Техника ретинопексии. Принципы
Добавил пользователь Евгений Кузнецов Обновлено: 21.01.2026
Национальный центр офтальмологии им. акад. Зарифы Алиевой, ул. Джавадхана, 32/15, Баку, Азербайджан, AZ1114
Национальный центр офтальмологии им. акад. Зарифы Алиевой
Хирургическое лечение регматогенных отслоек сетчатки с высоким риском развития пролиферативной витреоретинопатии
Журнал: Вестник офтальмологии. 2017;133(3): 51‑57
Цель — изучение эффективности удаления внутренней пограничной мембраны (ВПМ) макулярной области при 23-gauge pars plana витрэктомии у больных с регматогенной отслойкой сетчатки (РОС) с высоким риском развития пролиферативной витреоретинопатии. Материал и методы. Выполнено проспективное последовательное исследование 231 глаза 227 пациентов. Всем больным провели витрэктомию с силиконовой/газовой тампонадой при РОС с высоким риском развития пролиферативной витреоретинопатии: в 42 глазах удалили ВПМ (1-я группа) и в 189 глазах не удаляли ВПМ (2-я группа). Минимальный срок наблюдения — 3 мес. Результаты. В 1-й группе первичный анатомический успех операции отмечался в 85,4% случаев и окончательное прилегание сетчатки — в 95,2% наблюдений. Во 2-й группе первичный анатомический успех операции отмечался в 67,2% случаев и окончательное прилегание сетчатки — в 89,4%. Эпиретинальная мембрана не возникла ни в одном случае после удаления ВПМ в 1-й группе. Окончательная острота зрения составила 1,2±0,5 logMAR и 1,34±0,82 в 1-й и 2-й группах соответственно (p=0,297). Заключение. При регматогенных отслойках сетчатки у больных с высоким риском развития пролиферативной витреоретинопатии удаление ВПМ при витрэктомии приводит к высокому первичному анатомическому результату операции.
Склеральное пломбирование, pars plana витрэктомия (ППВ) или пневматическая ретинопексия считаются тремя наиболее распространенными хирургическими методами лечения больных с первичной регматогенной отслойкой сетчатки (РОС) [1, 2]. Несмотря на совершенствование хирургических техник, частота прилегания сетчатки после хирургических вмешательств повысилась незначительно с 1979 г. [3]. Кроме того, до настоящего времени существуют разногласия по поводу превосходства одного метода над другим или применения комбинированных хирургических вмешательств. Морфологическая характеристика РОС, состояние хрусталика или предпочтения хирурга способствуют выбору того или иного хирургического метода [4]. Как известно, наиболее частой причиной неуспешной хирургической операции РОС является развитие пролиферативной витреоретинопатии (ПВР). Патофизиология ПВР сложная, и в настоящее время в отечественной и зарубежной литературе описано несколько моделей патогенеза ПВР. Значительный интерес представляют два основных направления: модель с акцентом на роли воспалительных клеток и модель с акцентом на роли факторов роста и цитокинов, вступающих в контакт с клетками пигментного эпителия сетчатки [5]. Многочисленные исследования выявили некоторые характеристики пациентов, ассоциирующиеся с развитием послеоперационной ПВР, такие как РОС в 3 и более квадрантах, разрывы сетчатки более 1 часа, предоперационная ПВР, кровоизлияние в стекловидное тело, афакия/артифакия [6, 7]. Таким образом, до сих пор существует необходимость в улучшении хирургической техники при РОС. Недавние исследования, основанные на данных оптической когерентной томографии (ОКТ) у пациентов с ПВР и РОС, показали, что удаление внутренней пограничной мембраны (ВПМ) возможно применять при осложненных отслойках сетчатки. Удаление ВПМ макулярной области — нестандартный подход к ПВР-связанным отслойкам и недостаточно хорошо отображен в литературе [8]. Теоретически удаление ВПМ снижает натяжение сетчатки в заднем полюсе. Удаление этого эластичного слоя приводит к механическому расслаблению поверхностных сил натяжения. Удаление ВПМ также позволяет удалять ПВР-эпиретинальные мембраны (ЭРМ), особенно при их заднем расположении. Кроме того, это снижет вероятность возникновения ПВР-задних эпиретинальных мембран и последующих повторных отслоек сетчатки, тем самым улучшая макулярные зрительные функции.
Однако нами предложено удаление ВПМ макулярной области при первичной хирургии РОС не только у больных с ПВР при первичном обращении, но и у всех больных с высоким риском развития ПВР с целью снижения рецидивов РОС, профилактики развития ЭРМ и уменьшения количества повторных операций.
Целью нашего исследования явилось изучение эффективности удаления ВПМ макулярной области при 23-gauge ППВ у больных с РОС с высоким риском развития ПВР.
Материал и методы
В 2011—2014 гг. в Национальном центре офтальмологии им. акад. Зарифы Алиевой было набрано 227 пациентов (231 глаз): в 42 глазах удалили ВПМ (1-я группа) и в 189 глазах не удаляли ВПМ (2-я группа) при 23-gauge ППВ с или без циркляжа. Миопия высокой степени наблюдалась в 17 (40,5%) глазах в 1-й группе и 81 (42,9%) глазу — во 2-й. Средний период наблюдения составил 14,37±10,76 мес (от 3 до 68 мес). Одномоментная хирургия катаракты на 1-й операции была проведена в 3 глазах в 1-й группе и в 23 глазах во 2-й группе (p=0,431). Силиконовое масло удаляли во всех глазах, в среднем спустя 3,5 мес в 1-й группе (в диапазоне 2—11, IQR=2,5) и спустя 5 мес — во 2-й (в диапазоне 0,5—36,0, IQR=3,88) (U=1,8250, z=2,4, p=0,015, r=0,2).
Остроту зрения по десятичной системе переводили на логарифм минимального угла разрешения (LogMAR — logarithm of minimum angle of resolution), предложенный F. Ferris с соавторами. При этом за остроту зрения 0,01 или счет пальцев на 50 см принимали (-)2 LogMAR, а при остроте зрения 0,001 или движении руки (-)3 LogMAR. Исследовали пациентов на наличие ЭРМ при первичном обращении при помощи ОКТ (OCT; Stratus OCT; «Carl Zeiss Meditec») в случаях прилежащей макулы или при невысокой ее отслойке. Если ОКТ невозможно было провести до операции, то хирург исследовал на наличие ЭРМ до и после инъекции перфлюорокарбоновой жидкости. При повторных ОКТ также изучали структурно-анатомические нарушения.

Рис. 1. Интраоперационная фотография глазного дна при проведении витрэктомии. а — при окрашивании внутренней пограничной мембраны ILM Blue краской (DORC); б — после удаления внутренней пограничной мембраны.
Статистическая обработка данных выполнена с применением версии IBM SPSS 20 («SPSS Inc.», США) программного обеспечения. Тесты Шапиро—Уилка и Колмогорова—Смирнова применяли для изучения нормальности переменных. Переменные не были нормально распределены, поэтому непараметрический тест Манна—Уитни U-test использовали для сравнения количественных переменных. Для анализа качественных переменных применяли критерий χ 2 и тест Фишера. Кроме того, для выявления факторов риска развития ЭРМ и/ или рецидива РОС в послеоперационном периоде применяли мультивариантный анализ и одномерные анализы. Данные считали статистически достоверными при уровне значимости меньше 0,05.
Результаты
Высокий риск развития ПВР отмечался во всех глазах. Больные (глаза) по факторам риска развития ПВР были подразделены на следующие подгруппы: 3 и более квадранта развития РОС в 176 глазах, большие разрывы в 63 глазах, кровоизлияние в стекловидное тело в 15 глазах, ПВР в 51 глазу, артифакия в 29 глазах, афакия в 10 глазах (рис. 2, а, б). На момент диагноза РОС обе группы не различались показателями возраста, остроты зрения, количеством разрывов, расположением квадрантов РОС и т. д. (см. таблицу).

Основные характеристики больных 1-й и 2-й групп

Рис. 2. Частота встречаемости высокого риска развития ПВР. а — в 1-й группе; б — во 2-й группе.
При мультивариантном тесте, применяя Pillai’s Trace-тест, обнаружили положительное влияние факторов риска развития ПВР на первичный анатомический исход операции: V=0,07, F (7,221) =2,35, p=0,025. Однако при применении одномерного анализа (univariate analysis) ANOVA была выявлена положительная корреляция между первичным анатомическим исходом операции и такими факторами риска, как 3 и более квадрантов отслойки сетчатки (F (1,227) =3,97, p=0,047), предоперационная ПВР (F (1,227) =6,86, p=0,009), кровоизлияние в стекловидное тело (F (1,227) =3,99, p=0,047). Кроме того, при мультивариантном тесте, применяя Pillai’s Trace-тест, обнаружили отсутствие влияния факторов риска развития ПВР на окончательный анатомический исход операции: V=0,06, F (7,222) =2,04, p=0,052.
Первичный анатомический успех операции отмечался в 1-й группе в 85,4% случаев, во 2-й — в 67,2% (χ 2 (1)=5,342, p=0,021, odds ratio =0,35). Окончательный анатомический успех наблюдался в 1-й группе в 95,2% случаев, во 2-й — в 89,4% (χ 2 (1) =1,351, p=0,245, odds ratio =2,34). Первичный анатомический успех среди больных с миопией высокой степени отмечался в 1-й группе в 88,2% случаев, во 2-й — в 70,4%, а среди больных без миопии высокой степени (т.е. миопов средней и слабой степени, гиперметропов и эмметропов) наблюдался в 1-й группе в 80% случаев, во 2-й — в 64,8% (χ 2 (1) =0,906, p=0,384). Окончательный анатомический успех среди больных с миопией высокой степени зафиксирован в 1-й группе в 100% случаев, во 2-й — в 87,7%, однако среди больных без миопии высокой степени наблюдался в 1-й группе в 92% случаев, во 2-й — в 90,7% (χ 2 (1) =0,091, p=0,762).
ЭРМ не возникла ни в одном случае после операции (100%) в 1-й группе, и даже в случаях возникновения (особенно в нижней части сетчатки) ПВР или ЭРМ их рост останавливался в области нижней сосудистой аркады. Во 2-й группе ЭРМ отмечена в 19% случаев (36 глаз), из этих пациентов в 33,3% случаев провели удаление ЭРМ и ВПМ. При этом при миопии высокой степени ЭРМ возникла во 2-й группе в 5,82% случаев (11 глаз), из этих пациентов в 36,4% наблюдений (4 глаза) удалили ЭРМ и ВПМ. При мультивариантном тесте, применяя Pillai’s Trace-тест, мы обнаружили отсутствие влияния единичных факторов риска развития ПВР на развитие ЭРМ (V=0,042, F (7,222) =1,39, p=0,210). Однако при применении одномерного исследования (UniAnova) определялась положительная корреляция для образования ЭРМ при наличии у пациентов больших разрывов и предоперационной ПВР (p=0,019); кроме того, корреляция наблюдалась при наличии больших разрывов, предоперационной ПВР и артифакии (p=0,05).
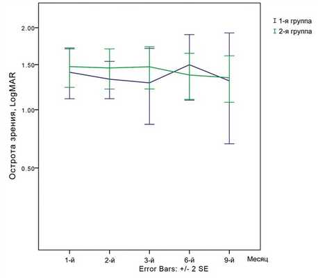
Предоперационная острота зрения в 1-й группе составляла 2,29±0,85 LogMAR, во 2-й — 2,39±0,76 (p=0,485). Окончательная острота зрения в 1-й группе была 1,2±0,5 LogMAR, во 2-й — 1,34±0,82 (p=0,297). В обеих группах наблюдалось улучшение остроты зрения (p<0,001) (рис. 3, 4).

Рис. 3. Предоперационная и послеоперационная острота зрения (LogMAR) в обеих группах.

Рис. 4. Острота зрения всех пациентов после первичной витрэктомии.
В 1-й группе в случае удаления ВПМ в 50% наблюдений (21 глаз) пациенты обрели способность читать, во 2-й группе данная способность отмечена в 45,4% случаев (84 глаза) (p=0,611). После реопераций в 1-й группе (6 пациентов) способность читать обрели 3 человека (50% случаев), а во 2-й группе (59 пациентов) — 17 человек (28,8%).
Для всех типов РОС характерно, что приблизительно 40% пациентов не обретают способности читать, 10—40% больных требуется более одной хирургической процедуры, у 5% — будут наблюдаться постоянные анатомические и функциональные нарушения [3, 9]. В нашем исследовании после удаления ВПМ в 1-й группе способность читать обрели 50% пациентов, во 2-й — 45,4%. Острота зрения вдаль в 1-й группе была лучше, чем во 2-й (1,2±0,5 и 1,34±0,82 LogMAR соответственно). Одной из причин снижения зрения после витреоретинальных операций являются ЭРМ, которые также могут возникать после лазерных фотокоагуляций, криоретинопексии и других вмешательств. ЭРМ могут возникать в 15% случаев после успешных витреоретинальных операций, осложненных ПВР. В другом исследовании возникновение ЭРМ обнаружили у 20,5% пациентов с осложненной отслойкой сетчатки после витрэктомии с силиконовой эндотампонадой. ЭРМ, которые образуются после витреоретинальных операций и ограничивают их функциональные исходы, обычно требуют дополнительных хирургических вмешательств, таких как повторные витрэктомии с удалением ЭРМ и ВПМ [10].
Хирургические вмешательства при легкой/средней сложности РОС хорошо изучены. Однако мало изучены сравнительные хирургические исходы при РОС с высоким риском развития ПВР. В нашем исследовании факторами риска развития ПВР являлись: РОС в 3 и более квадрантах, разрывы сетчатки более 1 часа, предоперационная ПВР, кровоизлияние в стекловидное тело, афакия/артифакия. Наше исследование показало, что удаление ВПМ при 23-gauge трансконъюнктивальной витрэктомии приводит к улучшению первичного анатомического успеха операции в 85,4% случаев, а также к полному отсутствию возникновения ЭРМ макулярной области. Улучшение окончательного анатомического результата также наблюдалось в 1-й группе, однако эта разница статистически незначима. Поскольку миопия высокой степени составляет большой процент среди пациентов 1-й и 2-й групп (40,5 и 42,9% соответственно), мы рассмотрели в отдельности больных с миопией высокой степени. При этом наше исследование показало улучшение первичного и окончательного анатомического успеха операции при удалении ВПМ, однако эта разница статистически незначима и не представляет особый интерес.
ВПМ считается значительным источником ригидности сетчатки, особенно при заболеваниях ее заднего полюса. При этом вызывающим минимальное разрушение видом диссекции сетчатки является удаление ВПМ, которое часто и успешно применяется для освобождения натяжения сетчатки при различных заболеваниях ее заднего полюса.
Так, удаление ВПМ описывалось при многих заболеваниях сетчатки (макулярном разрыве, при стафиломных отслойках заднего полюса сетчатки, отслойке сетчатки, связанной с макулярным разрывом, миопической тракционной макулопатии) и при хирургии ЭРМ [11, 12]. В настоящее время удаление ВПМ часто применяют при резистентном к интравитреальным инъекциям и лазерному лечению диабетическом макулярном отеке. При этом считается, что данная процедура оказывает механический эффект. Удаление ВПМ заднего полюса считается нестандартным подходом при отслойках, связанных с ПВР, и не очень хорошо представлено в литературе. Логическим обоснованием его использования могут быть результаты других исследований, хорошо изучивших данную проблему. Теоретически удаление ВПМ снижает натяжение сетчатки в заднем полюсе. Удаление этого эластичного слоя вызывает механическое расслабление поверхностных сил натяжения. Все это приводит к увеличению пластичности сетчатки и созданию центрального «слабого места» (soft spot), которое способствует более лучшему расслаблению прилежащих областей сетчатки [8]. Удаление ВПМ также позволяет удалять ЭРМ, связанную с ПВР, особенно при ее заднем расположении. Кроме того, это снижает вероятность возникновения задних ЭРМ, ассоциированных с ПВР, и последующих повторных отслоек сетчатки, тем самым улучшая макулярные зрительные функции.
С. Aras и соавт. [13] провели ILM-peeling в макулярной области при витрэктомии с силиконовой тампонадой с целью предотвращения образования ЭРМ. Их результаты показали, что возникновение ЭРМ при удалении ВПМ макулярной области упало до 0%. Они предположили, что полное удаление задней гиалоидной мембраны и, возможно, остатков кортикального стекловидного тела от поверхности макулы может предотвратить пролиферацию и возникновение ЭРМ. D. Ordobina и соавторы произвели удаление ВПМ при витрэктомии с одновременной ретиноэктомией в тяжелых случаях ПВР и доказали эффективность данного метода для профилактики образования ЭРМ [14]. В их исследовании в группе пациентов с удалением ВПМ отмечалось полное отсутствие ЭРМ в послеоперационном периоде, однако в группе без удаления ВПМ ЭРМ наблюдалась в 17,6% случаев.
Удаление ВПМ вызывает гипертрофию и деление мюллеровых клеток, способствуя их репролиферации на поверхности сетчатки. Этот процесс может нарушить миграцию глиальных клеток. Глиальные и микроглиальные клетки, а также астроциты, вероятнее всего, участвуют в образовании слоя коллагена и могут потенциально выделять факторы, стимулирующие дифференциацию и миграцию миофибробластов [11, 12].
В данном исследовании мы изучали наиболее сложное подразделение патологии сетчатки, с которой часто сталкиваются витреоретинальные хирурги, а именно — РОС с высоким риском развития ПВР. Поддержание длительного анатомического успеха является основной целью вышеуказанных операций [9, 10, 15]. В данной статье описывается альтернативная техника при лечении больных с РОС и высоким риском развития ПВР, которая позволит улучшить качество жизни этой группы пациентов, так как снижает риск развития ЭРМ и уменьшает количество повторных отслоек сетчатки и, соответственно, реопераций вследствие улучшения первичного анатомического успеха операции. Ограничением данного исследования является отсутствие контрольной группы и рандомизации к тому или иному хирургическому вмешательству, преимуществом — большой материал для изучения и проспективный метод исследования актуальной проблемы.
Заключение
При регматогенных отслойках сетчатки у больных с высоким риском развития пролиферативной витреоретинопатии удаление внутренней пограничной мембраны в ходе витрэктомии значительно снижает риск образования эпиретинальных мембран в макулярной области, дает высокий первичный анатомический результат операции, не улучшая показатели остроты зрения и прилегания сетчатки, а также не снижая общий риск развития пролиферативной витреоретинопатии.
Тампонада сетчатки глаза: силиконовая и воздушная
Любые регматогенные и травматические отслойки сетчатки, при наличии одного либо нескольких ее разрывов, требуют выполнения оперативного вмешательства под названием тампонада витреальной полости. Для ее проведения используют газ, перфторорганические соединения (ПФОС), силиконовое масло. Такое лечение называется тампонадой сетчатки глаза. Сравнительная характеристика некоторых методов тампонады сетчатки рассмотрена в этой статье.

Тампонада сетчатки — что это и как выполняется
Для чего нужна тампонада витреальной полости?
В процессе заполнения витреальной полости внутриглазной жидкостью удаление желированной гиалуроновой кислоты становится причиной значительного снижения ее вязкости. Градиент давления снижается, что способно вызвать отслойку пигментного эпителия сетчатки, с распространением на всю ее площадь.
После операции витрэктомии субклинические разрывы сетчатки довольно часто становятся нестабильными. Даже малые по площади разрывы сетчатки, спустя несколько часов или дней, могут провоцировать тотальную отслойку сетчатой оболочки.
Для максимально плотного прилегания сетчатки для ее надежной фиксации в течение 10-14 дней применяют укрепление сетчатки с помощью лазерной или криоретинопексии. Пневморетинопексия посредством SF6 (газ фторид серы) либо SF6 в смеси с воздухом часто продолжается до 7-14 дней, когда этот газ или изобарическая газовоздушная смесь при заполнении витреальной полости, дает возможность не прибегать к более длительной тампонады с помощью C3F8 (газ перфторпропан).
Тампонада разрывов сетчатки с помощью ПФОС
В ходе исследований выполнения среднесрочной операции тампонады витреальной полости перфторорганическими соединениями, при наличии нижних и масштабных разрывов сетчатки, были установлены положительные и отрицательные моменты проведенного вмешательства. К положительным моментам можно отнести следующее:
- Пациенты имеют возможность сидеть, наклоняться, лежать вверх лицом.
- Отсутствует изменение рефракции, птоз, косоглазие, воспаления, болевые ощущения, что характерно для склерального пломбирования.
- Возможны перелеты на самолете.
Недостатками метода специалисты называют:
- Необходимость оперативного вмешательства повторно для замены ПФОС (как при применении силиконового масла).
- Проникновение частиц ПФОС в витреальную полость и переднюю камеру глаза.
При прилипании остатков ПФОС к плоской части цилиарного тела и цинновым связкам, удалить их даже хирургически не удается. По мнению некоторых специалистов, ПФОС обладают токсическим воздействием на ткани глаза, однако практика не подтверждает такое их воздействие, зрительные способности пациентов не нарушаются. В некоторых случаях возможно легкое воспаление ткани сетчатки и хрусталика, но спустя несколько недель после удаления ПФОС оно проходит. При проникновении ПФОС в переднюю камеру глаза возможен рост уровня ВГД.
Технически данная операция очень схожа с техникой витрэктомии с тампонадой газовоздушной смесью, а также с эндоскопической лазерной коагуляцией. Сначала также выполняется круговое удаление витреоретинальных тракций, с особым упором на имеющиеся разрывы сетчатки. Для проведения адекватной периферической витрэктомии требуется обязательная широкоугольная визуализация, иногда — вдавление склеры.
Вторым этапом вмешательства становится введение ПФОС, которое осуществляется посредством двухходовой канюли в завершении витрэктомии. ПФОС вводится над диском зрительного нерва, для того, чтобы инфузионный раствор мог оттекать сквозь наружное отверстие канюли, внутриглазное давление оставалось стабильным, без повышения.
На третьем этапе операции проводится сливная лазерная коагуляция всех разрывов, а также подозрительных участков потенциального разрыва. Манипуляции осуществляются 25G лазерным зондом, имеющим поворотную головку. При невозможности полного удаления субретинальной жидкости, формируется небольшое дренажное отверстие для аккуратной аспирации жидкости через него, таким образом, чтобы не задеть ПФОС.
При обнаружении витреоретинальных тракций, в том числе и после введения ПФОС, их удаление осуществляется без устранения ПФОС. Для этого осторожно используется витреотом, таким образом, что порт устройства находится с наружи пузыря. Эта авторская методика получила название витрэктомии «на границе раздела фаз», с отсылом к технике вмешательства при тампонаде витреальной полости силиконовым маслом или газовоздушной смесью.

Тампонада сетчатки показания и противопоказания
Тампонада разрывов сетчатки силиконовым маслом
В большом количестве случаев пролиферативной витреоретинопатии, требуется проведение тампонады силиконовым маслом. Кроме того, операция часто необходима в случае гигантских разрывов сетчатки или при ее больших дефектах. Это объясняется тем, что силиконовое масло на границе раздела фаз обеспечивает меньшее поверхностное натяжение, в сравнении с газовоздушной смесью или воздухом. Ткани глаза не способны его абсорбировать, поэтому силиконовое масло может на неопределенно долгое время оставаться в глазу.
Некоторые врачи ошибочно полагают, будто силиконовое масло обладает негативным воздействием, в частности:
- Токсичностью, поэтому через несколько месяцев его обязательно удалять.
- Ухудшает остроту зрения.
- Тампонада силиконовым маслом способствует развитию глаукомы.
Кроме того, среди специалистов распространено неверно мнение, что для тампонады силиконовым маслом не принципиально место введения. Что она может быть эффективной при отверстиях в макуле. Что в сравнении с силиконовым маслом, обладающим вязкостью 5000 сСт, масло с меньшей вязкостью в 1000 сСт больше эмульгируется. Также, почему то считается, что пациентам с интактной капсулой или заднекамерной ИОЛ, целесообразно выполнять заднюю периферическую иридэктомию.
Силиконовое масло, в сравнении с газовоздушной смесью, не способно увеличивать свой объем, благодаря этому пациентам с силиконовой тампонадой витреальной полости разрешается летать на самолетах. Когда ретинопексия выполняется вокруг нижних разрывов, такую тампонаду проводят ниже горизонтального меридиана. При разрывах сетчатки с височной стороны или назальной, человек может спать на боку.
При больших разрывах ретинальной ткани и макулярных отверстиях, ретинопексию проводить нецелесообразно, так как она способна стать причиной развития пролиферативной ретинопатии (ПВР). Если после витрэктомии разрывы сетчатки недостаточно четко визуализируются, выполнение ретинопексии откладывается до момента полного удаления субретинальной жидкости, устранения воспаления и отека. Данная методика несколько напоминает технологию «ограничения регматогенного компонента для избегания ретинопексии». Для ее выполнения силиконовым маслом заменяют воздух, а не жидкость (ЗВСМ, а не ЗЖСМ).

Тампонада сетчатки глаза
Витрэктомия или пломбирование: что выбрать?
Витрэктомия при регматогенных отслойках сетчатки, как вариант первичной монотерапии, в сравнении с пломбированием склеры, имеет несколько значимых преимуществ. Ее проведение наиболее благоприятно с точки зрения послеоперационного развития страбизма, изменения рефракции, птоза, болевого синдрома, хемоза, конъюнктивальной гиперемии.
Для проведения витрэктомии необходимо современное микрохирургическое оборудование, включая витреотомы, имеющие достаточную скорость реза, системы широкоугольной визуализации, перфторорганические соединения. Особое внимание всегда уделяется периферической витрэктомии, особенно при удалении тракций, которые становятся причиной клапанных разрывов. Лучшая стабильность инфузионного потока достигается выполнением 25G витрэктомии, в отличие от технологий 20G или 23G. С 25G витрэктомией пациенты испытывают меньший дискомфорт, риск повреждения конъюнктивы также намного ниже, как и риск возникновения послеоперационных субконъюнктивальных геморрагий, хемоза.
Благодаря новейшему оборудованию для витреоретинальной микрохирургии, мастерству и опыту специалистов, пациенты нашей клиники могут быть уверены, что в каждом конкретном случае будут применены самые новые, эффективные и щадящие методики, приносящие наилучшие результаты в отношении зрения.
Ретинопексия — пневматическая и лазерная
Ретинопексией называют технологию хирургического лечения отслойки сетчатки. Термин образован из двух частей «ретина» (retina — сетчатка) и «пексия» (pеху - хирургическая фиксация).
В настоящее время используют две основные технологии - лазерную и пневматическую (газом), криоретинопексия (воздействие низкими температурами) применяется редко.
Пневматическая (газовая) ретинопексия — ПРП
В полость стекловидного тела с помощью специальной иглы вводят газ, который внутри глаза превращается в пузырь и прижимает место разрыва и отслойки.
После процедуры необходимо держать голову в определенном положении, чтобы пузырь давил на место отслоения и провести процедура лазерной коагуляции, которая «припаяет» отслоенную сетчатку. Удаления газа обычно не требуется - через несколько недель от рассасывается самостоятельно.

Рис.1 Этапы пневморетинопексии: 1 — введение газа, 2 — расширение пузыря, его давление на место разрыва, 3 — прилегание сетчатки, рассасывание газа
История метода
Современная методика пневморетинопексии берет свое начало от 1985 года, когда ее технологию одновременно предложили офтальмологи Hilton и Grizzard (США), а также Dominguez (Испания). [2] В США эта операция получила широкое клиническое распространение. В зависимости от стажа хирургической практики офтальмологов, а также места их локации сама методика лечения имела значительные вариации исполнения. Так, хирурги, имевшие практический стаж до 10 лет, в случае РОС выполняли пневморетинопексию как методику выбора значительно чаще (в 65% случаев) в сравнении со специалистами, чей хирургический стаж превышал 20 лет.
Рост популярности данной технологии стал следствием преимуществ исполнения для врача и хороших послеоперационных результатов для пациента:
- Минимальная инвазивность вмешательства (микропрокол).
- Нет выраженной боли, использование местной анестезии.
- Быстрое восстановление зрения.
- Минимум возможных послеоперационных осложнений.
- Быстрая реабилитация (возвращение к повседневной жизни).
- Хирурги также заинтересованы в выборе этой процедуры: она быстрая, несложная технически, выполняется амбулаторно.
Вышеупомянутые преимущества и невысокая стоимость операции стали причиной возросшего к нему интереса при лечении первичной отслойки сетчатки. [3]
Видео нашего специалиста
Используемые газы
В зависимости от размера и локализации разрыва и отслоения сетчатой оболочки могут использоваться воздух, фторид серы (SF6), перфторпропан (C3F8) и другие перфторуглероды. [4]
Важность положения пациента
Процедура пневморетинопексии для достижения высокого результата подразумевает полное взаимопонимание и сотрудничество хирурга и пациента. Ведь самая частая причина неудачной блокировки имеющихся разрывов - недопонимание со стороны пациента важности правильного положения после операции, как фактор неадекватной тампонады. [5]
Пациенту должна быть четко разъяснена главенствующая роль местоположения газового пузырька газа в раннем периоде после операции. Хирургу необходимо уделять особое внимание предоперационному обучению пациента, в том числе и правильному положению головы. Для этого проще взять голову пациента его/ее руками и придать ей единственно верное положение. Также может облегчить понимание, привлекая к обучению близких пациента.

Рис.2 Положение головы пациента в зависимости от места разрыва
Первые несколько часов после инъекции газа нужно провести лицом вниз, чтобы пузырь располагался в центральной зоне сетчатки (макуле), далее рекомендуемое положение будет зависеть от локализации отслоения (рекомендует витреоретинальный хирург).
Кроме того, для успешного проведения операции пациенту необходимо быть физически здоровым. Так, люди с артритом, патологиями шеи и спины, либо с иными физическими ограничениями, не могут в полной мере сотрудничать с хирургом при пневморетинопексии, а потому считаются менее подходящими кандидатами.
Если говорить об «идеальном» сценарии вмешательства, то он возможен при острой отслойке сетчатки на факичном глазу (с собственным хрусталиком), с одиночным разрывом, либо плотной группой небольших разрывов в верхнем отделе глазного дна (не ниже 8 часов).
Роль хрусталика глаза
При планировании вмешательства также необходимо тщательное предоперационное обследование. Для выявления имеющихся разрывов, особенно важна прозрачность внутриглазных сред. При отслойке на глазах со здоровым естественным хрусталиком практически не характерно появление множества мелких разрывов, как в случае с артифакическими (с искусственным хрусталиком) и афакическими (после удаления хрусталика) глазами. И все же, когда визуализация периферических отделов сетчатки достаточна, и все разрывы хорошо определяются, случаи отслойки сетчатки можно лечить посредством проведения операции пневморетинопексии.
Особенно легко при помощи газовой тампонады блокируется одиночный разрыв сетчатки. Несколько разрывов сетчатки в 8 часах верха периферии блокировать также не представляет труда, поскольку в жидком стекловидном теле газ всплывает. В случае множественных разрывов, для тампонады их одним газовым пузырем, они должны находиться друг к другу максимально близко.
Противопоказания
Как для любой хирургической операции, для пневморетинопексии существуют свои противопоказания. Они бывают относительными и абсолютными. [6]
К относительным противопоказаниям относят:
- Секторальную катаракту, кровоизлияния в полость глаза, помутнения задней хрусталиковой капсулы на глазу с ИОЛ.
- Отслойки сетчатки с разрывами в нижних 4 часах. Такие разрывы, расположенные близко друг от друга, легко отграничиваются посредством барьерной лазерокоагуляции.
- Отслоение с разрывами, отстоящими друг от друга более чем на 90-120°. Они требуют большого объема газа, вводимого внутрь глаза.
- Хронические отслойки сетчатки с вязкой субретинальной жидкостью (СРЖ), богатой белком. Это объясняется тем, что всасывание субретинальной жидкости происходит посредством насосной функции, которой наделен пигментный эпителий. Данный процесс более продуктивен при жидкой СРЖ, характерной для острых отслоек. Пневморетинопексия в этом случае может осложниться возникновением локализованных карманов с СРЖ, которые из-за медленной резорбции существуют месяцами.
- Отслойки сетчатки с малым количеством СРЖ либо с хронической густой СРЖ. Это объясняется тем, что расширение газового пузырька происходит, как правило, одновременно с резорбцией СРЖ, что опасно значительным повышением уровня ВГД особенно для пациентов с глаукомой.
- Сочетание отслойки сетчатки с глаукомой. В данном случае для пневматической ретинопексии наиболее подходят пациенты, имеющие трубчатый дренаж или функционирующую фильтрационную подушку.
К абсолютным противопоказаниям относят:
- Отслойки с выраженной витреоретинальной тракцией, обусловленной пролиферативной витреоретинопатией. Ведь газовая ретинопексия не способна ослабить тракции, а достижение стабильного успеха возможно лишь при сращении, которое прочнее, действующей тянущей силы со стороны стекловидного тела. В этом случае предпочтительнее проведение микроинвазивной витрэктомии.
- Регматогенные отслойки сетчатки с большими разрывами в нижних 4 часах глазного дна.
- Абсолютная непрозрачность внутриглазных сред (катаракта, гемофтальм и пр.)
- Необходимость воздушных перелетов в послеоперационном периоде. Они категорически противопоказаны при наличии в глазу газового пузырька после ПРП.
- При наличии относительных противопоказаний к проведению пневморетинопексии вопрос о ее целесообразности решается индивидуально в каждом конкретном случае.
Лазерная ретинопексия — ЛРП
Фиксация сетчатки с подлежащей сосудистой оболочке с помощью нанесения лазерных коагулятов (микроожогов) может осуществляться как отдельная процедура, так и после ранее проведенных склерального пломбирования или газовой ретинопексии. [7]

Рис.3 Схема лазерной ретинопексии (после склерального пломбирования)
Отдельно процедура эффективна при небольших, локальных отслоениях сетчатки. Но даже в этом случае приходится оказывать давление на склеру, чтобы достичь прилежания сетчатки (транспупиллярная лазерная ретинопексия с поддавливанием склеры).
Чаще лазерная ретинопексия проводится через несколько дней после введения газа или наложения склеральной пломбы, т.к. сетчатка хотя и прилежит к сосудистой оболочке, но не фиксирована к ней и без дополнительных «спаек» может произойти рецидив отслойки.
Пациентам нашей клиники доступны все современные методы лечения отслоек сетчатки, включая лазерную и газовую ретинопексию. При невозможности проведения лечения с помощью этой малоинвазивной щадящей технологии, будут подобраны другие, не менее эффективные и безопасные варианты, что гарантировано опытом наших специалистов и наличием новейшего оборудования для диагностики и лечения заболеваний глаз.
Стоимость операций
Пневморетинопексия — 25 000 рублей, лазерная — от 13 000 до 23 000 рублей за 1 сеанс в зависимости от категории слжности. Со всей стоимостью услуг Вы можете ознакомиться в разделе ЦЕНЫ.
Отзыв после лечения

Карчин Кирилл, 34 года
Признателен врачам клиники, что спасли мой глаз.
У меня была травма глаза (просто ребенок ткнул пальцем и вот такое!). Сперва обратился в поликлинику — окулист уже направил сюда. Оказалось что на глазном дне были разрывы сетчатки (видмо, из-за моей близорукости) что и привело к беде.
Сперва была операция с воздухом, через 3 дня сделали лазерную коагуляцию на одном глазу. Ещё через две недели — на другом («здоровом») — там тоже были дырки на сетчатке.
Приятного мало, но поговорив с другими пациентами этой клиники (после витрэктомии, у которых был наркоз + собственные хрусталики из-за какого-то масла удалили поставили на их метсо линзы искусственные) понимаю что легко отделался.
Главное — не тянуть с обращением и лечением, особенно если вы еще молоды. Зрение пригодится!
Техника ретинопексии. Принципы
ФГБВОУ ВО «Военно-медицинская академия им. С.М. Кирова»;
ГБУЗ «Многопрофильный центр лазерной медицины» Минздрава Челябинской области;
ООО «ЦЕНТР ЗРЕНИЯ»
- РИНЦ AuthorID: 572950
- Scopus AuthorID: 6505839143
- ORCID: 0000-0001-5586-5042
ООО «ЦЕНТР ЗРЕНИЯ»
- SPIN РИНЦ: 5533-4629
- Scopus AuthorID: 56106933200
- ORCID: 0000-0002-7020-5349
ФГБВОУ ВО «Военно-медицинская академия им. С.М. Кирова» Минобороны России
- SPIN РИНЦ: 6440-7706
- Scopus AuthorID: 57001225300
- ResearcherID: M-2094-2016
- ORCID: 0000-0002-5274-6993
- SPIN РИНЦ: 1260-4670
- Scopus AuthorID: 57397743000
- ORCID: 0000-0002-9123-2354
ФГБОУ ВО «Челябинский государственный университет»
ФГБВОУ ВО «Военно-медицинская академия им. С.М. Кирова»
- SPIN РИНЦ: 1999-5721
- Scopus AuthorID: 57217073195
- ORCID: 0000-0002-9351-9789
ФГАУ «НМИЦ «МНТК "Микрохирургия глаза" им. академика С.Н. Федорова» Минздрава России
МБУЗ «Городская клиническая поликлиника №5»
АО «Трейдомед Инвест»
Первый опыт бесконтактной навигационной лазерной ретинопексии периферических разрывов и регматогенных дегенераций сетчатки
Журнал: Вестник офтальмологии. 2021;137(1): 46‑52
ЦЕЛЬ ИССЛЕДОВАНИЯ
Оценить первые результаты бесконтактной навигационной лазерной ретинопексии периферических разрывов и регматогенных дегенераций сетчатки.
МАТЕРИАЛ И МЕТОДЫ
В проспективное одноцентровое пилотное исследование вошли 58 пациентов (68 глаз), 19 мужчин и 39 женщин, их средний возраст составил 47,5±16,9 года, с периферическими разрывами и регматогенными дегенерациями сетчатки, которым была выполнена бесконтактная навигационная лазерная ретинопексия с помощью лазерной системы Navilas 577s и специального объектива ncPRP. Лазерное лечение было проведено на 68 глазах при следующей патологии периферии сетчатки: клапанные разрывы (n=13), дырчатые разрывы (n=11), разрывы с крышечкой (n=3), решетчатая дегенерация (n=19), дегенерация «след улитки» (n=1), витреоретинальный пучок (n=16); пять глаз были с буллезным прогрессирующим ретиношизисом. Интенсивность болевых ощущений оценивали, используя 4-балльную вербальную шкалу.
РЕЗУЛЬТАТЫ
ЗАКЛЮЧЕНИЕ
Бесконтактная навигационная лазерная ретинопексия является безопасной и хорошо переносимой процедурой, обладающей не меньшей эффективностью по сравнению с традиционной лазерной коагуляцией.
Дата принятия в печать:
Регматогенная отслойка сетчатки (РОС) является серьезной офтальмологической проблемой. По данным литературы, периферические регматогенные дистрофии являются основной причиной развития РОС, наиболее опасными из которых считаются решетчатая дистрофия, изолированные разрывы сетчатки и витреоретинальные пучки [1—4].
Риск развития разрывов сетчатки при острой задней отслойке стекловидного тела (ЗОСТ) значительно варьирует: от 8,2 до 47,6% [5—7]; бессимптомные и симптоматические разрывы сетчатки вызывают РОС в 0—13,8 и 35—47% случаев соответственно [8]. Авторами отмечено, что наибольшая частота (85—95%) выявления разрывов сетчатки приходится на осмотр непосредственно после острой ЗОСТ [8]. При этом период максимального риска развития разрыва сетчатки после острой ЗОСТ приходится на первые 2—6 нед [9], но часть разрывов могут также развиваться в течение более длительного периода [10, 11].
Основой профилактики РОС является раннее выявление как симптоматических, так и бессимптомных разрывов и отверстий в сетчатке с целью лазерного лечения [12, 13]. В связи с этим для выявления разрывов и «опасных форм» дегенераций сетчатки может применяться не только традиционная офтальмоскопия, но и комплексная диагностика, включая оптическую когерентную томографию (ОКТ) периферии глазного дна [14—16] и сканирующую лазерную офтальмоскопию (СЛО) [17].
В настоящее время, в период инфекционной настороженности, актуальным является проведение лазерных операций на сетчатке бесконтактным методом, который стал доступен благодаря внедрению навигационной лазерной системы [18]. В литературе появились единичные публикации о навигационной технологии проведения периферической лазерной ретинопексии [19—22], однако бесконтактная модификация навигационной лазерной ретинопексии в этих работах не рассматривалась. В данной статье представлены результаты применения новой методики бесконтактной навигационной лазерной ретинопексии периферических разрывов и дегенераций сетчатки [18].
Цель исследования — оценить первые результаты бесконтактной навигационной лазерной ретинопексии периферических разрывов и витреохориоретинальных дегенераций сетчатки.
В это проспективное одноцентровое пилотное исследование было включено 58 пациентов (68 глаз), 19 мужчин и 39 женщин, средний возраст которых составил 47,5±16,9 года, с симптоматическими периферическими разрывами и регматогенными дегенерациями. Критериями исключения: сниженная прозрачность оптических сред, отслойка сетчатки.
Бесконтактную навигационную лазерную ретинопексию проводили с помощью лазерной системы Navilas 577s (длина волны — 577 нм) и специального объектива ncPRP (OD-OS, Германия), ОКТ-контроль в зоне лазерного воздействия — посредством RTVue-XR Avanti (Optovue, США), фоторегистрацию — с применененим фундус-камеры VISUCAM 500 (Carl Zeiss, Германия) или СЛО-системы Navilas 577s (OD-OS, Германия).
Лазерное лечение проводилось после медикаментозного мидриаза (циклопентолат гидрохлорид, фенилэфрин по показаниям), в большинстве (76%) случаев — без анестезии. Эпибульбарную анестезию выполняли раствором проксиметакаина только у пациентов с повышенным мигательным рефлексом. Представляем методику проведения бесконтактной навигационной лазерной ретинопексии на примере клапанного разрыва.
1. Фоторегистрация клапанного разрыва сетчатки с использованием СЛО навигационной лазерной системы Navilas 577s (рис. 1, а) — базовый снимок для проведения планирования; состояние витреоретинального интерфейса оценивали по ОКТ-сканированию дефекта до лазерного лечения (рис. 1, б).

Рис. 1. Снимки СЛО клапанного разрыва периферии сетчатки пациента П. 60 лет до и после лазерной ретинопексии.
а — малозаметный клапанный разрыв сетчатки с субретинальной жидкостью в верхненаружном сегменте глазного дна; б — обозначение зоны безопасности и зоны предполагаемой лазерной ретинопексии вокруг клапанного разрыва; в — снимок через 5 с после ретинопексии, видны ровные ряды лазерных коагулятов вокруг разрыва; г — снимок через 2 нед после ретинопексии, пигментированные лазерные коагуляты вокруг разрыва. На рис. 1, б—г внизу представлены кросс-секционные сканы ОКТ, положение которых на соответствующих снимках СЛО показано желтыми стрелками.
2. Установка зоны безопасности в области зрительного нерва, фовеальной зоны непосредственно на базовом снимке глазного дна; разметка зоны аппликации лазерных коагулятов вокруг дефекта сетчатки на 360° (см. рис. 1, б).
3. Проведение лазерной бесконтактной навигационной ретинопексии (рис. 1, в); фоторегистрация в динамике (рис. 1, г); ОКТ-контроль состояния лазерных коагулятов в динамике (см. кросс-секционные сканы ОКТ на рис. 1, б—г).
Оценку выраженности болевого синдрома во время лазерного лечения проводили по четырехбалльной шкале вербальной оценки (0 — отсутствие боли; 1 — легкая боль; 2 — умеренная боль; 3 — сильная боль) посредством опроса пациентов сразу после лазерной ретинопексии [20, 23].
Лазерные коагуляты наносились в три-пять рядов слитно по отношению друг к другу по всей границе разрыва или по краю дегенерации (рис. 2, б; см. рис. 1, в). Интенсивность коагуляции соответствовала 2—3-й степени по L`Esperance [24]. Параметры лазерной ретинопексии включали: время экспозиции — 20—30 мс, диаметр пятна — 200—300 мкм; мощность излучения подбиралась индивидуально у каждого пациента: при слабопигментированном глазном дне — 200±60 мВт, при средней пигментации — 140±20 мВт, при выраженной — 120±20 мВт. При нерегулярной пигментации параметры менялись в течение процедуры.

Рис. 2. Цветные фотографии глазного дна пациента Ч. 60 лет. Клапанный разрыв с мостовидным сосудом до лечения и после бесконтактной лазерной ретинопексии.
а — множественные клапанные разрывы, слившиеся в один, с локальной отслойкой сетчатки и перекинутым через разрыв сосудом; б — фотография сразу после проведения лазерной ретинопексии; в — фотография через 2 нед после лечения с линией сканирования. На рис. 2, б—в внизу представлены кросс-секционные сканы ОКТ, положение которых на соответствующих цветных фотографиях глазного дна показано белыми стрелками.
Динамическое наблюдение за состоянием витреоретинального интерфейса периферии сетчатки проводилось до лечения, непосредственно после лечения, через 2 нед, 3, 6, 12, 21 мес после лазерной ретинопексии. Контроль состояния сетчатки оценивали посредством ОКТ центральной зоны и периферии сетчатки, снимка СЛО или фоторегистрации (рис. 2). Все пациенты были информированы о необходимости внеочередного осмотра при ухудшении остроты зрения, изменении поля зрения, при возникновении или нарастании фотопсий и появлении новых плавающих помутнений.
Описательный статистический анализ (определение среднего, стандартного отклонения, частот) осуществляли с помощью программы Excel 2010 («Microsoft», США).
Бесконтактную навигационную лазерную ретинопексию с целью отграничения периферических регматогенных изменений сетчатки провели на 68 глазах при следующей патологии периферии сетчатки: клапанные разрывы (n=13), дырчатые разрывы (n=11), разрывы с крышечкой (n=3), решетчатая дегенерация (n=19), дегенерация «след улитки» (n=1), витреоретианальный пучок с тракцией (n=16), буллезный прогрессирующий ретиношизис (n=5).
Периферические разрывы и дегенерации сетчатки в большинстве случаев располагались в верхненаружном (45,6%), реже — в нижненаружном сегменте (16,2%); в верхневнутреннем, нижневнутреннем и нижнем сегментах они выявлялись с одинаковой частотой — по 10,3% в каждом сегменте; наименьшее количество патологических изменений было в верхнем (5,8%) и наружном (1,5%) сегментах.
Исследование витреоретинального интерфейса выявило частичную ЗОСТ в 23 (33,8%) случаях, полную ЗОСТ с наличием кольца Вейса — в 21 (30,9%) случае.
Исследование рефракции в большинстве случаев выявило миопию в 46 (67,6%) глазах: слабой степени — в 20, средней степени — в 17, высокой степени — в 9 глазах; реже отмечалась эмметропия — 20 (29,4%) глаз. Гиперметропия выявлена в двух глазах (3,0%): в одном — слабой, в другом — средней степени.
За период наблюдения, составивший 5—21 мес (в среднем — 9,0±3,3 мес) после проведения профилактической бесконтактной навигационной лазерной ретинопексии, из 68 глаз стабильное состояние сетчатки выявлено в 65 (95,5%) случаях. В связи с появлением новых патологических изменений в области периферии в 3 (4,4%) случаях проведено дополнительное лазерное лечение: периферическая лазерная ретинопексия клапанных разрывов — два глаза, дырчатого разрыва — один глаз. Развитие прогрессирования ЗОСТ, увеличение витреоретинальной тракции и появление клинических признаков в виде усиления фотопсий у пациента с клапанным разрывом и наличием нависающего мостовидного сосуда над разрывом явилось показанием для лазерной ретинотомии клапана с резекцией нависающего мостовидного сосуда над разрывом на одном глазу (1,5%). В связи с развитием полной ЗОСТ, сопровождающейся образованием симптоматических помутнений по типу кольца Вейса, проведен лазерный витреолизис в 8 (11,8%) глазах. За период наблюдения случаев развития РОС не наблюдалось.
Уровень самооценки боли при лазерной ретинопексии изучался путем опроса — анкетирования пациентов сразу после лазерного лечения, он составил 0,9±0,5 балла.
В данном исследовании мы показали, что бесконтактная навигационная лазерная ретинопексия является адекватной опцией для лечения периферических регматогенных изменений сетчатки. В исследуемой когорте пациентов с различной периферической витреоретинальной патологией бесконтактная навигационная лазерная ретинопексия во всех случаях показала возможность достижения хирургической цели, сопоставимой с традиционным лазерным пособием. Частота появления новых разрывов сетчатки после проведения навигационной лазерной ретинопексии составила 4,4%, что значительно меньше подобных показателей, представленных в литературе (7,3—14%) [8]. При этом бесконтактная навигационная лазерная ретинопексия характеризуется низкой интенсивностью болевых ощущений пациента во время процедуры и полной неинвазивностью, исключающей возможность контактной передачи возбудителей инфекционных заболеваний. Последний факт представляется значимым в период пандемии COVID-19.
По данным литературы, наиболее подверженными риску развития РОС являются пациенты с множественными разрывами сетчатки, поражением верхнего квадранта, наличием существенного количества субретинальной жидкости, миопии, ЗОСТ, решетчатой дегенерации, витреоретинального пучка. Поэтому таким пациентам необходимо проведение лазерной ретинопексии в качестве первой линии терапии [25—27]. Особое внимание уделяется периферическим кистовидным витреоретинальным пучкам в связи с тем, что эти изменения могут вызывать разрывы вне зависимости от наличия ЗОСТ [2, 3]. Ограничительную лазерную коагуляцию сетчатки при клапанных разрывах с наличием субретинальной жидкости можно считать демаркационной фотокоагуляцией в связи с формированием барьера и уменьшением вероятности развития РОС [25, 28].
По данным C. Wilkinson [27], клиническая РОС происходит, когда жидкая часть стекловидного тела проходит через разрывы или отверстия в сетчатке и отделяет сетчатку от нижележащего пигментного эпителия сетчатки. Создание адгезии вокруг разрывов сетчатки и витреоретинальных дегенераций с помощью лазерной фотокоагуляции или криотерапии было рекомендовано в качестве эффективного средства предотвращения РОС [27]. Для точной оценки состояния витреоретинального интерфейса при дегенерациях сетчатки, состоятельности хориоретинальных рубцов после лазерной ретинопексии и выявлении первых признаков прорыва субретинальной жидкости с развитием клинической отслойки применяется ОКТ [16, 29].
В литературе появились первые публикации с описанием потенциальных возможностей навигационного лазера: повышение точности за счет трекинга движения глаз, сокращение длительности процедуры, повышение безопасности благодаря определению стоп-зон, уменьшение болезненности по сравнению с традиционной технологией лечения в режиме одиночных коагулятов [19, 20, 23]. Низкий уровень боли (0,9±0,5 балла) при бесконтактной лазерной коагуляции сетчатки посредством навигационной системы Navilas 577s (длина волны 577 нм) практически соответствует уровню боли, представленной в литературе при лазерной ретинопексии на навигационной лазерной системе Navilas с длиной волны 532 нм (1,1±0,5 балла). Уменьшение уровня боли при малой экспозиции импульсов (20—30 мс), применяемой при навигационной лазерной ретинопексии, можно объяснить уменьшением теплового воздействия на сетчатку в связи с быстрым охлаждением в момент лазерной ретинопексии, снижения распространения тепла за пределами ожога [30].
В связи с этим навигационная лазерная ретинопексия с применением контактной и бесконтактной методик лечения вызывает у офтальмологов особый интерес [18].
На основании результатов проведенного исследования можно сделать вывод, что бесконтактная навигационная лазерная ретинопексия является безопасной и хорошо переносимой процедурой, обладающей не меньшей эффективностью по сравнению с традиционной лазерной коагуляцией.
Читайте также:
- Обязанности ЛОР-врача. Задачи
- Реабилитация после травмы связок голеностопного сустава и физиотерапия при них
- Техника операции при ранении печени
- Селективные ингибиторы обратного захвата серотонина. Механизмы действия ингибиторов обратного захвата серотонина
- Дефицит алкоголя. Алкоголь в организме при однократном поступлении
