтетические психоактивные вещества крепко связываются с рецепторами мозга и скапливаются в тканях организма. Лечение данного состояния производится прежде всего в условиях психиатрического стационара, психоневрологического диспансера квалифицированными специалистами - наркологом, психиатром, психотерапевтом.
До сих пор мы до конца не понимаем, как это лечить. Нужно подбирать медикаментозную схему. Зачастую это подбор препаратов, чтобы по чуть-чуть восстановить психику. Нередко процесс занимает несколько лет (. ) Лечение наркомании сложный процесс, требующий больших усилий и занимаемый много времени.
Наилучшим способом борьбы с пагубной зависимостью может быть длительная психотерапия. Как у здоровых, так и у больных людей, причиной тяги к алкоголю и наркотикам чаще всего является повышенный уровень тревоги, который помогает снять работа с грамотным психотерапевтом, который умеет взаимодействовать с психически нездоровыми пациентами, знает особенности их мышления и способы воздействия на специфически измененное сознание больного шизофренией.
СПб ГБУЗ «Психоневрологический диспансер №1» специалист по социальной работе Высоцкая В.П.
Психоактивные вещества и психозы

Известно, что среди лиц имеющих психические расстройства распространенность злоупотребления психоактивными веществами выше, чем среди населения в целом. Точные причины этого до сих пор неясны, однако, на этот счет выдвигается множество различных теорий. Общей гипотезой является то, что психиатрические пациенты используют психоактивные вещества в качестве самолечения. Кроме того, некоторые вещества сами по себе могут индуцировать психозы. Также популярно предположение, что потребление каннабиса уязвимыми лицами может ускорить наступление дебюта шизофрении и что этот эффект является дозозависимым.
Психозы, связанные с употреблением ПАВ (ППАВ) - это психотические состояния, развивающиеся во время опьянения или отмены, длительностью не менее 48 часов. Современные данные свидетельствуют о том, что у большого числа пациентов с ППАВ, развиваются хронические психотические состояния. Существует информация, что индуцированный каннабисом психоз трансформируется в шизофрению примерно в 50% случаев. Из-за столь высокого процента появляется все больше исследований направленных на выявление различий между психозами, связанными с употреблением каннабиноидов и шизофренией. В одном из исследований было показано, что пациенты с интоксикационным психозом попадали в поле зрения психиатров в более старшем возрасте, а также чаще имели родственников, злоупотребряющих ПАВ, по сравнению с пациентами с первичным эндогенным психозом. Касательно влияния других ПАВ на развитие психических расстройств в настоящее время существует не так много информации. Наиболее высокие показатели конверсии в шизофрению наблюдаются у лиц с ППАВ на фоне употребления амфетаминов (около 30%), галлюциногенов (24%), опиоидов (21%) и алкоголя (5%). Другое исследование показало, что у 23% пациентов с психозами, вызванными употреблением психоактивных веществ, в течение 3 лет диагностируется шизофрения. Психиатрические пациенты с химической зависимостью, получают достоверный диагноз позже, что приводит к задержке получения необходимого лечения. Если бы существовала возможность идентифицировать лиц с высоким риском трансформации, лечение можно было бы инициировать ранее.
Авторы данного исследования решили выяснить, какая доля психозов, индуцированных психоактивными веществами, трансформируется в шизофрению и биполярное расстройство. Также они задались задачей определить факторы риска для подобного перехода. В качестве источника информации использовалась известная нам по многим крупным психиатрическим исследованиям Датская система регистрации граждан. В исследование попала информация обо всех гражданах (n=6,788), которым в период с 1994 по 2014 год был диагностирован психоз, индуцированный употреблением одного или нескольких психоактивных веществ (F10.5-F16.5, F18.5-F19.5), лица с уже выставленными шизофренией или БАР были исключены. Пациенты были сопоставлены с 67 227 субъектами сравнения. Сравниваемые субъекты совпадали по полу, дате, месяцу рождения, календарному времени возникновения психоза и виду ПАВ. Далее оценивались наличие и темпы конверсии в шизофрению и биполярное аффективное расстройство. Также изучались следующие, наиболее доступные для клиницистов предикторы конверсии: психические расстройства, связанные с употреблением ПАВ, самоповреждающее поведение, синдром дефицита внимания и гиперактивности, расстройства личности, униполярная депрессия, расстройства пищевого поведения, расстройства аутистического спектра.
В таблице 1 перечислены предшествующие диагнозы тех пациентов, у которых впоследствии развились психозы, связанные с употреблением психоактивных веществ. Алкоголь индуцировал психоз у 34%, каннабис у 22%, а другие вещества или их комбинация у 27% исследуемых. Возраст развития психоза варьировал в зависимости от типа вещества: каннабис, кокаин, амфетамины, галлюциногены и другие вещества, чаще провоцировали развитие психотической симптоматики в возрасте до 30 лет, психозы связанные с приемом алкоголя, опиоидов и седативных препаратов чаще возникали в 45 лет и старше.
Таб. 1 Расстройства, предшествовавшие развитию психоза, связанного с употреблением ПАВ
| Вещество и ранее установленный диагноз | Мужчины | Женщины | Все пациенты | |||
| N | % | N | % | N | % | |
| Психоз, индуцированный ПАВ | 5,078 | 74.8 | 1,710 | 25.2 | 6,788 | 100.0 |
| Алкоголь | 1,680 | 33.8 | 635 | 37.1 | 2,315 | 34.1 |
| Опиоиды | 88 | 1.7 | 70 | 4.1 | 158 | 2.3 |
| Каннабис | 1,222 | 24.1 | 270 | 15.8 | 1,492 | 22.0 |
| Седативные вещества | 33 | 0.7 | 87 | 5.1 | 120 | 1.8 |
| Кокаин | 136 | 2.7 | 34 | 2.0 | 170 | 2.5 |
| Амфетамины | 423 | 8.3 | 132 | 7.7 | 555 | 8.2 |
| Галлюциногены | 91 | 1.8 | 23 | 1.4 | 114 | 1.7 |
| Другие вещества или смесь веществ | 1,405 | 27.7 | 459 | 26.8 | 1,864 | 27.5 |
| Предшествовавший психозу диагноз | ||||||
| Психические расстройства, связанные с употреблением ПАВ | 759 | 44.4 | 2,179 | 42.9 | 2,938 | 43.3 |
| Синдром дефицита внимания и гиперактивности | 154 | 3.0 | 28 | 1.6 | 182 | 2.7 |
| Расстройства личности | 831 | 16.4 | 464 | 27.1 | 1,296 | 19.1 |
| Униполярная депрессия | 426 | 8.4 | 262 | 15.3 | 688 | 10.1 |
| Тревожные расстройства | 210 | 4.1 | 144 | 8.4 | 354 | 5.2 |
| Аутизм | 25 | 0.5 | 3 | 0.2 | 28 | 0.4 |
| Расстройства пищевого поведения | 4 | 0.1 | 43 | 2.5 | 47 | 0.7 |
| Самоповреждения, предшествовавшие психозу | 1,165 | 22,9 | 592 | 34,6 | 1757 | 25,9 |
Доля пациентов, подвергшихся трансформации психоза
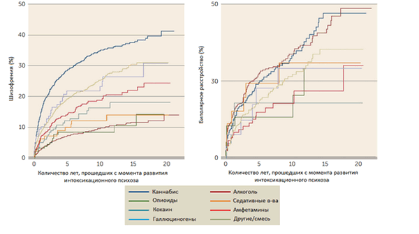
20-летняя степень трансформации интоксикационных психозов в шизофрению или биполярное расстройство в исследуемой когорте составила 32,2% (рис. 1). Коэффициенты конверсии составили 26.0% для шизофрении и 8.4% для биполярного расстройства. На рис. 2 показаны коэффициенты конверсии, характерные как для шизофрении, так и биполярного расстройства с самым высоким коэффициентом конверсии - 41,2% (объединенный - 47,4%), который наблюдался в случаях с психозами, индуцированными приемом каннабиса. Этот показатель стал самым высоким, среди всех ПАВ. Показатели для других веществ оказались на уровне 27,8% для галлюциногенов, 35,0% для других веществ или их комбинации, 32,3% для амфетаминов, 20,2% для кокаина, 19,9% для пациентов с психозом вызванным веществами с седативным действием, 19,9% для опиоидов, и 22,1% для алкоголя.
Рис. 1 Показатели последующей трансформации психоза, связанного с употреблением психоактивных веществ в шизофрению или биполярное расстройство

Риск конверсии в исследуемых случаях по отношению к субъектам сравнения
В таблице 2 приведены коэффициенты риска для перехода к шизофрении или биполярному расстройству для лиц с ППАВ относительно субъектов сравнения. Соотношение рисков при переходе в шизофрению составляло 77,3. Наибольший риск был отмечен для психозов, вызванных каннабисом, с коэффициентом риска 101,7. Оставшиеся типы психозов, выявляли коэффициенты риска от 23,4 для психоза, вызванного опиоидами, до 79,3 для психозов, вызванных амфетаминами. Величина риска трансформации в биполярное расстройство по сравнению с субъектами сравнения, составила 24,4. Не было обнаружено никаких достоверных указаний на то, что какое-либо вещество сильнее чем другие связано с риском трансформации в биполярное расстройство. На рисунках 1 и 2 приведены общие коэффициенты конверсии для шизофрении и биполярного расстройства и показатели для каждой категории веществ. Было обнаружено, что 50% трансформаций в шизофрению произошло в течение 3,1 года, а 50% конверсий в биполярное расстройство произошло в течение 4,4 лет. Для шизофрении половина пациентов мужского пола, страдающих каннабис-индуцированным психозом, подверглись трансформации в течение 2,0 лет, а 50% женщин - в течение 4,4 лет.
Рис. 2 Показатели последующей трансформации психоза, связанного с употреблением психоактивных веществ в шизофрению или биполярное расстройство, ранжированные по типу вещества

Предикторы трансформации
Предикторы преобразования интоксикационных психозов в шизофрению или биполярное расстройство приведены в таблице 3. Было обнаружено, что с возрастом риск трансформации психозов, индуцированных ПАВ уменьшался, для БАР такой динамики отмечено не было. Расстройства, связанные с употреблением ПАВ (коэффициент риска - 1,19), расстройства личности (коэффициент риска - 1,29) и пищевого поведения (коэффициент риска - 1,73) имели значительную связь с риском трансформации в шизофрению. Среди лиц с психозами, вызванными психоактивными веществами, конверсия в биполярное расстройство статистически достоверно прогнозировалась предшествующими диагнозами расстройств личности (коэффициент риска - 1,46), униполярной депрессии (коэффициент риска - 2,03) и тревожных расстройств (коэффициент риска - 1,59). Предшествовавшие эпизоды самоповреждения были связаны с уменьшением риска трансформации в шизофрению (коэффициент риска - 0,80), но не к биполярному расстройству (коэффициент риска - 0,71). Напротив, эпизоды самоповреждений, возникавшие после развития интоксикационного психоза, говорили в пользу более высокого риска перехода в шизофрению и биполярное расстройство с коэффициентами риска 1,92 и 1,60, соответственно.
Каннабис и шизофрения
Исследования показали, что употребление каннабиса и развитие индуцированного им психоза увеличивают риск трансформации в шизофрению и ускоряет наступление ее дебюта. Это соответствует выводу авторов о том, что 47,4% пациентов с каннабис-индуцированным психозом, подверглись трансформации в шизофрению и что эта частота почти вдвое превышает риск конверсии по сравнению с психозами, вызванными другими веществами. Полученные данные согласуются с выводами другого недавнего реестрового исследования, в котором среди спектра различных ПАВ, только каннабис был выделен как предиктор развития шизофрении. Из-за высокого коэффициента конверсии, также показанного и в других исследованиях, было высказано предположение, что психоз, вызванный каннабисом, не имеет различий от дебюта шизофрении. Были высказаны различные возможные причины для столь высокой распространенности шизофрении среди лиц, употребляющих каннабиноиды. Некоторые ученые считают, что первоначально выставленный диагноз каннабис-индуцированного психоза, на самом деле может являться проявлением шизофрении, а постановке правильного диагноза в таком случае мешает наличие зависимости. Другие же высказываются в пользу разделения этих двух диагнозов. Согласно этой гипотезе, высокий коэффициент конверсии не является признаком неправильного диагноза, а скорее указывает на то, что психоз, вызванный употреблением каннабиноидов, является одним из шагов на пути к развитию шизофрении и поэтому его можно использовать в качестве маркера. В данном исследовании в течение первых трёх лет произошло 50% трансформаций в шизофрению, однако оставшаяся половина случаев продолжала конверсию более равномерно в течение многих лет, предполагая установку других диагнозов. Если большинство случаев каннабис-индуцированного психоза, на самом деле являются неправильно диагностированным дебютом шизофрении, трансформация не происходила бы в течение столь длительного периода времени. Теория о том, что существует конкретная связь между каннабисом и шизофренией, также подтверждается доказательствами дозозависимой связи между потреблением каннабиса и риском шизофрении. Поэтому психоз, вызванный каннабисом, должен считаться важным фактором риска развития шизофрении.
Таб. 3 Предикторы последующей трансформации психоза, связанного с употреблением психоактивных веществ в шизофрению или биполярное расстройство
a Датские законы запрещают разглашать точное количество случаев в диапазоне 0
Преобразование в биполярное расстройство
Психозы, индуцированные алкоголем, каннабисом или седативными препаратами были в большей степени связаны с повышенным риском трансформации в биполярное расстройство, по сравнению с субъектами сравнения. 9,9% пациентов с алкогольными психозами, подверглись трансформации в БАР. В предыдущих подобных исследованиях данный показатель соотвествовал 5%. Хотя конверсия в БАР у пациентов с индуцированными ПАВ психозами происходит намного реже, чем в шизофрению, в случае алкогольных психозов таких различий не наблюдалось. Частота трансформации определялась на уровне 9,9% для биполярного расстройства и 13,9% для шизофрении.
Факторы риска трансформации
Среди пациентов с интоксикационными психозами трансформация в шизофрению чаще всего наблюдалась в возрастной группе от 16 до 25 лет, наименьший риск имела группа старше 51 года. Это подтверждает данные о том, что молодые люди более подвержены особому риску перехода к шизофрении. В ситуации с БАР возрастное распределение было более четким, более высокий риск конверсии наблюдался в группе лиц старше 51 года. Это говорит о необходимости мониторинга таких пациентов вне зависимости от их возраста. Мужчины имели более высокий риск трансформации в шизофрению - такое же гендерное распределение наблюдается и в общей популяции. Противоположные данные были обнаружены в отношении перехода к биполярному расстройству, где мужчины подвергались меньшему риску, что не отражает гендерное распределение БАР в популяции. Это, в сочетании с более быстрой трансформацией в БАР, наблюдающейся у женщин, предполагает, что женщины подвержены особенно высокому риску конверсии по сравнению с мужчинами. Большинство пациентов с шизофренией или биполярным расстройством имеют и другие диагнозы в предшествующем ППАВ анамнезе. Им могут предшествовать такие расстройства, как СДВГ, расстройства личности, униполярная депрессия, тревожные расстройства, аутизм и расстройства пищевого поведения. Был обнаружен значительно более высокий риск трансформации в шизофрению у пациентов, с диагностированными ранее психическими расстройствами, связанными с употреблением ПАВ, расстройством личности или расстройствами пищевого поведения. Авторы показали, что пациенты с ранее имевшимся диагнозом тревожного расстройства, униполярной депрессии или расстройства личности имели более высокий риск трансформации в биполярное расстройство. Клиническое представление о расстройствах пищевого поведения часто включает в себя психотические особенности, связанные с самооценкой и эти симптомы могут быть предвестниками шизофрении. Было показано, что и пациенты с шизофренией или БАР и лица пережившие ППАВ довольно часто обнаруживают суицидные тенденции и склонность к самоповреждающему поведению. Самоповреждающее поведение, возникавшее после психоза сочеталось с повышенным риском трансформации в БАР и шизофрению, что значительно повышает риск суицида. Последующее наблюдение пациентов перенесших ППАВ может помочь предотвратить попытки самоповреждения или самоубийства.
Подготовила: Чеснокова Ольга
Источник: Starzer M. S. K., Nordentoft M., Hjorthøj C. Rates and Predictors of Conversion to Schizophrenia or Bipolar Disorder Following Substance-Induced Psychosis //American Journal of Psychiatry. - 2017.
Дорогой читатель, в благодарность ты можешь материально поддержать наш проект или конкретно автора данной статьи, написав его фамилию в сопроводительном письме денежного перевода. Или можно просто щёлкнуть по рекламе в любом месте сайта 🙂
Такая поддержка являются пока единственным способом развития нашего проекта.
Сбербанк - 5469 5500 1827 1533 ЯндексДеньги - 410011063875586 Сбербанк - 5469 5500 1827 1533 ЯндексДеньги - 410011063875586 Сбербанк - 5469 5500 1827 1533 ЯндексДеньги - 410011063875586
Добавить комментарий Отменить ответ
Этот сайт использует Akismet для борьбы со спамом. Узнайте, как обрабатываются ваши данные комментариев.
Токсикомания - симптомы и лечение
Что такое токсикомания? Причины возникновения, диагностику и методы лечения разберем в статье доктора Серегина Дмитрия Алексеевича, психотерапевта со стажем в 11 лет.
Над статьей доктора Серегина Дмитрия Алексеевича работали литературный редактор Вера Васина , научный редактор Сергей Федосов и шеф-редактор Лада Родчанина
Определение болезни. Причины заболевания
Токсикомания — расстройство, вызванное употреблением летучих бытовых и промышленных химикатов, содержащих психоактивные вещества: бензол, ксилол, толуол, ацетон, этиловый и амиловый эфиры, трихлорэтилен и др. Токсикомания от наркомании отличается тем, что применяются химикаты, законодательно не относящиеся к наркотическим, но не менее опасные.
Согласно определению Всемирной организации здравоохранения (ВОЗ), расстройство включает четыре элемента:
- неконтролируемое побуждение употреблять психоактивное вещество;
- тенденция к увеличению дозы (рост толерантности);
- психологическая и физическая зависимость;
- вредные последствия для повседневной жизни (эмоциональные, социальные, экономические) [5] .
В России за период с 2000 по 2010 гг. число больных токсикоманией, состоящих на учёте в наркологических диспансерах, снизилось на 1,1 % и составило 9,4 пациентов на 100 тыс. населения. Реальный уровень токсикомании значительно выше, поскольку официальная статистика опирается на случаи обращения за медицинской помощью и вынужденных обследований [7] .
Максимальный уровень зависимости от психоактивных веществ — в Сахалинской области (45,3 больных на 100 тыс. населения). Проблемные территории с показателем 30 и более больных на 100 тыс. населения: Камчатский край, Удмуртская Республика, Ивановская, Челябинская, Магаданская области [7] .
Химикаты (ингалянты) угнетают центральную нервную систему, действуя сначала на кору головного мозга, а затем, по мере повышения концентрации в крови, на стволовые структуры мозга. Систематическое употребление сопровождается нарушением движения крови по сосудам (гемодинамики), дыхания, двигательной активности, обмена веществ в органах и тканях. Наиболее опасны средства бытовой химии, вызывающие тяжёлые поражения внутренних органов и систем [15] .
Эффект от приёма летучих растворителей проявляется быстро и длится от пары минут до нескольких часов. Ингалянты популярны среди подростков как альтернатива запрещённым наркотикам. Доступность, низкая стоимость и способность быстро влиять на настроение делают летучие растворители особенно привлекательными. Как правило, токсикоманы пропитывают ткань химикатом, помещают её в пластиковый пакет или контейнер и вдыхают испаряющиеся летучие вещества.
Согласно докладу Национального института по борьбе со злоупотреблением психоактивными веществами, приём ингаляционных веществ распространён среди бездомных детей и подростков, которые живут на улицах без семьи [3] . Исследования показывают связь между уровнем образования, наличием работы, благосостоянием и потреблением психотропных веществ [7] .

При токсикомании используют бензол, этилбензол и толуол. Толуол в чистом виде запрещён, поэтому в качестве токсичных веществ применяют содержащие его вещества: клей, лаки и растворители.
Популярное среди российских подростков злоупотребление бытовым газом — опасный вид токсикомании. Газ вдыхают из баллонов для заправки зажигалок и малогабаритных плит. Наполнение им лёгких и вытеснение кислорода приводит к удушью и потере сознания с летальным исходом.
При обнаружении схожих симптомов проконсультируйтесь у врача. Не занимайтесь самолечением - это опасно для вашего здоровья!
Симптомы токсикомании
Воздействие ингалянта зависит от дозы и типа вещества. При непродолжительном вдыхании паров резинового цемента или разбавителя краски наступает состояние, схожее с алкогольным опьянением. Длительное вдыхание растворителей или газов искажает восприятие времени и пространства, вызывает галлюцинации и эмоциональные нарушения: подавленное настроение с раздражительностью, гневливостью и тревогой.
У зависимых наблюдается:
- головная боль;
- тошнота и рвота;
- невнятная речь;
- нарушение координации движений;
- одышка;
- покраснение или сыпь вокруг носа и рта.
Запах краски и растворителей от одежды, кожи, изо рта — частый признак злоупотребления ингалянтами. Остатки краски или растворителя могут выделяться с потом [18] .
Согласно исследованиям, даже один эпизод злоупотребления ингалянтами может нарушить сердечный ритм, понизить уровень кислорода и привести к смерти. Регулярное злоупотребление вредит мозгу, почкам, сердцу и печени [17] .
У больных возникает:
- напряжённость;
- тревога;
- раздражительность;
- подавленное настроение (дисфория);
- физическая слабость и недомогание.
Для устранения дискомфорта зависимые принимают ингалянт вновь. Патологическое влечение к приёму психоактивных веществ преобладает в мотивации человека. Токсикант употребляют для улучшения состояния, вызванного проблемами с общением, конфликтами с законом, ухудшением здоровья, ослабления тягостных абстинентных состояний. Приём ингалянтов, несмотря на эти обстоятельства, — диагностический критерий зависимости от психоактивных веществ, используемый современными клиницистами.
Злоупотребление ингалянтами приводит к психозам с искажённым восприятием реальности, в результате чего больные получают бытовые травмы [16] . Начиная с малой дозы, токсикоманы регулярно увеличивают потребление вещества, поскольку эффект от приёма снижается. В итоге они доходят до смертельного уровня.
Внезапное прекращение приёма сопровождается соматическими симптомами (абстиненцией), психологической зависимостью, химическим и гормональным дисбалансом.
Абстинентный синдром при токсикомании — это реакция центральной нервной системы на прекращение регулярного употребления психоактивных веществ. Сопровождается подавленным настроением, тревогой, раздражительностью, головной болью, возбуждением, потливостью. К объективным проявлениям относятся тремор пальцев и век, учащение пульса, повышение артериального давления, расширение зрачков, судороги мышц. Признаки абстиненции появляются к концу первых суток после прекращения приёма ингалянта. Состояние утяжеляется на протяжении 4-6 суток, затем симптомы абстиненции проходят, но продолжительное время (до 1-1,5 месяца) сохраняется подавленное настроение, нарушения сна, приступы тоски или агрессивности.
Патогенез токсикомании
Токсикомания — комбинация физической и психической зависимости. Употребление психоактивных веществ начинается с экспериментов, затем переходит к периодическому употреблению, а после — к зависимости с подавленностью при отсутствии препарата и подъёме настроения в ожидании приёма. Психическая зависимость — частая причина рецидивов. Согласно современным исследованиям, генетический фактор — одна из причин развития зависимостей [14] .
Критические факторы развития токсикомании: доза ингалянта, частота ввода и способ введения. Во время приёма нервная система развивает компенсаторные механизмы для саморегуляции в присутствии токсиканта. Резкое исчезновение психоактивного вещества из организма нарушает постоянство внутреннего состояния, а компенсаторные механизмы приводят к абстиненции [13] . Токсикоман продолжает употреблять ингалянты, несмотря на негативные последствия для здоровья, социальной жизни и собственных попыток прекратить приём [14] [15] [16] .
При токсикомании нарушается работа сердца:
- периодическое уменьшение частоты сердечных сокращений ниже допустимых значений (синусовая брадиаритмия);
- задержка распространения электрического импульса в толще сердечной мышцы (нарушение внутрижелудочковой проводимости);
- замедленное прохождение импульса, выработанного в синусно-предсердном узле, к рабочему миокарду желудочков (замедление атриовентрикулярной проводимости);
- повышение нагрузки на правое предсердие;
- недостаток питания в области задней стенки левого желудочка.

Токсиканты влияют на передачу импульсов в дофаминовых нервных путях и медиальной префронтальной коре (передней части лобных долей). Считается, что эти структуры лежат в основе патологической зависимости. Психоактивные вещества вызывают нарушения на всех уровнях работы организма, взаимодействуют с селективными рецепторами нейромедиаторов, оказывают токсическое действие.

Классификация и стадии развития токсикомании
Формы расстройства классифицируют по активному веществу, которым злоупотребляет больной. Большинство психоактивных ингалянтов входят в состав бытовых или промышленных химических продуктов, не предназначенных для вдыхания. Выделяют три категории веществ:
- растворители;
- газ;
- медицинские препараты, используемые не по назначению.
Ингалянты, предназначенные для бытового или промышленного использования, вдыхают через нос и рот. К летучим растворителям относятся:
- нефтепродукты (бензин и керосин);
- толуол (используют в разбавителях красок, цемента и клея);
- ацетон (применяют для разбавления красок);
- хлорфторуглероды в аэрозолях (лаки для волос и дезодоранты);
- баллоны с пропаном и бутаном.

Стадии развития токсикомании:
- Психологическая зависимость. Характеризуется любопытством и желанием экспериментов. Важную роль в инициации и поддержании токсикомании на этом этапе играет окружение.
- Физическая зависимость. У токсикомана возникают проблемы со здоровьем и абстинентное состояние.
- Деградация личности. Тяжёлые и необратимые изменения в организме. Отсутствие желаемого эффекта от приёма вещества, наряду со снижением устойчивости к нему, часто приводит к передозировке и гибели.
Осложнения токсикомании
При хронической токсикомании из-за длительной интоксикации поражается нервная система. По мере воздействия на ЦНС развиваются галлюцинации и бред. Больные психически деградируют — сужается круг интересов, ухудшаются когнитивные способности, возникает проблемы в общении. Находясь под действием психоактивных веществ, зависимые попадают в опасные ситуации и получают травмы.
Токсикомания вызывает:
- поражение печени и почек;
- расстройство центральной нервной системы;
- повреждение головного и костного мозга; (из-за снижения сопротивляемости к инфекциям); и остановку сердца;
- недостаток кислорода (гипоксию) и удушье (асфиксию рвотными массами).
Ещё одна опасность — замерзание горла или "аэрозольный ожог", потенциально смертельный для человека. Когда газ, который хранился под высоким давлением, высвобождается, происходит резкое охлаждение (до -20°C). Возможно обморожение с неконтролируемым сокращением гортани (ларингоспазмом) [13] [14] .
Вдыхание этилбензола и толуола приводит к потере слуха, судорогам конечностей, повреждению центральной нервной системы и головного мозга [5] . Известен синдром "Sudden Sniffing Death" ("внезапная смерть от вдыхания") — нарушение сердечного ритма, сердечная недостаточность и внезапная смерть при токсикомании.

Единственный способ предотвратить синдром — избежать вдыхания токсичных веществ. В отличие от многих других препаратов, способных вызвать передозировку, безопасных доз ингалянта не существует. [18] .
Ингалянты, употребляемые при беременности, неблагоприятно влияют на плод, повышают риск преждевременных родов и врождённых дефектов у детей.
Диагностика токсикомании
Злоупотребление психоактивными веществами выявляют по клиническим признакам и изменению поведения, но проявления различны в зависимости от типа вещества, дозы и организма пациента. Токсичные ингалянты не обнаруживаются с помощью стандартных анализов для выявления запрещённых препаратов. Выявить их можно с помощью методов газовой и газожидкостной хроматографии в специализированных лабораториях. Показания к проведению исследования возникают редко, лишь в случае, когда это необходимо для судебно-медицинской экспертизы. На употребление ингалянтами может указывать аномальное повышение уровня печёночных ферментов. Диагностика пациента с острой ингаляционной интоксикацией может включать общий анализ крови, определение уровня электролитов в крови, печеночный и почечный профили, оценку кислотно-основного состояния крови, анализ сердечного фермента [24] .
Для подтверждения токсикомании ВОЗ рекомендует использовать ICD-10 (Международная классификация болезней 10-го пересмотра), подразделы F10-F19 "Психические расстройства и расстройства поведения, связанные с употреблением психоактивных веществ" [23] .
Критерии для определения расстройства:
- сильная тяга к психоактивным веществам;
- неконтролируемое поведение при употреблении токсикантов;
- состояние отмены;
- рост толерантности;
- приём продолжается, несмотря на осознание вреда здоровью.
Американская Психиатрическая Ассоциация для диагностики патологии рекомендует применять DSM-5 (Диагностическое и статистическое руководство по психическим расстройствам 5-го издания). По DSM-5 зависимость от психоактивных веществ устанавливают при наличии в течение 12 месяцев трёх или более критериев:
- рост толерантности с увеличением дозы вещества для достижения эффекта;
- абстиненция, подтверждённая симптомами отмены;
- постоянная тяга и неспособность контролировать употребление ингалянта;
- значительное снижение социальной активности;
- сохранение физических и психических осложнений после прекращения приёма.
Зависимость от психоактивных веществ в соответствии с DSM-5 сопровождается непреодолимым стремлением к употреблению ингалянта с тотальной вовлечённостью больного (компульсивное влечение) [21] .
Лечение токсикомании
Лечение токсикомании — длительный и сложный процесс, сопряжённый с частыми рецидивами. Реабилитацию проводят стационарно в больнице и амбулаторно без круглосуточного пребывания в клинике. При терапии избегают препаратов, воздействующих на обмен катехоламинов (группы гормонов, таких как адреналин, норадреналин, дофамин, синтезируемых в надпочечниках) из-за риска повышенной чувствительности к ним миокарда, вызванного ингалянтами. Сложной задачей является терапия сопутствующей аритмии, конкретные протоколы лечения отсутствуют. Некоторую пользу приносят бета-блокаторы.
Этапы лечения:
- Вывод токсичных веществ из организма (детоксикация) и устранение абстинентного синдрома.
- Устранение обменных нарушений и последствий употребления психоактивных веществ, терапия поведенческих расстройств и психического состояния.
- Коррекция психической зависимости.
- Поддерживающая терапия.
Особое внимание уделяется решению профессиональных и бытовых проблем, компенсации пропущенных занятий в учебном заведении, восстановлению социальных связей. Необходимо сформировать новые привычки проведения досуга и изменить модель поведения, характерную для зависимых — эгоцентризм, тяга к удовольствиям, отсутствие самодисциплины, непринятие ответственности и обязательств, обвинения окружающих в своих неудачах [2] [3] [4] .
Реабилитация может включать группы поддержки (12-шаговые программы) и психотерапию (мотивационную и когнитивно-поведенческую).

Во многих странах, в том числе в России, действуют реабилитационные центры, основанные на христианских ценностях. Они позволяют пациентам получить поддержку и найти новые ориентиры в жизни.
Прогноз. Профилактика
Прогноз часто неблагоприятный из-за суицидов, несчастных случаев, тяжёлых абстиненций. Токсикомания приводит к глубоким и необратимым изменениям головного мозга и всей нервной системы.
Ингаляционные токсиканты используют дети, подростки, потому что эти вещества входят в состав легально доступных недорогих продуктов, таких как дезодоранты, разбавители и лаки для волос. Несмотря на то, что многие ингалянты разрешены к продаже, в некоторых странах приняты законы по ограничению доступа несовершеннолетних.
Профилактика токсикомании схожа с предупреждением прочих наркологических расстройств и включает следующие мероприятия:
Психические расстройства наркозависимых

Употребление наркотических веществ приводит к ухудшению физического здоровья и провоцирует формирование психических заболеваний. О том, что у человека нарушено психоэмоциональное состояние, может подсказать смена поведения, деформация характера, проявление несвойственных ему эмоций, нарушение режима дня, галлюцинации и ряд других симптомов.
Какие психические расстройства вызывают наркотики
У зависимых может развиться амнестический синдром. Больные сталкиваются с тем, что перестают понимать элементарные вещи, теряют адекватное ощущение времени, с трудом вспоминают недавние события и усваивают новую информацию.
Наиболее часто у наркоманов развивается:
- Маниакально-депрессивный психоз(биполярное расстройство). Это чередование двух аффективных состояний - мании и депрессии. Во время маниакальной фазы человек последовательно проходит через стадии повышенной бодрости, агрессивности или эйфории и снижения потребности во сне. А на этапе депрессивной фазы больной переходит от ухудшенного настроения к подавленности и повышенной тревожности, а затем к ощущению ненужности, бессмысленности своего существования и мыслям о суициде.
- Шизофрения. Ее развитие нередко провоцирует первитин, амфетамин и синтетические аналоги природных опиоидов. У зависимых наблюдаются депрессии, деформация характера, агрессивность, повышенная тревожность. Их преследуют бредовые идеи, зрительные, слуховые и тактильные галлюцинации. Люди с шизофренией потенциально опасны для себя и других людей, поскольку не отдают себе отчет во время приступов ярости и бредовых состояний.
- Невроз. Для него характерны: быстрая смена настроения, повышенная тревожность и нарушения сна. Есть и физиологические проявления этого патологического состояния - потливость, приступы аритмии, тахикардии и различные сбои гормонального фона.
Причина психических расстройств кроется в том, что ПАВы влияют на активность мозга и функционирование центральной нервной системы. Психика пытается защитить себя от отрицательного воздействия химических веществ и перманентного стресса, в котором находится зависимый человек.
Терапия психических расстройств наркоманов
Лечение психопатологий невозможно проводить без устранения причины. Для начала зависимому надо пройти процедуру детоксикации, коррекции работы внутренних органов и мотивирования на лечение заболевания. Но уже на этих этапах психотерапевты-наркологи значительно сглаживают симптомы психических отклонений, назначая снотворные и седативные препараты, а также прием транквилизаторов и нейролептиков.
Целенаправленная терапия психических расстройств происходит во время реабилитации. Для каждого пациента специалисты индивидуально подбирают лекарственные средства. Больным помогают проработать отклонения в поведении и внутренние конфликты с помощью методов когнитивно-поведенческой терапии. Кроме того, их учат способам эмоциональной разрядки, мышечного расслабления и переоценки различных событий.
Грамотные психотерапевты реабилитационного центра «Свобода» знают особенности мышления и способы влияния на людей с измененным сознанием. Они проводят длительную работу, помогая реабилитантам избавиться от наркотической зависимости и постепенно восстановить психическое здоровье.
Преимущества комплексного лечения наркомании и реабилитации людей с психическими отклонениями
Наш центр проводит восстановительную терапию и психотерапию для пациентов с диагностированными психическими отклонениями. Высокую эффективность программы обеспечивает:
- индивидуальный подход;
- формирование персонального курса реабилитации;
- психологическая поддержка;
- восстановление личности и социальных навыков;
- закрепление достигнутых результатов во время этапа социализации;
- полная анонимность.
Вы можете обратиться к нам в круглосуточном режиме и в любой день недели за услугой детоксикации, вывода из запоя, вызова нарколога или медсестры на дом, кодирования. Мы поможем замотивировать на лечение, пройти реабилитацию и ресоциализацию.
Обращайтесь к нам, мы успешно избавляем людей от наркотической зависимости, восстанавливаем их физическое и психическое здоровье.
Часто задаваемые вопросы
В чем причина психологической зависимости от наркотиков?
Чтобы испытать удовольствие или чувство удовлетворения, человеку необходимо определить желанный для него результат, совершить действия по его достижению и добиться цели. Наркотики активируют синтез эндорфинов, поэтому человек испытывает удовольствие без анализа, постановки задачи и продуктивных действий. Фактически, наркомания - это разрушительный способ чувствовать себя хорошо, вопреки обстоятельствам реальной жизни.
Спайсы вызывают психические расстройства?
Несомненно. При регулярном употреблении курительные смеси провоцируют галлюцинации, бредовые состояния, деформацию личности и прогрессирование шизофрении.
Легкие наркотики опасны для психики?
Да. Название «легкие» они получили только потому, что в них относительно низкая концентрация психоактивных соединений. В случае эпизодического употребления в малых дозах, толерантность и физическая зависимость практически не развивается, а вот психологическая формируется вполне успешно. Как только человек начинает принимать ПАВ чаще и увеличивать его дозировки, у него неизбежно возникают психические отклонения.
Что влияет на скорость развития психологической зависимости и психических отклонений при приеме наркотиков?
Скорость зависит от совокупности факторов - легкодоступности и типа ПАВа, пути введения в организм, быстроты, с которой соединение преодолевает гематоэнцефалический барьер, вызывает толерантность и синдром отмены.
От чего зависят особенности расстройства личности?
От состава наркотического препарата, его дозы, типа ПАВа и типа личности человека.
Психотропные лекарственные препараты

Психотропными или психоактивными веществами называют вещества, оказывающие влияние на центральную нервную систему, что приводит к изменению психического состояния больного.
Какие лекарственные препараты являются психоактивными
Психоактивные вещества (ПАВ) различаются по способу производства и по действию на психику, на организм. По способу производства различаются:
- вещества природного происхождения, выделенные из растительного сырья;
- полусинтетические, то есть синтезируемые из растений; - вырабатываемые из других химических веществ.
По действию на психику ПАВ делятся на следующие виды препаратов:
Депрессанты подавляют нервное возбуждение, активность центральной нервной и дыхательной систем. КУ депрессантам относятся снотворные, седативные препараты, нейролептики, транквилизаторы. Нейролептики, или антипсихотики - вещества подавляющие нервную деятельность, снижающие возбудимость. Эти препараты устраняют бред, галлюцинации. Не влияя на сознание, они подавляют эмоциональность, психомоторное возбуждение.
Психостимуляторы обладают противоположным действием по отношению к депрессантам. Эта группа препаратов активирует психическую деятельность организма. В меньшей степени психостимуляторы влияют на физическое тело.
Антидепрессанты тоже являются психоактивными веществами. Воздействуя на уровень таких нейромедиаторов, как дофамин, норадреналин и серотонин, антидепрессанты улучшают настроение, снимают тревожность, стимулируют психическую активность, нормализуют сон и аппетит. Однако принимать их надо строго в тех дозировках, которые предписаны врачом.
Психотропные вещества, запрещенные в России
В России в группу запрещенных веществ включены следующие:
- Эфедрин - служащий сырьем для производства амфетаминов. Вещество вырабатывается из хвойных деревьев.
- Дельта-9-Тетрагидроканнабиол (ТГК), выделяемый из конопли. В США и европейских странах препарат разрешен для купирования побочных эффектов пи лучевой терапии, в лечении СПИДа и др. На его основе разработаны лекарственные средства Набилон, Набиксимолс.
- Диметилтриптамин выделяется из бобовых растений Мимоза, выращиваемых в Бразилии. Психоделик, вызывающий измененное состояние сознания, чаще применяется в религиозных или психоделических практиках.
- Морфин выделяемый из опийного мака, применялся в качестве обезболивающего средства.
- Кодеин - является алкалоидом опия. В ряде стран применяется как обезболивающее и потивокашлевое средство.
- ДМТ (диметилтриптамин) (из растений Mimosa hostilis, Psychotria viridis и др.).
- Каваин вырабатывается из перца опьяняющего. Само название растения указывает на эффект, который оно оказывает. - вещество снимает напряжение, обезболивает, вызывает легкую эйфорию.
В этом списке названы вещества, вызывающие привыкание, поэтому они запрещены в России. Не все психотропные препараты являются наркотическими, то есть вызывающими аддикцию. Но все наркотические вещества в той или иной степени являются психотропными. Лечение наркомании — первый шаг на пути к избавлению от этой пагубной зависимости, за которым должен обязательно следовать период реабилитации. Для того, чтобы проконсультироваться или узнать интересующую информацию — звоните по номеру телефона горячей линии, указанному вверху страницы или пишите нам в чат.
Читайте также:
- Лечение узелков певцов: консервативное, оперативное, физиотерапевтическое
- Психотерапия у детей с онкологическими заболеваниями
- Предоперационный осмотр при краниосиностозе у ребенка. Критерии анестезиолога
- Синдром Гийена-Барре у детей: восходящий паралич Ландри и синдром Миллера-Фишера
- Болезни органов кроветворения при пороке сердца. Метгемоглобиноз
