Восприятие речи. Речевая аудиометрия
Добавил пользователь Евгений Кузнецов Обновлено: 13.12.2025
Речевая аудиометрия — определение при помощи специального электроакустического прибора минимальной интенсивности речи, при которой она становится разборчивой для больного человека с жалобами на ухудшение слуха. В воздушный телефон подают сигналы (слова таблицы), записанные на магнитофонную ленту или произнесенные исследователем в микрофон аудиометра. Интенсивность звуков речи можно изменять при помощи аттенюатора. Некоторые тональные аудиометры снабжены приспособлением для проведения речевой аудиометрии. Интервал между словами должен быть более 5 с, чтобы исследуемый успел разобрать слово и воспроизвести его в своем ответе.
Разборчивость речи, выраженная в процентах правильных ответов в норме, чаще всего оценивается в виде пяти уровней (или порогов) и обозначается римскими цифрами:
1. речь неразборчива; этот уровень соответствует той интенсивности речи, при которой она воспринимается лишь как отчетливый звуковой сигнал; достигается при 5 — 10 дБ над уровнем слышимости тона 1 ООО Гц;
2. разборчивость 20 % словесного текста, достигается при 15-20 дБ;
3. разборчивость 50 % словесного текста, достигается при 25-30 дБ;
4. разборчивость 80 % словесного текста, достигается при 35—40 дБ, т.е. практически исследуемый разбирает обычную разговорную речь;
5. разборчивость 100 % словесного текста, достигается при 45 - 50 дБ. Однако для полной оценки состояния слуха при восприятии речи следует увеличить интенсивность подаваемой речи еще на 10 — 20 дБ. В норме при этом разборчивость сохраняется на прежнем уровне. Графическая запись нарастания процента разборчивости речи при повышении ее интенсивности называется речевой аудиограммой (рис. 42).
При нарушении слуха из-за поражения звукопроводящей части восприятие речи остается таким же или примерно таким же, как в норме, но требует больших интенсивностей. Степень сдвига интенсивности соответствует величине потери слуха на тоны в речевом диапазоне частот. Как и в норме, при нарушении звукопроведения воспроизведение речи достигает уровня 100%-й разборчивости.
При поражении звуковоспринимающего аппарата разборчивость речи не достигает уровня 100% в сочетании с резким и даже болезненным нарастанием ощущения громкости. При ретрокохлеарных и центральных поражениях слуховой системы полная разборчивость речи также не достигается, что объясняется органическими расстройствами в проводящих путях, слуховых подкорковых и корковых центрах.
Исследование разборчивости речи в условиях шума или других помех приближает разборчивость речи к естественным условиям, как обычно речевое общение происходит на фоне шума и дополнительных речевых воздействий. Шум интенсивностью 20 дБ В постоянным уровнем может привести к некоторому повышению порогов разборчивости, но все-таки она достигает 100 %. При шуме интенсивностью 60 дБ максимальная разборчивость снижает разборчивость снижается до 80-90% у лиц старше 50 лет. Шум 80 дБ снижает разборчивость

во всех возрастных группах и тем и большей степени, чем старше возраст обследуемых.
Эффект действия шума при нейросенсорной тугоухости выражен значительно больше. При шуме в 60 — 80 дБ разборчивость речи резко снижается или совсем утрачивается.
Речевая аудиометрия не нашла широкого применения, так как она мало добавляет к пороговой тональной аудиометрии и исследованию слуха речью, не требующего специальной аппаратуры.
«Проект: Аудиология» - сборник научно-практических материалов для профессионалов в области аудиологии и слухопротезирования, включающий материалы конференций, статьи по кохлеарной имплантации, отоневрологии и законодательные акты по сурдологии.


Бобошко М.Ю.
Звуки речи являются для человека не только сложными акустическими сигналами, но и знаковым информационным кодом, который обрабатывается слуховым анализатором. Именно речь играет важнейшую роль в социальной жизни человека. В этой связи установление нарушений ее восприятия и различения занимает существенное место в экспертизе и диагностике слуховых расстройств различного происхождения.
Методика, позволяющая производить количественную оценку речевого слуха путем определения разборчивости речи при различной ее интенсивности, получила название речевой аудиометрии. В качестве тестирующих сигналов при речевой аудиометрии используются логотомы, слоги, слова или фразы – стимулы, представляющие собой сложное сочетание быстро сменяющихся звуков различной частоты и силы. Известен феномен тонально-речевой диссоциации (синдром фонемической регрессии), когда при относительно сохранном тональном слухе резко нарушается разборчивость речи – в этих случаях речевая аудиометрия является необходимым методом аудиологического обследования. Обязательным следует считать использование речевой аудиометрии при выборе способа коррекции слуха и оценке эффективности слухопротезирования, в том числе – кохлеарной имплантации. Некоторые варианты речевого тестирования с успехом применяются для диагностики уровня поражения слуховой системы и выявления центральных слуховых расстройств. Б.М. Сагалович (1978) считал речевую аудиометрию «основным и важнейшим тестом выявления социальной адекватности слуховой функции, решения задач профпатологии и слуховой экспертизы, углубления и совершенствования аудиологической диагностики, развития вопросов слухопротезирования, выработки обоснованных показаний и оценки эффективности хирургического лечения тугоухости, а также реабилитации страдающих тугоухостью лиц». Слова эти и в наши дни не потеряли своей актуальности.
Несмотря на обширные показания к применению речевой аудиометрии, до настоящего времени она используется не во всех учреждениях сурдологического профиля. Многие специалисты считают речевую аудиометрию сложной, трудоемкой методикой, отнимающей немало сил и времени у врача и пациента. Одна из задач, поставленных автором при написании данного пособия – развеять это предубеждение и показать, что при современном техническом обеспечении речевая аудиометрия стала простой и доступной процедурой. Эта методика функциональна и хорошо переносится пациентами. В монографии обобщен многолетний опыт использования разных вариантов речевой аудиометрии в лаборатории слуха и речи НИЦ СПбГМУ им. акад. И.П. Павлова.
Основы психофизиологии речевых процессов
Толковый словарь русского языка дает несколько определений слова «речь»: способность говорить, говорение; разновидность или стиль языка (устная и письменная речь, разговорная речь, стихотворная речь); звучащий язык и другие (Ожегов С.И., Шведова Н.Ю., 1992). С точки зрения психологии речь – один из видов коммуникативной деятельности человека, подразумевающий использование средств языка для общения. Благодаря речи психология и опыт одного человека становятся доступными другим людям, обогащают их, способствуют их развитию, причем в гораздо большей степени, чем это может позволить наблюдение и другие процессы неречевого познания: восприятие, внимание, воображение, память и мышление.
Различают три главных звена механизма речи: восприятие речи, ее продуцирование и центральное звено, называемое «внутренней речью». Таким образом, речь является сложным психофизиологическим процессом, основанным на работе различных анализаторов: слухового, зрительного, тактильного и двигательного.
С точки зрения акустики речевые сигналы – это совокупность элементов акустической энергии с быстро меняющимися амплитудами и частотами. Волновой сигнал гласных звуков более прост по сравнению с формой согласного звука, так как отличается значительной степенью периодичности. Частотный спектр гласных звуков неравномерный и, как правило, имеет подъемы, называемые формантами. Спектры согласных звуков таких подъемов почти не имеют (Базаров В.Г. и соавт., 1984). Звуковые единицы, из которых состоят слова, называются фонемами. Изменение последовательности или количества фонем ведет к изменению слова (Чистович Л.А., 1972). Каждому языку присуще определенное число звуковых единиц. В русском языке 35 согласных и 6 гласных фонем1, в немецком – 24 согласных и 15 гласных фонем, в английском – 33 согласных дифтонгов и 12 гласных фонем (Зиндер Л.Р., 1956). Каждая фонема имеет свой частотный спектр и длительность, которые зависят не только от самой фонемы, но и от того, какой звук предшествует или следует за ней.
Как показывают результаты многочисленных исследований, распознавание речи, по-видимому, осуществляется в два этапа. Сначала речевой сигнал преобразуется в последовательность дискретных элементов, представленных цепочкой символов-фонем (по принципу детекторного кодирования). На втором этапе происходит перевод фонем в языковую единицу (Вартанян И.А., 1978; Базаров В.Г. и соавт., 1984). При этом механизм формирования фонетического образа слова и его опознания до конца не ясен.
Еще в начале ХХ века И.П. Павлов, введя понятие о второй сигнальной системе, отметил особенности высшей нервной деятельности человека, существенно отличающие его от животных. Функцией второй сигнальной системы является, прежде всего, способность человека к анализу и синтезу обобщенных речевых сигналов, которая наиболее тесно связана с развитием фонематического слуха, т.е. слуха, обеспечивающего восприятие и понимание фонем данного языка. Как известно, волокна проводящих путей слухового анализатора оканчиваются в поперечной височной извилине (извилине Гешля), которая является первичной (проекционной) слуховой зоной коры. Как и для всех уровней слуховой системы, для коркового отдела слухового анализатора характерна достаточно строгая тонотопическая организация: во внутренних (медиальных) отделах извилины Гешля оканчиваются волокна, несущие импульсы от высоких, а в наружных (латеральных) отделах извилины Гешля – волокна, несущие импульсы от низких тонов. За счет перекрестов волокон «слухового пути» в слуховой зоне коры и медиального коленчатого тела лучше представлено ухо противоположной стороны. Поэтому поражение извилины Гешля одного полушария, как правило, ведет лишь к частичному снижению слуха на противоположное ухо. Интересные результаты были получены А.В. Бару, Г.В. Гершуни2, И.М. Тонконоговым (1964), которые обнаружили, что поражение коры височной области, не сказываясь отчетливо на порогах восприятия длительных тонов, приводит к ухудшению восприимчивости ультракоротких звуков (от 1 до 5 мсек), проявляющемуся на противоположном ухе. Этот факт заставляет думать, что роль слуховой коры заключается не только в том, чтобы принимать звуковые сигналы от периферического рецептора, но и в том, чтобы стабилизировать эти сигналы, позволяя человеку учитывать и их более короткие компоненты. Возбуждения, дошедшие до извилины Гешля, передаются дальше на аппараты внешних (конвекситальных) отделов височной коры (поле 22 Бродмана), которые являются вторичной слуховой зоной. Преобладание нейронов II и III слоев, которым отличается эта зона, а также ее связи с другими (двигательными) отделами коры делают из вторичной слуховой зоны важнейший аппарат, позволяющий осуществлять восприятие речи (Лурия А.Р., 2004).
Основную роль в распознавании речевых сигналов отводят слухоречевому центру Вернике, расположенному в задней трети верхней височной извилины левого полушария и обеспечивающему возможность слышать и понимать чужую речь. Другим центральным органом речи является речедвигательный центр Брока, который у лиц с доминированием речи по левому полушарию находится в нижних отделах третьей лобной извилины левого полушария и обеспечивает моторную организацию речи, т.е. возможность говорить.
К настоящему времени доказаны различия между двумя полушариями мозга в обеспечении речевой деятельности, в том числе, на основании морфологических исследований. Так, установлено, что длина и ориентация сильвиевой борозды в правом и левом полушариях разная, а ее задняя часть, образующая зону Вернике, у взрослого праворукого человека в левом полушарии в семь раз больше, чем в правом.
Речевые функции у правшей локализованы преимущественно в левом полушарии. Около 70% леворуких также имеют речевые зоны в левом полушарии, примерно у 15% речь контролируется правым полушарием, и у 15% полушария не имеют четкой функциональной специализации по речи. Предполагается существование генетически запрограммированных морфофункциональных комплексов, локализованных в левом полушарии и обеспечивающих переработку быстрой последовательности дискретных единиц информации, из которых складывается речь. Однако, в отличие от правого полушария, левое не различает интонации речи и модуляции голоса, нечувствительно к музыке как к источнику эстетических переживаний и плохо справляется с распознаванием сложных образов, не поддающихся разложению на составные элементы. Со всеми этими видами деятельности успешно справляется правое полушарие (Марютина Т.М., Кондаков И.М., 2003).
Восприятие речи. Речевая аудиометрия
Восприятие речи. Речевая аудиометрия
Восприятие речи зависит не только от слышимости входящих в нее звуков, но и от развитости обследуемого, богатства его словаря, знания языка и т. д. Связная речь или предложение воспринимается значительно лучше, чем отдельные слова, в особенности односложные.
Так, по новейшим данным речевой аудиометрии, если больной разборчиво воспринимает 50% односложных слов, то он не испытывает затруднений при восприятии связной речи, так как ее разборчивость достигает 80—100%: при связной речи можно дедуктивно восстанавливать недостающие звенья.
Двусложные слова с ударением на каждом слоге лучше воспринимаются, чем односложные. Нередко разница в их восприятии очень значительна. Хорошо известно, сколь различны результаты при разном характере предъявляемого больному словесного материала. Так, при обычных вопросах: «как вас зовут», «сколько вам лет», больной отвечает на значительно большем расстоянии, чем повторяет отдельные слова.
Когда исследуют числами, больной вначале хуже разбирает, чем потом, когда он уже узнает характер предъявляемого ему словесного материала. Все эти обстоятельства показывают, насколько трудно сравнивать результаты исследования слуха речью, полученные разными врачами.
Было сделано немало попыток унифицировать состав слов для исследо вания шепотной речью. Известны таблицы русских слов В. И. Воячека. Н. А. Паутова.
При анализе состава слов видно, что авторы имели в виду не только оценку восприятия речи, но л определение восприятия отдельных входящих в речь звуков и степень понижения на слова, состоящие из низких и высоких звуков (басовых и дискантовых). В свое время, когда более точные тональные методы не были широко внедрены в практику, эти данные имели большое диагностическое значение.

Сейчас к исследованию речевого слуха предъявляются более строгие и самостоятельные требования в смысле точности, возможности сравнения повторных данных и анализа его дефектов.
Большим достижением последнего времени является речевая аудио метрия. Однако было бы неправильно умалить значение обычного исследования шепотной и разговорной речью. Восприятие речи характеризует состояние основпой и важнейшей функции органа слуха человека.
Оно отражает функциональную деятельность как периферического слухового аппарата, так и центра слуха, где происходит необходимый для понимания речи высший анализ и синтез звуковых раздражений. Эти обстоятельства, с одной стороны, простота и доступность методики—с другой, сделали этот метод общепринятым и незаменимым в повседневной практике. С его помощью можно дать общую оценку остроты слуха и высказать предположение о характере тугоухости, а также дать заключение о пригодности больного к той или иной профессии.
Присущие обычному методу исследования шепотной и разговорной речью недостатки в значительной мере устранены при речевой аудиометрии. Преимущества новой методики: 1. Постоянство текста и дикции при исследовании с помощью магнитофонной звукозаписи. 2. Регулировка и регистрация громкости передаваемой звукозаписи. Эта регулировка возможна и при пользовании для исследования живой речью.
В этом случае диктор, говоря в микрофон, руководствуется показаниями вольтметра. 3. Потеря слуха определяется в более сравнимых числах — не измерением расстояния в метрах, а в децибелах. 4. Исследования дают представление о воз можности и границах разборчивого восприятия речи при различной ее громкости.
С помощью речевой аудиометрии можно более точно и объективно оценивать эффективность слухопротезирования и тем самым более обоснованно ставить показания к нему, а также судить о сдвигах в восприятии речи в результате реэдукации слуха, основная цель которой и заключается в лучшем использовании сохранившегося тонального слуха для улучшения восприятия речи.
Информация на сайте подлежит консультации лечащим врачом и не заменяет очной консультации с ним.
См. подробнее в пользовательском соглашении.
Речевая аудиометрия
В центре слухопротезирования «Мелфон» в Москве проводятся различные виды диагностики слуха, в том числе тональная и речевая аудиометрия. Данные способы исследования считаются одними из наиболее информативных и широко используются при диагностике слуха.

Речевая аудиометрия – это субъективный метод. Он основан на том, что врач-сурдолог произносит различные слова, меняя при этом громкость произнесения. Пациент сообщает, что оно услышал, и на основании полученной информации специалист оценивает состояние его слуха.
Особенности проведения речевой аудиометрии
Так как этот метод относится к категории субъективных, информация, полученная с его способом, не является безупречно точной. Однако профессиональное проведение аудиометрии позволяет решить несколько важных задач, среди которых:
- определение кривой восприятия речи для разных уровней интенсивности звукового раздражителя;
- определение направления коррекции слуха, оценка его качества и эффективности подбора слухового аппарата;
- анализ восприятия звуков выше порога слышимости;
- оценка коммуникативных возможностей слуха, то есть, умения пациента общаться в обычной жизни;
- определение динамического диапазона, а также оценка порога комфортного и дискомфортного восприятия речи;
- определение обработки речевого сигнала и разборчивости речи, а также порога обнаружения речи, при котором пациент может услышать до 50% слов.
Методика речевой аудиометрии предполагает, что пациент слышит строго определенную тестовую последовательность слов разной сложности и громкости. Для проверки слуха он должен повторять звуки сразу после воспроизведения. При этом составляется документ, который называется «речевая аудиограмма». Она представляет собой результат обследования, изображенный виде графика и показывающий зависимость доли правильно воспринятых слов от громкости, с которой они были произнесены. Речевая аудиограмма позволяет провести первичную оценку состояния слуха пациента. На ее основании специалист принимает решение о том, в каком направлении двигаться дальше, а также о том, какие диагностические методы следует использовать в будущем.
Тональная аудиометрия: суть исследования

Есть и другие диагностические методы, позволяющие оценить состояние слуха. Один из них – так называемое тональное исследование. Методика проведения аудиометрии тонального типа построена на том, что пациент надевает наушники и слушает звуки различной громкости. Звуки подаются в наушники с помощью специального современного аппарата-аудиометра. Это простая процедура, которая подходит как взрослым, так и детям. Обследование проводится отдельно для каждого уха по отдельности.
Эта процедура позволяет:
- обнаружить дискриминацию – низкую интенсивность, при которой пациент слышит и может повторять слова;
- исследовать сенсоневральную тугоухость.
После того, как специалист закончил проводить тональную или речевую аудиометрию, он получает результат тестирования – аудиограмму. В ней отображены данные, которые необходимы специалисту для постановки диагноза и точного подбора слухового аппарата.
Если вы хотите проверить слух в Москве, обращайтесь в центр «Мелфон». Записаться на прием для проведения речевой аудиометрии можно несколькими способами:
Восприятие речи. Речевая аудиометрия
Принятые сокращения:
дБ нПС — децибел относительно нормального порога слышимости
дБ УЗД — децибел относительно исходного уровня звукового давления
RuMatrix — Russianmatrixsentencetest — русский матриксный фразовый тест
SNR — Signal-to-Noise Ratio — отношениесигнал/шум
SRT — Speech reception threshold — порогречевойразборчивости
SRT5 — отношение сигнал/шум, при котором достигается уровень 50% речевой разборчивости
Речевая аудиометрия является одним из основных методов оценки слуха как социальной категории, который широко используется для решения различных вопросов аудиологической диагностики, экспертизы, слухопротезирования. В России данное исследование, как правило, выполняется с использованием таблиц одно- или многосложных слов в тишине [1, 2]. Под руководством проф. А.И. Лопотко был создан «Русский речевой тест в шуме» с предъявлением многосложных слов [3], не получивший широкого распространения прежде всего из-за ограниченности числа треков с фиксированным отношением сигнал/шум (Signal-to-Noise Ratio, SNR).
За последние десятилетия зарубежными исследователями было разработано большое количество речевых тестов на фоне шума, в том числе с предъявлением слогов, одно- и многосложных слов, цифр [4—6]. Однако лучше всего оценивать процесс повседневной коммуникации позволяет использование фраз в шуме. При выполнении речевой аудиометрии посредством фраз максимальная разборчивость достигается при меньших уровнях интенсивности, что позволяет определять пороги восприятия речи точнее и эффективнее, чем при использовании отдельных слов [7, 8]. Для тестирования могут предъявляться два типа фраз: смысловые, взятые из жизненных ситуаций, с нефиксированной грамматической структурой [9, 10], и фразы с так называемой матриксной структурой, синтаксически фиксированные, но семантически непредсказуемые, формируемые путем комбинации слов в случайном порядке [11—13]. Предложения матриксного типа вследствие отсутствия в них смыслового содержания трудны для запоминания, что позволяет многократно тестировать пациента при аудиологическом обследовании в процессе лечения и реабилитации.
Наибольшее распространение получил матриксный тест (Мatrix Test), разработанный в Германии в рамках программы исследований по оценке речевой разборчивости в шуме. Его также называют Ольденбургским фразовым тестом (Oldenburger Satztest, OLSA). На настоящий момент существует 18 версий данного теста для разных языков, из которых 9 доступно для клинического использования [12—18]. С 2012 г. начались испытания русской версии матриксного фразового теста (Russian matrix sentence test), которая получила сокращенное название RuMatrix Test. В соответствии с общим принципом формирования речевого материала фразы во всех матриксных тестах состоят из 5 слов. Для создания фраз используется 10 имен собственных, 10 глаголов, 10 числительных и 10 существительных, отобранных по следующим критериям: 1) высокая частота встречаемости в соответствии с частотным словарем русского языка; 2) высокий уровень узнаваемости и простота слов; 3) семантическая нейтральность отдельных слов/фраз; 4) сбалансированное количество слогов в группах слов; 5) специфичное для языка распределение фонем [11, 15, 19]. Для русского языка порядок слов следующий: 1-е — мужское или женское имя, 2-е — глагол, 3-е — числительное, 4-е — прилагательное и 5-е — существительное. Например, «Иван хочет пять красных залов». Было записано 100 фраз, произносимых диктором-женщиной, которые затем разрезались на отдельные слова. Новые фразы создавали путем объединения соответствующих слов с сохранением коартикуляции с прилегающим словом. В процессе тестирования треки, состоящие из 20 или 30 фраз, могут подаваться как в тишине, так и на фоне шума. Маскирующий шум образован 30-кратным случайным наложением всех фраз [19].
Цель исследования— апробация русской версии матриксного фразового теста (RuMatrix Test) на нормально слышащих лицах разного возраста.
Пациенты и методы
По результатам опроса, отоскопии и тональной пороговой аудиометрии для исследования отбирались отологически здоровые, нормально слышащие взрослые лица разного возраста, для которых русский язык является родным. При проведении теста RuMatrix в случайном порядке подавались треки, состоящие из 20 фраз, которые предъявлялись одновременно с шумом через головные телефоны на одно (ведущее) ухо; длительность типичного трека — около 4 мин. Фразы и помеха подавались ипсилатерально в адаптивном режиме: при фиксированном уровне шума интенсивность речевого сигнала менялась автоматически, уменьшаясь при правильном ответе испытуемого и увеличиваясь при неправильном ответе. Оценивалось SNR (в дБ SNR), при котором достигался уровень 50% речевой разборчивости (SRT50), и значение наклона кривой слово-специфической функции разборчивости, определяемое программно по специальной формуле (%/дБ) [15].
На первом этапе апробации теста RuMatrix обследованы 35 человек (20 — в Ольденбурге, 15 — в Санкт-Петербурге) в возрасте от 18 до 33 лет (25±3,6 года). Измерения выполнялись в условиях открытого выбора (исследуемые повторяли услышанные фразы, не имея визуальной опоры). Для изучения тренировочного эффекта последовательно предъявлялись 8 треков на фоне шума интенсивностью 65 дБ УЗД (относительно исходного уровня звукового давления). При исследовании влияния уровня шума на речевую разборчивость каждому исследуемому предъявлялось по 5 треков сразличной интенсивностью фонового шума: 45, 55, 65, 75 и 80 дБ УЗД; для оценки тест-ретестовой надежности метода процедура исследования повторялась дважды (второе исследование выполнялось в другой день).
На втором этапе апробации изучалось влияние возраста на результаты теста RuMatrix. С этой целью в лаборатории слуха и речи ПСПбГМУ им. И.П. Павлова обследованы 40 человек с нормальными порогами слуха в зоне речевых частот в соответствии с международной классификацией, принятой в России [1]: 20 молодых лиц в возрасте от 20 до 40 лет (29,3±5,7 года) и 20 пожилых от 61 до 74 лет (66,9±4,2 года). Предъявляли три трека на фоне шума: 1-й — при фиксированном SNR, равном 2 дБ УЗД (для ознакомления с речевым материалом), 2-й и 3-й — в адаптивном режиме на фоне шума интенсивностью 65 дБ УЗД. Оценивали данные, полученные по итогам предъявления 3-го трека (первые два трека были тренировочными). Наряду с тестом RUMatrix проводили наиболее распространенный в России вариант речевой аудиометрии с оценкой разборчивости односложных слов в тишине на комфортном уровне громкости [2]. При статистической обработке полученных результатов использовались методы одномерного и многомерного дисперсионного анализа.
Результаты исследования

Рис. 1. Влияние тренировочного эффекта на результаты теста RuMatrix по данным исследований, выполненных в Ольденбурге и Санкт-Петербурге. По оси ординат: средние значения SRT50; по оси абсцисс: порядковый номер исследования.
Путем усреднения результатов всех измерений, за исключением первых двух, был подсчитан итоговый SRT50, который составил –8,8±0,8 дБ SNR. Значение наклона кривой слово-специфической функции разборчивости было равно 13,8±1,6%/дБ.
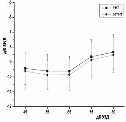
На основании результатов первого и повторного обследований, выполненных в разные дни, для каждого уровня фонового шума рассчитывалась тест-ретестовая надежность метода (рис. 2). Межсубъектная изменчивость варьировала от 0,5 дБ SNR при уровне шума 45 и 55 дБ УЗД до 0,7 дБ SNR при уровне шума 65 дБ УЗД (в среднем 0,6 дБ SNR), что доказывает высокую устойчивость результатов теста RuMatrix.

Рис. 2. Влияние уровня фоновой помехи на результаты теста RuMatrix, по данным первого (тест) и повторного (ретест) тестирования. По оси ординат: средние значения SRT50 с соответствующими стандартными отклонениями; по оси абсцисс: интенсивность фонового шума.
Навтором этапе апробации обследовано две группы испытуемых, достоверно различавшихся по возрасту [F (1,39)=568,34, p
Среднее значение порогов слуха в зоне речевых частот (0,5, 1, 2 и 4 кГц) у лиц молодого возраста составило 9,5±1,9 дБ нПС относительно нормального порога слышимости, колеблясь у разных исследуемых от 6,3 до 12,5 дБ нПС, а у лиц пожилого возраста — 17,1±3,4 дБ нПС (от 8,8 до 21,3 дБ нПС). Несмотря на то что с точки зрения международной классификации тугоухости слух у исследуемых обеих групп был в пределах нормы, были выявлены статистически значимые различия тональных порогов слуха между молодыми и пожилыми слушателями [F (1,38)=72,17, p
По результатам теста RuMatrix у 19 из 20 молодых исследуемых значения SRT50 были в пределах нормального диапазона и мало отличались от данных, полученных нами на первом этапе апробации; среднее значение SRT50 составило в группе молодых лиц –8,7±0,9 дБ SNR (разброс от –10,4 до –7 дБ SNR). У пожилых лиц показатели SRT50 были хуже, чем у молодых, даже при сравнении исследуемых с одинаковыми порогами слуха [F (1,39)=31,38, p50 у пожилых лиц было равно –6,9±1,1 дБ SNR, что в среднем на 1,8 дБ SNR хуже, чем у молодых (разброс от –8,2 до –3,3 дБ SNR).
При анализе данных оценки разборчивости односложных слов в тишине на комфортном уровне громкости было установлено, что у всех лиц молодого возраста результаты были приближены к максимальному; среднее значение составило 98% (диапазон от 90 до 100%). У 18 из 20 пожилых также имел место результат ≥90%; среднее значение 92%, самое низкое — 55%. В связи с наличием так называемого эффекта «потолка», выраженного в обеих группах, достоверных различий между группами не выявлено.
Слуховая система служит человеку не только для понимания звуковых сигналов с целью базовой ориентации и выживания, но и выполняет важнейшую социальную функцию — восприятие речи. Тест RuMatrix моделирует повседневную ситуацию (восприятие фраз на фоне шума) и, как показало выполненное исследование, является очень точным инструментом диагностики. Тот факт, что фразы состоят из 5 слов, для каждого из которых существует только 10 альтернатив, обеспечивает компромисс между необходимостью использовать широкий набор языковых единиц для повышения точности обследования и необходимостью учитывать ограниченные способности исследуемого к запоминанию. Поддержание стабильной фразовой структуры, специфичной для языка, и использование наиболее широко употребляемых слов минимизирует влияние синтактических и лингвистических знаний на результат [15].
Проведенное исследование продемонстрировало высокую сопоставимость результатов теста RuMatrix с результатами, полученными для других языков. Ожидаемое нормативное отношение сигнал/шум, при котором достигался уровень 50% речевой разборчивости в адаптивных измерениях, выполненных в открытом формате у молодых русскоговорящих лиц с нормальным слухом, составил –8,8±0,8 дБ SNR. Близкие показатели были получены для английского (–8,8±0,7 дБ SNR) и польского (–8,0±1,3 дБ SNR) языков. Несколько лучше были результаты для финского языка (–9,7±0,7 дБ SNR) и, напротив, хуже — для турецкого (–7,2±0,8 дБ SNR), немецкого (–6,8 дБ SNR), итальянского (–6,8±0,8 дБ SNR) и испанского (–6,2±0,8 дБ SNR) языков [15, 16, 18].
Среднее значение наклона кривой слово-специфической функции разборчивости, равное для русского языка 13,8±1,6%/дБ, сопоставимо с аналогичными данными для французского (14%/дБ), итальянского (13,3%/дБ), испанского (13,2%/дБ) и датского (12,6%/дБ) языков [12, 14—16]. Более высокий наклон был обнаружен для немецкого (17,1%/дБ) и польского (17,1±1,6%/дБ) языков [15]. Такая разница может быть связана со специфическими характеристиками диктора или возможностями распознавания фонем разных языков в шуме.
Как показали предыдущие исследования матриксных тестов, эффект тренировки не зависит от языка и связан со структурой речевого материала: максимальное улучшение SRT50 наблюдается между двумя первыми измерениями, а затем оно снижается к значению менее 1 дБ после 2-го измерения [15]. Аналогичные результаты были получены и для теста RuMatrix.
Высокая тест-ретестовая надежность теста RuMatrix, показанная в настоящем исследовании (0,6 дБ SNR), была также установлена для итальянского (0,5 дБ SNR) и французского (0,4 дБ SNR) языков [14, 16].
Достоверно более высокие значения SRT50 при предъявлении сигнала на фоне шума интенсивностью 75 и 80 дБ УЗД, возможно, связаны с феноменом дистанционной маскировки, проявляющимся только при достаточно высоких уровнях маскирующего шума. В этой ситуации маскировка распространяется как на высокочастотные форманты, так и на форманты, существенно более низкие, чем частоты фонового шума [20].
Пожилые лица продемонстрировали достоверно худшие показатели в тесте RuMatrix, чем молодые. Эти результаты согласуются с другими данными о снижении разборчивости речи, преимущественно в шуме, у пожилых людей с нормальными порогами слуха [21, 22]. В то же время тест по оценке разборчивости односложных слов в тишине как у молодых, так и у пожилых лиц был в пределах нормы, что может свидетельствовать о более низкой чувствительности этого теста для выявления дефицита разборчивости.
Выводы
1. С учетом установленного эффекта тренировки, максимально выраженного для первых двух измерений, при выполнении теста RuMatrix необходимо проведение двух тренировочных треков. Шумовая помеха интенсивностью 75 и 80 дБ УЗД приводит к достоверному ухудшению разборчивости в тесте RuMatrix.
2. Выявлено достоверное ухудшение фразовой разборчивости в шуме у нормально слышащих лиц пожилого возраста (60—74 лет) по сравнению с молодыми (20—40 лет).
3. С учетом высокой сопоставимости результатов теста RuMatrix с данными, полученными для других языков, данный тест может быть использован в качестве универсального инструмента в международных исследованиях.
Читайте также:
