Диагностика и лечение рифт-валли лихорадки. Крымская-Конго геморрагическая лихорадка
Добавил пользователь Евгений Кузнецов Обновлено: 01.11.2025
Крымская-Конго геморрагическая лихорадка (ККГЛ) - острая вирусная природно-очаговая инфекционная болезнь с трансмиссивным механизмом передачи возбудителя, вызванная вирусом семейства Bunyaviridae, рода Nairovirus, характеризующаяся лихорадкой, общей интоксикацией, геморрагическим синдромом и тяжёлым течением [1].
Название протокола: Конго-Крымская геморрагическая лихорадка
Код МКБ X: А 98.0 - Крымская геморрагическая лихорадка (вызванная вирусом Конго)
Дата разработки/пересмотра протокола: 2014 год (пересмотр 2019 г.)
Сокращения, используемые в протоколе:
| АД | - | артериальное давление |
| ВСБ | - | водно-солевой баланс |
| ГШ | - | геморрагический шок |
| ДВС- синдром | - | синдром диссеминированного внутрисосудистого свертывания |
| ИФА | - | иммуноферментный анализ |
| ККГЛ | - | Крымская-Конго геморрагическая лихорадка |
| КП | - | Криопреципитат |
| КТ | - | концентрат тромбоцитов |
| ОЦК | - | объем циркулирующей крови |
| ПВ | - | протромбиновое время |
| ПТИ | - | протромбиновый индекс |
| СЗП СИЗ | - - | свежезамороженная плазма средства индивидуальной защиты |
| УЗИ | - | ультразвуковое исследование |
| ЦВД | - | центральное венозное давление |
| ЭКГ | - | Электрокардиография |
Пользователи протокола: инфекционисты, терапевты, врачи общей практики, акушер-гинекологи, врачи/фельдшеры скорой медицинской помощи, анестезиологи-реаниматологи, хирурги, оториноларингологи, неврологи.
Категория пациентов: взрослые
Шкала уровня доказательности:
| А | Высококачественный мета-анализ, систематический обзор РКИ или крупное РКИ с очень низкой вероятностью (++) систематической ошибки результаты которых могут быть распространены на соответствующую популяцию. |
| В | Высококачественный (++) систематический обзор когортных или исследований случай-контроль или Высококачественное (++) когортное или исследований случай-контроль с очень низким риском систематической ошибки или РКИ с невысоким (+) риском систематической ошибки, результаты которых могут быть распространены на соответствующую популяцию. |
| С | Когортное или исследование случай-контроль или контролируемое исследование без рандомизации с невысоким риском систематической ошибки (+). Результаты которых могут быть распространены на соответствующую популяцию или РКИ с очень низким или невысоким риском систематической ошибки (++ или +), результаты которых не могут быть непосредственно распространены на соответствующую популяцию. |
| D | Описание серии случаев или неконтролируемое исследование или мнение экспертов. |
| GPP | Наилучшая клиническая практика |

Автоматизация клиники: быстро и недорого!
- Подключено 300 клиник из 4 стран
- 800 RUB / 4500 KZT / 27 BYN - 1 рабочее место в месяц

Автоматизация клиники: быстро и недорого!
- Подключено 300 клиник из 4 стран
- 1 место - 800 RUB / 4500 KZT / 27 BYN в месяц
Мне интересно! Свяжитесь со мной
Классификация
I. ККГЛ с геморрагическим синдромом:
Тяжелая форма:
без полостных кровотечений;
с полостными кровотечениями.
Среднетяжелая форма:
без полостных кровотечений;
с полостными кровотечениями.
Легкая форма
II. ККГЛ без геморрагического синдрома:
среднетяжелая форма;
легкая форма
Выделяют следующие клинические периоды:
- предгеморрагический или начальный;
- геморрагический период соответствует разгару заболевания;
- реконвалесцентный;
- отдаленные последствия ККГЛ.
Диагностика
МЕТОДЫ, ПОДХОДЫ И ПРОЦЕДУРЫ ДИАГНОСТИКИ
Диагностические критерии
Жалобы и анамнез, в том числе эпидемиологический
-лихорадка продолжительностью от 1 до 12 дней, в среднем 7-8 дней;
-выраженная головная боль;
-резкая слабость;
-тошнота;
-рвота;
-отсутствие аппетита;
-нарушение сна;
-ломота в теле;
-мышечные боли;
-кровоточивость дёсен;
-геморрагическая энантема на слизистых оболочках;
-петехиальная сыпь;
-кровотечения (носовые, лёгочные, желудочно-кишечные, маточные);
-жидкий стул без патологических примесей в течение 2-3 дней;
-боли в животе.
Анамнез заболевания:
-острое начало заболевания с высокой температурой. Больные указывают дату и нередко час заболевания.
Эпидемиологический анамнез [3]:
-пребывание в эндемичном для ККГЛ регионе;
-укус клеща или контакт с клещом;
-уход за животными;
-контакт с кровью, шкурами, тканями животных при их разделке, убое, транспортировке и реализации;
-контакт с кровью больного;
-нахождение на открытой территории (отдых на природе и др.).
Физикальное обследование:
-гиперемия и одутловатость лица;
-гиперемия верхней части шеи и плечевого пояса (симптом «капюшона»);
-инъекция сосудов склер;
-умеренная гиперемия зева;
-положительные симптомы «щипка», «жгута»;
-формирование постиньекционных гематом;
-геморрагическая сыпь на коже и слизистых в виде петехий с наиболее частой локализацией на верхних и нижних конечностях, в аксиллярных областях, в местах давления одеждой;
-кровоточивость десен или слизистых полости рта;
-кровотечения (носовые, маточные, желудочно-кишечные, почечные, легочные);
-увеличение печени характерно на 3-5 день болезни;
-в разгар заболевания отмечается: брадикардия до 40 в минуту, гипотония, приглушенность сердечных тонов.
Лабораторные исследования
Неспецифическая лабораторная диагностика [1,2,4]:
Общий анализ крови:
-выраженная лейкопения, лимфоцитоз с нейтрофильным сдвигом влево до палочкоядерных, тромбоцитопения, умеренная анемия, повышение СОЭ;
Общий анализ мочи:
- в начальном периоде: незначительная альбуминурия, микрогематурия, цилиндрурия;
-в периоде разгара — гематурия.
Коагулограмма:
-При гиперкоагуляции: укорочение тромбинового времени до 10-15 с и времени свёртывания крови; повышение содержания фибриногена в плазме крови до 4,5-8 г/л, увеличение протромбинового индекса до 100-120%.
-При гипокоагуляции: удлинение тромбинового времени до 25-50 с, времени свёртывания крови; снижение содержания фибриногена в плазме крови до 1-2 г/л, снижение протромбинового индекса до 30-60%).
Биохимический анализ крови:
-уменьшение содержания общего белка в сыворотке крови (при профузных кровотечениях), гипоальбуминемия, гипербилилирубинемия, повышение активности АлТ и АсТ, ЛДГ.
Анализ кала на скрытую кровь:
-положительный при внутрикишечном кровотечении.
Специфическая лабораторная диагностика [3]:
-в периоде разгара: выявление РНК вируса ККГЛ методом ПЦР, антигена вируса или антител IgM методом ИФА;
-в стадии реконвалесценции или недавно перенесенном заболевании, произошедшем в течение нескольких предыдущих месяцев: выявление антител (IgM + IgG);
-при инфекции, перенесенной в течение последних двух лет: высокие титры IgG (при отрицательных IgM);
-при давней инфекции, перенесенной более двух лет назад: низкие титры IgG (при отрицательных IgM).
Критерии стандартного определения случая ККГЛ[3]:
Предположительный случай
Любой пациент, проживающий или находившийся на эндемичной по ККГЛ территории, обратившийся по поводу остро начавшегося заболевания с повышения температура тела, и у него наблюдается как минимум один из следующих клинических признаков:
-сильная головная боль,
-мышечные боли,
-тошнота или рвота,
-боли в животе или диарея,
-положительный симптом жгута,
и, в период 14 дней до начала заболевания, отмечалось наличие одного из нижеперечисленных факторов риска развития ККГЛ в эпиданамнезе:
-укус или контакт с клещом,
-уход за животными (выпас, дойка и др.),
-наличие животных, включая собак в домашнем хозяйстве,
-контакт с кровью, шкурами, тканями животных при их разделке, убое, транспортировке и реализации,
-контакт с больным с кровотечением человеком,
-нахождение на открытой территории (работа в поле, отдых на природе и др.),
-работа в лаборатории с кровью, тканями людей/ или животных, или с клещами
Вероятный случай
Пациент, проживающий или находившийся на эндемичной по ККГЛ территории в период 14 дней до начала заболевания, и соответствующий клиническому описанию предположительного случая ККГЛ, с тромбоцитопенией ниже 150 000 /мм 3 и/или наличием любых геморрагических проявлений:
-петехиальная сыпь
-кровотечения любой локализации (носовые, десневые, желудочно-кишечные, вагинальные, и др.)
-кровоизлияния
-положительный симптом жгута.
Подтвержденный случай
Соответствует определению предположительного или вероятного случая ККГЛ с положительным результатом диагностических тестов образца крови/ткани на ККГЛ:
-Выявление РНК в ПЦР или антигена ККГЛ в ИФА
-Выявление антител IgM, IgG методом ИФА
-Выявление антигена в патологоанатомическом материале иммуногистохимическим методом.
Инструментальные исследования:
УЗИ органов брюшной полости: гепатомегалия, возможно наличие свободной жидкости (при гемоперитонеуме);
ЭКГ: признаки ишемии миокарда (при обильных внутренних кровотечениях);
Рентгенография органов грудной клетки: наличие горизонтального уровня жидкости или сгустков в полости плевры (при гемотораксе);
КТ головного мозга: наличие очагов кровоизлияния (при кровоизлияниях в мозг).
Показания для консультаций узких специалистов:
-консультация невролога - при присоединении явлений менингоэнцефалита, ОНМК;
-консультация анестезиолога-реаниматолога - при сердечно-сосудистой недостаточности, шоке;
-консультация кардиолога - при присоединении симптомов миокардита;
-консультация хирурга - при подозрении на перитонит, гемоторакс, гемоперитонеум;
-консультация гинеколога - при беременности, метроррагии.
Диагностический алгоритм:
Основные (обязательные) диагностические обследования,проводимые на амбулаторном уровне:
-сбор жалоб и анамнеза;
-тщательный эпидемиологический анамнез;
-физикальное обследование.
Основные (обязательные) диагностические обследования, проводимые на стационарном уровне:
-определение группы крови;
-определение резус-фактора;
-общий анализ крови;
-общий анализ мочи;
-коагулограмма;
-биохимический анализ крови (общий белок, альбумин, билирубин, АлТ, АсТ, ЛДГ);
-анализ кала на скрытую кровь с целью выявления внутрикишечного кровотечения;
-определение антигена вируса(Ag), антител IgM, IgG методом ИФА;
-определение РНК вируса ККГЛ методом ПЦР;
-определение антигена вируса в патологоанатомическом материале иммуногистохимическим методом.
Алгоритм лабораторного тестирования крови (сыворотки) на ККГЛ [3]:
1-й образец берется при госпитализации и тестируется в ПЦР, ИФА Ag ( в первые 5 дней болезни) и ИФА IgM1;
2-й образец берется через пять дней после первого образца и тестируется в ПЦР, ИФА IgM2 и IgG1(образцы на IgG желательно забирать до введения иммунной плазмы для достоверной интерпретации результата);
3-й образец берется через пять дней после второго образца и тестируется в ИФА IgM3 и ИФА IgG2.
Дополнительные диагностические обследования, проводимые на стационарном уровне:
- УЗИ почек, органов брюшной полости, малого таза;
- ЭКГ;
- Рентгенография органов грудной клетки (с целью диагностики гемоторакса, пневмонии);
- КТ головного мозга при подозрении на ОНМК по геморрагическому типу.
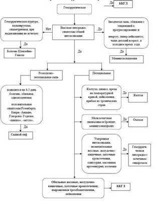
Дифференциальный диагноз
Рисунок 1- Клинический алгоритм диагностического поиска в предгеморрагическом периоде Конго-Крымской геморрагической лихорадки


Рисунок 2-Клинический алгоритм диагностического поиска в геморрагическом периоде Конго-Крымской геморрагической лихорадки
Лихорадка долины Рифт ( Лихорадка Рифт-Валли )
Лихорадка долины Рифт - это острая арбовирусная инфекция. Основными симптомами заболевания являются поражения центральной нервной системы, глаз и печени, разнообразные геморрагические проявления. Болезнь сопровождается выраженной интоксикацией и лихорадкой. Основу диагностики составляют методы выделения вируса из биологических субстратов больного и обнаружение антител к возбудителю в крови пациента. Лечение патогенетическое и симптоматическое, направленное на облегчение течения патологии, коррекцию нарушенных висцеральных функций. Этиотропные средства не разработаны.
МКБ-10

Общие сведения

Причины
Возбудитель заболевания - одноименный вирус. Резервуарами и источниками инфекции служат дикие и домашние животные: слоны, носороги, летучие мыши, газели, коровы, козы, овцы, буйволы, верблюды. Передача вируса осуществляется при контакте с биологическим материалом - в процессе разделывания туш, приготовления пищи, ухода за животными. Описано аэрогенное инфицирование при работе с вирусом в лабораториях. Прямая передача от человека к человеку не доказана. Трансмиссивный путь передачи реализуется комарами, некоторыми кровососущими мухами.
Основные факторы риска - детский возраст, проживание в сельской местности. Наиболее часто инфицируются фермеры, ветеринары и пастухи, лица, трудящиеся на скотобойнях и мясоперерабатывающих заводах. Опасность представляют территории с обширными ирригационными системами, являющимися местами выплода комаров. При крупных вспышках характерно появление новых вторичных очагов болезни, связанных с перемещением скота, пассивной миграцией переносчиков. Доказана трансовариальная передача вируса среди комаров рода Aedes.
Патогенез
После проникновения через поврежденные кожные покровы и слизистые либо укуса комара вирус попадает в регионарные лимфатические узлы, где активно размножается и накапливается. Распространение гематогенным путем приводит к поражению органов и тканей, возникают мононуклеарные инфильтраты, фокальные некрозы, обусловленные как прямым воздействием вируса, так и особенностями иммунологического ответа организма. Отмечается связь между повышением уровня IL-8, IP-10, IL-10 и летальным исходом; цитокиновая дисрегуляция является предиктором тяжелого течения.
Наибольший тропизм возбудитель проявляет к ткани печени, почечным клубочкам, эпителиоцитам почечных канальцев; именно для печени и почек характерны выраженные дистрофические и некротические преобразования. Эндотелиоциты также являются вирусной мишенью. Патоморфологические изменения, приводящие к истончению сосудистой стенки, усиленному проникновению сквозь нее жидкости и клеток крови, обусловлены иммунопатологическими процессами. Выраженные васкулиты в зоне сетчатки практически всегда приводят к угрозе отслойки и слепоте.
Современные инфекционисты выделяют субклиническое, легкое, среднетяжелое и тяжелое течение болезни. Частота встречаемости тяжелых форм составляет не более 1%. Лихорадку долины Рифт также классифицируют в зависимости от поражаемого органа. Для данной инфекции характерно вовлечение головного мозга и его оболочек, а также печени, глаз и системы гемостаза.
- Глазная форма. Встречается у 0,5-2% больных, как изолированное состояние смертельных исходов не вызывает. Основные симптомы связаны со снижением остроты и качества зрения. Описаны случаи спонтанного выздоровления через 10-12 недель.
- Менингоэнцефалитическая форма. Страдает около 1% пациентов. Дебют происходит не ранее 4-й недели болезни. Несмотря на тяжесть течения, летальность низкая. Опасность представляют остаточные неврологические симптомы, появляющиеся через 2 и более месяца после острого периода.
- Геморрагическая форма. Развивается через несколько дней от начала болезни. В патогенезе - печеночный некроз, дефицит факторов свертывания, ДВС-синдром. Смерть наступает у 50% пациентов с данной формой, обычно - в течение 3-6 дней.
Симптомы лихорадки долины Рифт
Инкубационный период составляет 3-6 суток. Начало болезни острое на фоне нормального самочувствия. Возникает выраженный озноб, мышечные и суставные боли, слабость. Движения глазными яблоками болезненны, отмечается светобоязнь, покраснение лица и склер, гипертермия более 39° C. Встречается кратковременное снижение температуры тела практически до нормальных значений, через 1-2 суток вновь наступает период гиперпирексии. В большинстве случаев иных симптомов не наблюдается, в течение недели наступает полное выздоровление.
Тяжелая геморрагическая форма лихорадки дебютирует после 2-4 дня болезни с возникновения желтухи и точечных кровоизлияний. В дальнейшем развиваются профузные желудочно-кишечные, маточные и другие кровотечения. Пациенты могут предъявлять жалобы на прогрессирующие снижение, нечеткость зрения на 7-14 сутки инфекции. На 7-30-й день заболевания возможно поражение головного мозга, сопровождающееся головокружениями, спутанностью сознания, галлюцинациями, сильными головными болями с рвотой на высоте приступа, не купирующимися анальгетиками.
Осложнения
К наиболее частым осложнениям относят последствия патологических процессов в печени. Арбовирус способен вызывать полный гепатонекроз, особенно у детей. У взрослых поражения печени приводят к дефициту факторов свертывания, кровотечениям, токсической энцефалопатии. Сосудистые вирусные инвазии усугубляют течение геморрагического синдрома. Васкулит, окклюзия сосудов вблизи макулы в половине случаев являются причиной отека желтого пятна и необратимой слепоты. Неврологические последствия энцефалита (параличи, парезы) могут сохраняться пожизненно.
В современной клинической инфектологии верификация диагноза осуществляется на основании консультации профильного специалиста, в некоторых случаях - офтальмолога и других врачей. Необходимо строгое соблюдение правил транспортировки и исследований образцов, полученных от больного - работать с ними разрешается только в лаборатории особо опасных инфекций. Основными диагностическими исследованиями являются:
- Физикальный осмотр. Изменения часто отсутствуют. Можно обнаружить желтушность склер и кожи, геморрагическую сыпь (петехии, пурпуры, экхимозы), неврологические изменения: ригидность затылочных мышц, менингеальные знаки. Требуется активно выявлять зрительные нарушения, эпизоды десневых и носовых кровотечений.
- Осмотр глазного дна.Офтальмоскопия показана всем больным с подозрением на лихорадку долины Рифт, особенно при наличии ухудшения зрения. При глазной форме острота зрения снижена, во время периметрии возможно обнаружение скотом. На глазном дне определяется отек желтого пятна, кровоизлияния в стекловидное тело, сетчатку, признаки васкулита.
- Лабораторные исследования. Общеклинический анализ крови характеризуется лейкоцитозом, сменяющимся лейкопенией и тромбоцитопенией. Наблюдается повышение активности биохимических показателей: АЛТ, АСТ, общего и прямого билирубина, мочевины, креатинина. В общем анализе мочи - микрогематурия, цилиндрурия. В ликворограмме - умеренный лимфоцитарный цитоз.
- Выявление инфекционных агентов. Изоляция вируса в клеточной культуре - сложный и дорогостоящий способ. Выделение возбудителя лихорадки из крови больного производится методом ПЦР с обратной транскрипцией. Серологическая диагностика проводится с помощью ИФА, позволяет ретроспективно установить диагноз, применяется в эндемичных районах при эпидемиологических исследованиях.
- Инструментальные методики. Рентгенография ОГК назначается в ходе дифференциальной диагностики. Рекомендовано УЗИ органов брюшной полости, забрюшинного пространства, орбит, глазных яблок. Для исключения сосудистых очаговых и опухолевых поражений осуществляется ЭЭГ, КТ, МРТ головного мозга, отделов зрительного аппарата с контрастным усилением.
Дифференциальный диагноз проводится с геморрагическими лихорадками Эбола, Ласса, Марбург, Крым-Конго. Клинические проявления перечисленных инфекций почти аналогичны, этиологическая верификация возможна только лабораторными методами. Малярия проявляется длительной гиперпирексией, гепатоспленомегалией, приступами «озноб-жар-пот». При желтой лихорадке отмечается желтуха, токсические поражения сердечно-сосудистой и нервной систем, олигурия. Брюшной тиф характеризуется наличием сомноленции и тифозного статуса, гепатоспленомегалией, метеоризмом, парезом кишечника.
Лечение лихорадки долины Рифт
Пациенты с лихорадкой Рифт-Валли должны лечиться в стационаре. Постельный режим показан в период повышения температуры тела до ее нормализации в течение 4-5 суток и в случае развития осложнений. Диетические рекомендации заключаются в щадящем режиме питания с исключением трудноперевариваемой пищи, алкоголя. Водная нагрузка при отсутствии противопоказаний должна быть увеличена.
Консервативная терапия
Этиотропное лечение не разработано. Большое значение придается дезинтоксикационной и противовоспалительной терапии, использование ацетилсалицилатов и их аналогов не рекомендуется. Проводится коррекция печеночно-клеточной недостаточности, воспалительных изменений вещества головного мозга, тромбогеморрагического синдрома. По показаниям осуществляются инфузии тромбомассы, свежезамороженной плазмы и раствора альбумина. Симптоматические средства назначаются с учетом возникающих проявлений, имеющихся осложнений.
Экспериментальное лечение
Кандидатом на роль препарата, активного в отношении вируса Рифт-Валли является сорафениб. Средство первоначально было разработано для лечения почечно-клеточной и гепатоцеллюлярной карцином. Исследования in vitro показали эффективность сорафениба как ингибитора синтеза вирусной РНК, а также как медикамента, препятствующего выходу вирионов из клетки. Воздействие на вирусную репликацию в основном протекает путем ингибирования белков теплового шока, необходимых для образования новых копий возбудителя.
Прогноз и профилактика
Прогноз при типичном течении благоприятный. Летальность с учетом формы колеблется от 0,25% до 50%, большая часть смертей приходится на детский возраст. Продолжительность болезни при отсутствии осложнений обычно не превышает 4-7 дней. Необходимо помнить о доказанной особенности эпидемиологии вируса долины Рифт - при укусе комаров рода Culex, пораженных филярией Wuchereria bancrofti, передача возбудителя Рифт-Валли протекает легче. При этом остается высокая вероятность инвазии гельминтом и, как следствие, сочетанного заболевания вухерериозом.
Разработаны убитые, векторные и рекомбинантные вакцины для ветеринарной практики. С 60-х годов ХХ века инактивированные культуры вируса используются для специфической профилактики у групп риска. Неспецифические меры предотвращения болезни включают борьбу с переносчиками в формате осушения болот и применения инсектицидов, а также своевременную изоляцию больных людей, строгий ветеринарный контроль в животноводстве. Необходимо избегать употребления в пищу сырого молока, плохо термически обработанного мяса, субпродуктов.
2. Sorafenib Impedes Rift Valley Fever Virus Egress by Inhibiting Valosin-Containing Protein Function in the Cellular Secretory Pathway/Ashwini Brahms, Rajini Mudhasani, Chelsea Pinkham// J Virol. - 2017 - №21.
Крымская геморрагическая лихорадка
Крымская геморрагическая лихорадка - острая арбовирусная инфекция с характерной природной очаговостью, протекающая с явлениями токсикоза и тромбогеморрагическим синдромом различной степени выраженности. Для крымской геморрагической лихорадки типично острое начало с двумя волнами лихорадки, головные, мышечные и суставные боли, геморрагические высыпания на коже и слизистых, кровоизлияния и кровотечения. Диагноз крымской геморрагической лихорадки основан на клинико-эпидемиологических данных, результатах ИФА, РНГА, ПЦР. Лечение крымской геморрагической лихорадки включает проведение дезинтоксикационной терапии, введение специфического иммуноглобулина или иммунной сыворотки, противовирусных, гемостатических средств, препаратов крови и кровезаменителей.
Крымская геморрагическая лихорадка (геморрагическая лихорадка Крым-Конго, среднеазиатская геморрагическая лихорадка, КГЛ) - зоонозное природно-очаговое заболевание, вирусный возбудитель которого передается человеку кровососущими клещами. Крымская геморрагическая лихорадка относится к группе клещевых геморрагических лихорадок; является опасным инфекционным заболеванием с коэффициентом летальности 10-40%. Характерна для теплого климата степной, лесостепной и полупустынной зон; встречается в Крыму, Центральном Предкавказье и на сопредельных территориях, в Китае, некоторых странах Европы и Африки. Уровень заболеваемости КГЛ выше у лиц, занятых сельскохозяйственным производством - уходом за животными, заготовкой сена, забоем скота. Крымская геморрагическая лихорадка чаще выявляется у мужчин от 20 до 40 лет. Крымской геморрагической лихорадке свойственна весенне-летняя сезонность, связанная с активностью клещей.
Возбудителем крымской геморрагической лихорадки служит РНК-геномный вирус рода Nairovirus, семейства Bunyaviridae, способный репродуцироваться при двух температурных интервалах - 36-40° и 22-25°C. Это позволяет вирусу размножаться как в организме человека и позвоночных животных, так и в организме кровососущих насекомых. Вирус крымской геморрагической лихорадки чувствителен к нагреванию (мгновенно инактивируется при кипячении), действию детергентов, дезинфектантов. Источником вируса крымской геморрагической лихорадки в природе выступают грызуны (ежи, зайцы, мыши), мелкий и крупный рогатый скот (овцы, козы, коровы), а также свиньи, лошади, собаки и птицы. Специфическими переносчиками являются паразиты млекопитающих - свыше 20 видов иксодовых клещей, в основном, пастбищные клещи рода Hyalomme.
Основной механизм передачи крымской геморрагической лихорадки - трансмиссивный, при присасывании и укусах инфицированных иксодовых клещей. Возможны также контактный (при раздавливании клеща, попадании на поврежденную кожу инфицированного материала больных животных и человека) и аэрогенный пути передачи (при содержании вируса в воздухе). Имеет место внутрибольничное инфицирование, происходящее при недостаточной обработке и стерилизации медицинских инструментов и оборудования, многоразовом использовании игл. Естественная восприимчивость людей к вирусу КГЛ высокая.
Вирусный возбудитель вызывает поражение эндотелия мелких кровеносных сосудов, повышение проницаемости сосудистой стенки, нарушение свертываемости крови, угнетение кроветворения, развитие ДВС-синдрома. Это проявляется многочисленными кровоизлияниями во внутренние органы (почки, печень), ЦНС, кожу и слизистые оболочки. Для заболевания характерна морфологическая картина инфекционного васкулита с развитием дистрофических изменений и очагов некроза.
Симптомы крымской лихорадки
Длительность инкубационного периода, в зависимости от способа заражения, составляет от 2 до 14 дней (после укуса клеща - 1-3 дня, при контактной передаче - 5-9 дней). Симптомы крымской геморрагической лихорадки могут варьировать от стертых до крайне тяжелых. Для начального периода инфекции (первые 3-5 дней) характерно острое состояние с внезапным скачком температуры до 39-40°С, ознобом, слабостью, головокружением. Больные предъявляют жалобы на сильную головную боль, миалгии и артралгии, болевые ощущения в области живота и поясницы. Часто появляется сухость во рту, тошнота и рвота, гиперемия лица, шеи, конъюнктивы и слизистой зева. Возникает фотофобия, возбуждение, иногда даже агрессивность, которые затем сменяются сонливостью, утомляемостью, депрессией. Перед манифестацией геморрагического синдрома наступает кратковременное снижение температуры до субфебрильной, затем возникает вторая волна лихорадки.
В период разгара крымской геморрагической лихорадки (с 3-6 дня заболевания) возникают геморрагические проявления различной выраженности - петехиальные высыпания на коже (экзантема) и слизистых полости рта (энантема), пурпура или крупные экхимозы, кровоизлияния в местах инъекций, носовые кровотечения, кровохарканье, в тяжелых случаях - обильные полостные кровотечения (желудочно-кишечные, легочные, маточные). Состояние больных резко ухудшается: отмечается вялость, подавленность, бледность, акроцианоз, тахикардия, артериальная гипотония. Выявляется лимфоаденопатия, гепатомегалия, может наблюдаться менингеальный синдром, судороги, спутанность сознания, кома. Исход крымской геморрагической лихорадки определяется степенью тяжести тромбогеморрагического синдрома.
При благоприятном течении крымской геморрагической лихорадки геморрагии исчезают через 5-7 дней без рецидивов. Реконвалесценция начинается с 9-10 дня заболевания и занимает длительное время (1-2 месяца и более); астенический синдром сохраняется еще в течение 1-2 лет. Постинфекционный иммунитет сохраняется 1-2 года после перенесенной инфекции. Осложнениями крымской геморрагической лихорадки могут выступать пневмонии, отек легких, печеночная и почечная недостаточность, тромбофлебиты, инфекционно-токсический шок. Летальность составляет от 4 до 30%; смертельный исход обычно наступает на второй неделе заболевания.
Диагностика крымской геморрагической лихорадки проводится с учетом эпидемиологических данных (возможное пребывание в эндемичных районах, сезонность), типичных клинических признаков (острое начало, двухволновая лихорадка, ранний тромбогеморрагический синдром), результатов лабораторных исследований (общего анализа крови и мочи, ИФА, РНИТ, РНГА, ПЦР). Обследование больных должно производиться с соблюдением максимальной степени инфекционной безопасности.
В гемограмме при крымской геморрагической лихорадке отмечается выраженная лейкопения, тромбоцитопения, повышение СОЭ и гематокрита; в общем анализе мочи - олигоурия, гипостенурия, микрогематурия. В первые несколько суток заболевания и в терминальной стадии диагноз возможно подтвердить путем выявления РНК вируса в образцах крови и тканей методом ПЦР. ИФА помогает определить титр специфических антител IgM к вирусу крымской геморрагической лихорадки на протяжении 4-х месяцев после перенесенной инфекции, IgG - в течение 5 лет. Дифференциальная диагностика крымской геморрагической лихорадки проводится с гриппом, менингококковой инфекцией, сыпным тифом, лептоспирозом, тромбоцитопенической пурпурой и болезнью Шенлейн-Геноха, другими видами геморрагических лихорадок.
Лечение крымской лихорадки
При подозрении на крымскую геморрагическую лихорадку обязательна госпитализация и изоляция больных. Лечение должно осуществляться в соответствии с принципами терапии вирусных геморрагических лихорадок. Показан постельный режим, диета, витаминотерапия. Возможно введение иммунной сыворотки реконвалесцентов или гипериммунного лошадиного γ-глобулина. Эффективным терапевтическим действием обладает применение противовирусных препаратов (рибавирина, альфа интерферона). В начальном периоде проводится дезинтоксикационная и кровоостанавливающая терапия; осуществляется переливание крови, эритроцитарной и тромбоцитарной массы в замещающих дозах. При развитии инфекционно-токсического шока назначаются глюкокортикостероиды.
Прогноз при стремительном и тяжелом течении крымской геморрагической лихорадки серьезный: наблюдается раннее развитие осложнений, возможен летальный исход. При своевременно начатом лечении прогноз заболевания в большинстве случаев благоприятный. Основная профилактика крымской геморрагической лихорадки заключается в защите человека от нападения и укусов клещей-переносчиков вируса, применении средств индивидуальной защиты (ношении защитной одежды, использовании защитных сеток, репеллентов), регулярном проведении самоосмотров. В медицинских учреждениях обязательно соблюдение требований по профилактике нозокомиальных инфекций: осторожности при выполнении инвазивных процедур, работе с кровью и выделениями больных; проведение стерилизации инструментов, применение одноразовых шприцов и игл. Уничтожение источника и переносчиков вируса крымской геморрагической лихорадки в природе малоэффективно.
Геморрагические лихорадки
Геморрагические лихорадки - вирусные инфекции с природно-очаговым распространением, протекающие с геморрагическим и острым лихорадочным синдромом. Симптоматика геморрагических лихорадок включает выраженную интоксикацию, высокую температуру тела, геморрагическую сыпь, кровотечения различной локализации, полиорганные нарушения. Форма геморрагической лихорадки определяется с учетом клинико-эпидемиологических и лабораторных данных (ПЦР, ИФА, РИФ). При геморрагических лихорадках проводится дезинтоксикационная, противовирусная, гемостатическая терапия, введение специфических иммуноглобулинов, борьба с осложнениями.
Геморрагические лихорадки - группа инфекционных заболеваний вирусной природы, вызывающих токсическое поражение сосудистых стенок, способствуя развитию геморрагического синдрома. Протекают на фоне общей интоксикации, провоцируют полиорганные патологии. Геморрагические лихорадки распространены в определенных регионах планеты, в ареалах обитания переносчиков заболевания. Вызывают геморрагические лихорадки вирусы следующих семейств: Togaviridae, Bunyaviridae, Arenaviridae и Filoviridae. Характерной особенностью, объединяющей эти вирусы, является сродство к клеткам эндотелия сосудов человека.
Резервуаром и источником этих вирусов является человек и животные (различные виды грызунов, обезьяны, белки, летучие мыши и др.), переносчиком - комары и клещи. Некоторые геморрагические лихорадки могут передаваться контактно-бытовым, пищевым, водным и другими путями. По способу заражения эти инфекции подразделяются на группы: клещевые инфекции (Омская, Крымская-Конго и лихорадка Кьясанурского леса), комариные (желтая, лихорадка денге, Чукунгунья, долины Рифт) и контагиозные (лихорадки Лаоса, Аргентинская, Боливийская, Эбола, Марбург и др.).
Восприимчивость к геморрагическим лихорадкам у человека довольно высока, заболевают преимущественно лица, чья профессиональная деятельность связана с дикой природой. Заболеваемость в городах чаще отмечается у граждан, не имеющих постоянного места жительства и сотрудников бытовых служб, контактирующих с грызунами.
Симптомы геморрагической лихорадки
Геморрагические лихорадки в большинстве случаев объединяет характерное течение с последовательной сменой периодов: инкубации (как правило, 1-3 недели), начальный (2-7 дней), разгара (1-2 недели) и реконвалесценции (несколько недель). Начальный период проявляется общеинтоксикационной симптоматикой, обычно весьма интенсивной. Лихорадка при тяжелом течении может достигать критических цифр, интоксикация - способствовать расстройству сознания, бреду, галлюцинациям.
На фоне общей интоксикации уже в начальном периоде отмечают токсическую геморрагию (капиляротоксикоз): лицо и шея, конъюнктива больных обычно гиперемированы, склеры инъецированы, могут выявляться элементы геморрагической сыпи на слизистой мягкого неба, эндотелиальные симптомы («жгута» и «щипка») - положительны. Отмечаются токсические нарушения сердечного ритма (тахикардия, переходящая в брадикардию), снижение артериального давления. В этот период общий анализ крови показывает лейкопению (сохраняется 3-4 дня) и нарастающую тромбоцитопению. В формуле крови нейтрофилез со сдвигом влево.
Перед наступлением периода разгара нередко отмечается кратковременная нормализация температуры и улучшение общего состояния, после чего токсикоз нарастает, интенсивность общей клиники увеличивается, развиваются полиорганные патологии, нарушения гемодинамики. В период реконвалесценции происходит постепенный регресс клинических проявлений и восстановление функционального состояния органов и систем.
Геморрагический дальневосточный нефрозонефрит нередко называют геморрагической лихорадкой с почечным синдромом, поскольку для этого заболевания характерно преимущественное поражение сосудов почек. Инкубация геморрагического дальневосточного нефрозонефрита составляет 2 недели, но может сокращаться до 11 и удлиняться до 23 дней. Впервые дни заболевания возможны продромальные явления (слабость, недомогание). Затем развивается тяжелая интоксикация, температура тела поднимается до 39,5 и более градусов и сохраняется на протяжении 2-6 дней. Спустя 2-4 дня от начала лихорадки появляется геморрагическая симптоматика на фоне прогрессирующей интоксикации. Иногда могут отмечаться менингеальные симптомы (Кернига, Брудзинского, ригидность затылочных мышц). Ввиду токсического поражения головного мозга, сознание нередко спутано, появляются галлюцинации, бред.
Общий геморрагический синдром сопровождается симптоматикой со стороны почек: боль в пояснице, положительный симптом Пастернацкого, в общем анализе мочи выявляют эритроциты, цилиндры, белок. С прогрессированием заболевания почечный синдром усугубляется, равно, как и геморрагический. В разгар заболевания отмечаются кровотечения из носа, десен, геморрагическая сыпь на туловище (преимущественно в области плечевого пояса и боковых поверхностей груди). При осмотре слизистой оболочки рта и ротоглотки выявляют точечные кровоизлияния на небе и нижней губе, развивается олигурия (в тяжелых случаях вплоть до полной анурии). Отмечается макрогематурия (моча приобретает цвет «мясных помоев»).
Крымская геморрагическая лихорадка характеризуется острым началом: отмечается рвота, боль в животе натощак, озноб. Температура тела резко повышается. Внешний вид больных характерный для геморрагических лихорадок: гиперемированное отечное лицо и инъецированные конъюнктивы, веки, склеры. Геморрагическая симптоматика выражена: петехиальные высыпания, кровоточивость десен, кровотечения из носа, примесь крови в кале и рвотных массах, маточные кровотечения у женщин. Селезенка чаще остается нормального размера, у некоторых больных может отмечаться ее увеличение. Тяжелое течение заболевания проявляется интенсивной болью в животе, частой рвотой, меленой. Пульс лабильный, артериальное давление снижено, сердечные тоны - глухие.
Омская геморрагическая лихорадка протекает более легко и доброкачественно, геморрагический синдром выражен слабее (хотя летальность имеет место и при этой инфекции). В первые дни лихорадка достигает 39 с небольшим градусов, в половине случаев лихорадочный период протекает волнообразно, с периодами повышения и нормализации температуры тела. Продолжительность лихорадки - 3-10 дней.
Геморрагическая лихорадка денге характеризуется инкубационным периодом от 5 до 15 дней, доброкачественным течением, симптоматикой общей интоксикации, усиливающейся к 3-4 дню и пятнисто-папулезной сыпью геморрагического происхождения, проходящей через 2-3 дня после появления (обычно возникает в разгар заболевания) и не оставляющей после себя пигментаций или шелушения. Температурная кривая может быть двухволновой: лихорадка прерывается 2-3-дневным периодом нормальной температуры, после чего возникает вторая волна. Такая форма характерна для европейцев, у жителей Юго-Восточной Азии лихорадка Денге развивается по геморрагическому варианту и имеет более тяжелое течение.
Геморрагические лихорадки могут способствовать развитию тяжелых, угрожающих жизни состояний: инфекционно-токсического шока, острой почечной недостаточности, комы.
Диагностика геморрагических лихорадок
Диагностику геморрагических лихорадок производят на основании клинической картины и данных эпидемиологического анамнеза, подтверждая предварительный диагноз лабораторно. Специфическая диагностика производится с помощью серологических исследования (РСК, РНИФ и др.), иммуноферментного анализа (ИФА), выявления вирусных антигенов (ПЦР), вирусологического метода.
Геморрагические лихорадки обычно характеризуются тромбоцитопенией в общем анализе крови, выявлением эритроцитов в моче и кале. При выраженной геморрагии появляются симптомы анемии. Положительный анализ кала на скрытую кровь говорит о кровотечении по ходу желудочно-кишечного тракта.
Лихорадка с почечным синдромом также проявляется при лабораторной диагностике в виде лейкопении, анэозинофилии, увеличением количества палочкоядерных нейтрофилов. Значительны патологические изменения в общем анализе мочи - удельный вес снижен, отмечается белок, (нередко повышение достигает 20-40%), цилиндры. В крови повышен остаточный азот. Крымская лихорадка отличается лимфоцитозом на фоне общего нормоцитоза, сдвигом лейкоформулы влево и нормальной СОЭ.
Лечение геморрагической лихорадки
Больные с любой геморрагической лихорадкой подлежат госпитализации. Прописан постельный режим, полужидкая калорийная легкоусвояемая диета, максимально насыщенная витаминами (в особенности С и В) - овощные отвары, фруктовые и ягодные соки, настой шиповника, морсы). Кроме того, назначают витаминотерапию: витамины С, Р. Ежедневно в течение четырех дней принимается викасол (витамин К).
Внутривенно капельно назначают раствор глюкозы, в период лихорадки могут производиться переливания крови небольшими порциями, а также введение препаратов железа, препаратов на основе водного экстракта из печени крупного рогатого скота. В комплексную терапию включают противогистаминные средства. Выписка из стационара производится после полного клинического выздоровления. По выписке больные некоторое время наблюдаются амбулаторно.
Прогноз и профилактика геморрагической лихорадки
Прогноз зависит от тяжести течения заболевания. Геморрагические лихорадки могут варьироваться по течению в весьма широких пределах, в некоторых случаях вызывая развитие терминальных состояний и заканчиваясь летально, однако в большинстве случаев при своевременной медицинской помощи прогноз благоприятен - инфекция заканчивается выздоровлением.
Профилактика геморрагических лихорадок в первую очередь подразумевает меры, направленные на уничтожение переносчиков инфекции и предупреждение укусов. В ареале распространения инфекции производят тщательную очистку мест, подготовленных под поселение, от кровососущих насекомых (комары, клещи), в эпидемически опасных регионах рекомендовано в лесных массивах носить плотную одежду, сапоги, перчатки, специальные противокомариные комбинезоны и маски, использовать репелленты. Для омской геморрагической лихорадки существует методика специфической профилактики, плановая вакцинация населения с помощью убитой вакцины вируса.
Конго-Крымская лихорадка
Название протокола: Конго-Крымская лихорадка
Код протокола:
Код МКБ-10:
А 98.0 - Крымская геморрагическая лихорадка (вызванная вирусом Конго)
Сокращения, используемые в протоколе:
Дата разработки протокола: 2014 год.
Категория пациентов: взрослые.
Пользователи протокола: терапевты, врачи общей практики, врачи/фельдшеры скорой медицинской помощи, инфекционисты, анестезиологи-реаниматологи, организаторы здравоохранения.
Клиническая классификация: [1,2].
I. ККГЛ с геморрагическим синдромом:
- Тяжелая форма:
• без полостных кровотечений;
• с полостными кровотечениями.
- Среднетяжелая форма:
• без полостных кровотечений;
• с полостными кровотечениями.
II. ККГЛ без геморрагического синдрома:
• среднетяжелая форма;
• легкая форма.
Выделяют следующие клинические периоды:
II. МЕТОДЫ, ПОДХОДЫ И ПРОЦЕДУРЫ ДИАГНОСТИКИ И ЛЕЧЕНИЯ
Перечень основных и дополнительных диагностических мероприятий: не проводятся.
Минимальный перечень обследования, который необходимо провести при направлении на плановую госпитализацию: не проводятся.
Основные (обязательные) диагностические обследования, проводимые на стационарном уровне [3]:
• определение антигена вируса в патологоанатомическом материале иммуногистохимическим методом.
• 1-й образец берется при госпитализации и тестируется в ПЦР, ИФА Ag ( в первые 5 дней болезни) и ИФА IgM1;
• 2-й образец берется через пять дней после первого образца и тестируется в ПЦР, ИФА IgM2 и IgG1(образцы на IgG желательно забирать до введения иммунной плазмы для достоверной интерпретации результата);
• 3-й образец берется через пять дней после второго образца и тестируется в ИФА IgM3 и ИФА IgG2.
• КТ головного мозга при подозрении на ОНМК по геморрагическому типу.
Жалобы и анамнез, в том числе эпидемиологический
• острое начало заболевания с высокой температурой. Больные указывают дату и нередко час заболевания.
• нахождение на открытой территории (отдых на природе и др.).
• геморрагическая сыпь на коже и слизистых в виде петехий с наиболее частой локализацией на верхних и нижних конечностях, в аксиллярных областях, в местах давления одеждой;
• в разгар заболевания отмечается: брадикардия до 40 в минуту, гипотония, приглушенность сердечных тонов.
Неспецифическая лабораторная диагностика [1,2,4]:
- Общий анализ крови:
• выраженная лейкопения, лимфоцитоз с нейтрофильным сдвигом влево до палочкоядерных, тромбоцитопения, умеренная анемия, повышение СОЭ;
• При гиперкоагуляции: укорочение тромбинового времени до 10-15 с и времени свёртывания крови; повышение содержания фибриногена в плазме крови до 4,5-8 г/л, увеличение протромбинового индекса до 100-120%.
• При гипокоагуляции: удлинение тромбинового времени до 25-50 с, времени свёртывания крови; снижение содержания фибриногена в плазме крови до 1-2 г/л, снижение протромбинового индекса до 30-60%).
• уменьшение содержания общего белка в сыворотке крови (при профузных кровотечениях), гипоальбуминемия, гипербилилирубинемия, повышение активности АлТ и АсТ.
• положительный при внутрикишечном кровотечении.
• в периоде разгара: выявление РНК вируса ККГЛ методом ПЦР, антигена вируса или антител IgM методом ИФА;
• в стадии реконвалесценции или недавно перенесенном заболевании, произошедшем в течение нескольких предыдущих месяцев: выявление антител (IgM + IgG);
• при инфекции, перенесенной в течение последних двух лет: высокие титры IgG (при отрицательных IgM);
• при давней инфекции, перенесенной более двух лет назад: низкие титры IgG (при отрицательных IgM).
Предположительный случай
Любой пациент, проживающий или находившийся на эндемичной по ККГЛ территории, обратившийся по поводу остро начавшегося заболевания с повышения температура тела, и у него наблюдается как минимум один из следующих клинических признаков:
и, в период 14 дней до начала заболевания, отмечалось наличие одного из нижеперечисленных факторов риска развития ККГЛ в эпиданамнезе:
• работа в лаборатории с кровью, тканями людей/ или животных, или с клещами.
Вероятный случай
Пациент, проживающий или находившийся на эндемичной по ККГЛ территории в период 14 дней до начала заболевания, и соответствующий клиническому описанию предположительного случая ККГЛ, с тромбоцитопенией ниже 150 000 /мм3 и/или наличием любых геморрагических проявлений:
Подтвержденный случай
Соответствует определению предположительного или вероятного случая ККГЛ с положительным результатом диагностических тестов образца крови/ткани на ККГЛ:
• выявление антигена в патологоанатомическом материале иммуногистохимическим методом.
Показания для консультации специалистов:
Клинический алгоритм диагностического поиска в предгеморрагическом периоде Конго-Крымской геморрагической лихорадки

Клинический алгоритм диагностического поиска в геморрагическом периоде Конго-Крымской геморрагической лихорадки

Лечение
Тактика лечения
Немедикаментозное лечение[1]
Диета: стол №4.
Режим: строгий постельный в периоде разгара.
Медикаментозное лечение [2,3,4]
Этиотропная терапия
• При подозрении на ККГЛ - немедленно начать терапию рибавирином, согласно рекомендациям Всемирной Организации Здравоохранения [6];
• лечение рибавирином более эффективно в первые 5 дней от начала заболевания (период максимальной вирусной нагрузки);
• первый прием препарата составляет 2000 мг однократно (10 капсул), затем 1000 мг каждые 6 часов в течение 4 дней, затем 500 мг каждые 6 часов в течение 5 дней;
• критериями отмены препарата являются регрессия клинических проявлений, нормальные значения лабораторных показателей и температурной реакции.
• своевременное назначение рибавирина (первые 5 дней болезни) определяет благоприятный вариант течения и исход заболевания.
• При лечении беременных и лиц с выявленными противопоказаниями к рибавирину препаратом выбора следует считать интерферон альфа 2b в виде ректальных суппозиториев. Препарат назначают 2 раза в сутки с интервалом 12 часов в дозе 1 млн. МЕ. Продолжительность терапии - до 10 дней.
• Одновременно с противовирусной терапией введение 100-300 мл (1-2 лечебные дозы) иммунизированной плазмы крови реконвалесцентов, по возможности в ранние сроки.
Базисная терапия ККГЛ [2]
Лечебная тактика в предгеморрагическом периоде ККГЛ
• инфузии кристаллоидов (0,9% раствор натрия хлорида, раствор Рингера, Трисоль и др.) и 5-10% глюкозированные растворы с добавлением препаратов калия и инсулина в соотношении 1:1;
• критерии эффективности инфузионной терапии - снижение гематокрита до 36-38%, нормализация гемодинамических показателей (пульс, АД, ЦВД) и почасового диуреза;
• менадиона натрия бисульфит 1% - 3 мл 2 раза в сутки внутримышечно (доза определяется с учетом показателя ПТИ, ПВ).
Другие препараты из группы нестероидных противовоспалительных средств или анальгетиков могут спровоцировать кровотечение.
При наличии в анамнезе язвенной болезни желудка и 12-перстной кишки -ингибиторы водородной помпы или блокаторы Н2-гистаминовых рецепторов:
• фамотидин 40 мг в сутки внутрь, внутривенно.
Лечебная тактика в геморрагическом периоде ККГЛ
- повторные переливания - при отсутствии эффекта, в тех же объемах, через 4-8 часов [7].
Критерий эффективности переливания СЗП: прекращение кровотечения.
• объемно-замещающими плазмозаменителями (коллоидами) с предпочтительным введением пентакрахмалов в дозе 15-20 мл/кг в сутки,
• противопоказаны препараты декстрозы и декстраны (полиглюкин, реополиглюкин).
Компоненты крови [7]:
- 1 доза КТ на 10 кг массы пациента. Через 24 часа после трансфузии количество тромбоцитов должно превышать критический уровень 20·109 /л или быть выше предтрансфузионного.
Критерии эффективности переливания КТ: прекращение спонтанной кровоточивости, отсутствие свежих геморрагий на коже и видимых слизистых, уменьшение времени кровотечения.
• криопреципитат (при III стадии ДВС-синдрома с развитием гипофибриногенемии ниже 1,1 г/л с целью коррекции VIII фактора свертывания крови и фибриногена):
- 1 доза КП на 10 кг массы больного.
Антипротеазная терапия (при кровотечении в объеме 50% и выше, лабораторном подтверждении ΙΙΙ стадии ДВС-синдрома):
• апротинин в дозе до 500 000 - 1000000 КИЕ/сут, болюсно.
При отсутствии эффекта - сердечные гликозиды (дигоксин 0,25-0,5г внутривенно).
Антибактериальная терапия (при развитии бактериальных осложнений) полусинтетические пенициллины, цефалоспорины III-IV поколения (с учетом чувствительности возбудителя):
• цефтазидим 2-4 г/сут в 2 введения
• иммуноглобулин человеческий нормальный для внутривенного применения по 0,4 - 1.0 г/кг веса, ежедневно в течение 1 - 5 дней.
Препарат рекомендуется вводить только после остановки кровотечения и купирования ДВС-синдрома.
Необходимо исключить необоснованно назначаемые медицинские манипуляции (эндоскопия, пункции, выскабливание полости матки и т.д.), которые могут привести к дополнительной травматизации кожных покровов и слизистых оболочек и усугубить риск развития кровотечений и формирования обширных гематом.
Медикаментозное лечение, оказываемое на амбулаторном уровне - не проводится.
Перечень основных лекарственных средств:
• Интерферон человеческий рекомбинантный альфа 2b -суппозитории ректальные 1 млн МЕ.
• Апротинин порошок для инъекционных растворов во флаконах и ампулах по 10000 ЕД в комплекте с растворителем
• Фамотидин таблетки 10 мг, 20 мг, 40 мг; лиофилизированный порошок для инъекционных растворов в ампулах по 0,02 г в комплекте с растворителем
• Иммуноглобулин человеческий нормальный для внутривенного применения,10% раствор в ампулах по 1,3, 5 мл; флаконы по25 мг.
• Цефтазидим флаконы по 0,25г,0,5г,1,0г и 2,0 г порошка для приготовления раствора для инъекций
При ККГЛ противопоказаны любые хирургические вмешательства!
Профилактические (противоэпидемические) мероприятия:
• своевременное выявление больных ККГЛ, источника инфекции, механизма и условий, способствующих заражению;
• усиление эпидемического надзора за соблюдением санитарных правил в стационарах при оказании лечебной помощи больным ККГЛ и выполнении лабораторных исследований;
• формирование у населения навыков гигиенического поведения с целью предотвращения угрозы заражения ККГЛ при пребывании в природных биотопах, при уходе за сельскохозяйственными животными;
• борьба с переносчиками инфекции путем проведения акарицидных обработок сельскохозяйственных животных и природных биотопов.
• изоляция в боксе пациентов с предположительным, вероятным или подтвержденным случаем ККГЛ и усиление мер внутрибольничного контроля;
• сокращение численности медицинского и немедицинского персонала, имеющего доступ в бокс и контактирующего с пациентом;
• обеззараживание и автоклавирование перед утилизацией выделений больного, постели, одежды, использованной больным, одноразового медицинского инструментария (согласно Санитарным правилам «Санитарно-эпидемиологические требования к объектам здравоохранения» утвержденной Постановлением Правительства РК от 17.01.2012 года № 87).
• использование средств индивидуальной защиты персоналом, контактирующим с больным.
• врачи, средний и младший медицинский персонал, обеспечивающий уход за пациентами с подозрением (вероятные и подтвержденные случаи) на ККГЛ,
• весь вспомогательный персонал, задействованный в уборке изолированной комнаты, обработке зараженных вещей и оборудования, стирке вещей, а также в сборке и утилизации инфицированных отходов,
• весь лабораторный персонал, задействованный в исследовании анализов пациентов или в уборке и дезинфекции лабораторного оборудования,
• халат (хирургический или одноразовый халат с длинными рукавами и манжетами), резиновая обувь или пластиковые бахилы, пластиковый фартук поверх двух слоев одежды, вторая пара тонких или толстых перчаток (внешний слой одежды);
• высокоэффективный воздушный фильтр (N95) или другая биологически безопасная маска (или хирургическая маска), хлопчатобумажный головной убор, чистые очки или незапотевающие защитные очки;
• защитный щиток для лица (при проведении манипуляций в лаборатории, а также клиницистам при контакте с больным в геморрагический период заболевания СDC) [8].
Дальнейшее ведение
Правила выписки:
Выписку больных проводят не ранее 21 суток от начала заболевания при удовлетворительном состоянии больного, нормализации температуры тела и лабораторных показателей (гемограммы, коагулограммы, количества тромбоцитов), отсутствии осложнений.
Примерные сроки нетрудоспособности после выписки составляют:
- при лёгкой форме - 7-10 суток;
- среднетяжёлой - 10-14 суток;
- тяжёлой - 15-30 суток.
Диспансерному наблюдению подлежат все реконвалесценты ККГЛ:
• срок наблюдения для переболевших лёгкой формой ККГЛ - 3 месяца, среднетяжёлой и тяжёлой - 12 месяцев;
• первое контрольное обследование с клиническим определением гемограммы, уровня мочевины, креатинина, билирубина, общего белка и альбумина, активности АлТ и АсТ проводят через 1 месяц после выписки из стационара; последующие обследования - через 3, 6, 9 и 12 месяцев.
• обильное питьё (настой шиповника, щёлочные минеральные воды, отвары трав с мочегонными свойствами);
• соблюдение физического режима с исключением тяжёлой физической работы, переохлаждения, посещения бани, сауны, занятий спортом (в течение 6-12 месяцев);
• приём общеукрепляющих лекарственных средств, адаптогенов, поливитаминов (Аевит, Дуовит, Мульти-Табс);
• использование контрацептивных средств реконвалесцентам (мужчинам и женщинам) не менее чем в течение 7 месяцев после лечения рибавирином.
Читайте также:
